chevron_left
chevron_right
Todo
Apuntes
Ejercicios
Exámenes
chevron_left
chevron_right

examen extraordinaria 2026 de mates

Imagen

examenes

-

examen mates enero 2026

Examen de enero 2026 de Matemáticas

Miniatura no disponible
examen-mates.jfif

He publicado nuevos apuntes de 1º Matemáticas: Apuntes-todo-el-curso.pdf

43 páginas

apuntes

-

Formulas y guia para hacer ejercicios

He publicado nuevos apuntes de 1º Matemáticas: Formulas y guia para hacer ejercicios

Documento-sin-titulo-1.pdf
Documento-sin-titulo-2.pdf
Documento-sin-titulo-3.pdf
Documento-sin-titulo-4.pdf
Documento-sin-titulo-7.pdf
Documento-sin-titulo-6.pdf

He publicado nuevos apuntes de 1º Matemáticas: Apuntes-Funciones-2-Variables-Ingles.pdf

8 páginas

He publicado nuevos apuntes de 1º Matemáticas: Apuntes-Grado-Economia.pdf

117 páginas

ejercicios

-

Ejercicios todos los temas

He publicado nuevos ejercicios de 1º Matemáticas: Ejercicios todos los temas

RBlII.pdf
RBlIII.pdf
RBlI.pdf

He publicado nuevos examenes de 1º Matemáticas: Solucionexamenextraordinario.pdf

2 páginas

He publicado nuevos examenes de 1º Matemáticas: SolucionesADEenero2022.pdf

2 páginas

examenes

-

Exámenes matemáticas

He publicado nuevos examenes de 1º Matemáticas: Exámenes matemáticas

ADESep2017.pdf
ADEFeb2020.pdf
ADEJunio2021.pdf
ADEEnero2021.pdf
ADEFeb2019.pdf
ADESep2018.pdf

He publicado nuevos apuntes de 1º Matemáticas: Calculo-de-areas.pdf

7 páginas

He publicado nuevos apuntes de 1º Matemáticas: repaso-de-todo-matematicas.pdf

12 páginas

He publicado nuevos apuntes de 1º Matemáticas: Esquema-ejercicios-elasticidad.pdf

1 página

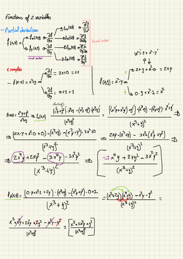
He publicado nuevos apuntes de 1º Matemáticas: Funciones-dos-variables.pdf

24 páginas

He publicado nuevos apuntes de 1º Matemáticas: Series.pdf

5 páginas

He publicado nuevos apuntes de 1º Matemáticas: Limites.pdf

5 páginas

He publicado nuevos apuntes de 1º Matemáticas: tipos-de-integrales.pdf

9 páginas

He publicado nuevos apuntes de 1º Matemáticas: matematicas.pdf

36 páginas

He publicado nuevos apuntes de 1º Matemáticas: CamScanner-03-01-2021-15.pdf

20 páginas

He publicado nuevos apuntes de 1º Matemáticas: CamScanner-03-01-2021-15.pdf

16 páginas

apuntes

-

EJERCICIOS

He publicado nuevos apuntes de 1º Matemáticas: EJERCICIOS

CalculoEcuacionesnolineales.pdf
AplicacionesHomogeneidad.pdf
CalculoAlgebraLineal.pdf
VariasVariables.pdf
AlgebraLineal.pdf

He publicado nuevos apuntes de 1º Matemáticas: ADEFeb2020-EXAMEN-MATES-ENERO-2020.pdf

1 página
Anónimo

@Anónimo

He publicado nuevos apuntes de 1º Matemáticas: MATEMATICASEMPRESARIALES-130-187.pdf

58 páginas

apuntes

-

exámenes

He publicado nuevos apuntes de 1º Matemáticas: exámenes

examen-2020.pdf

apuntes

-

Temas completos

He publicado nuevos apuntes de 1º Matemáticas: Temas completos

Tema-2-mates.pdf
tema-4-mates.pdf
tema-1-mates.pdf
tema-3-mates.pdf

ejercicios

-

Ejercicios_25_26_T4

He publicado nuevos ejercicios de 1º Matemáticas: Ejercicios_25_26_T4

Ejercicios2526T4.pdf
ClaseT4-3.pdf

examenes

-

EXÁMENES MATEMÁTICAS

He publicado nuevos examenes de 1º Matemáticas: EXÁMENES MATEMÁTICAS

PruebaI12Nov2018MatematicasEconomia-GTD1.pdf
PruebaI9Nov2018MatematicasEconomia-GTA2.pdf
PruebaI12Nov2018MatematicasEconomia-GTD2.pdf
PruebaI9Nov2018MatematicasEconomia-GTA1.pdf
ExamenFinalSeptiembre2019.pdf
PruebaI13Nov2018MatematicasEconomia-GDG.pdf

examenes

-

examen

He publicado nuevos examenes de 1º Matemáticas: examen

IMG-20160208-WA0000.jpg
IMG-20160602-WA0003.jpg

apuntes

-

EXAMEN RESUELTO MATEMATICAS

He publicado nuevos apuntes de 1º Matemáticas: EXAMEN RESUELTO MATEMATICAS

WhatsApp-Image-2019-01-19-at-14.jpg
WhatsApp-Image-2019-01-19-at-14.jpg
WhatsApp-Image-2019-01-19-at-14.jpg
WhatsApp-Image-2019-01-19-at-14.jpg

He publicado nuevos examenes de 1º Matemáticas: Examen Mates Septiembre 2014.jpg

Imagen

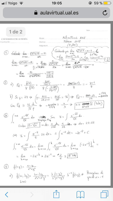
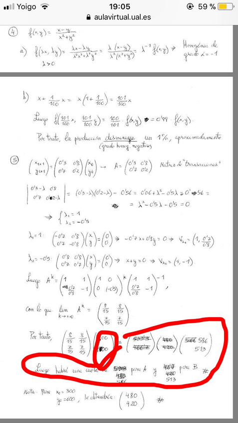
He publicado nuevos examenes de 1º Matemáticas: Examen Mates Febrero 2018.jpg

Imagen

He publicado nuevos examenes de 1º Matemáticas: Examen Mates Febrero 2014.jpg

Imagen

He publicado nuevos examenes de 1º Matemáticas: Examen Septiembre 2016.jpg

Imagen

He publicado nuevos examenes de 1º Matemáticas: Examen Mates Septiembre 2013.jpg

Imagen

He publicado nuevos examenes de 1º Matemáticas: Examen Mates Febrero 2015.jpg

Imagen

He publicado nuevos examenes de 1º Matemáticas: Examen Mates Septiembre 2017.jpg

Imagen

He publicado nuevos examenes de 1º Matemáticas: Examen Mates Septiembre 2015.jpg

Imagen

He publicado nuevos examenes de 1º Matemáticas: Examen Febrero 2016.jpg

Imagen

He publicado nuevos examenes de 1º Matemáticas: Examen Mates Febrero 2017.jpg

Imagen
¡Estás al día!

¡Estás al día!

Has visto todos los archivos