Matemáticas

chevron_left
chevron_right
Todo
Apuntes
Ejercicios
Exámenes
Otros
chevron_left
chevron_right
Anónimo

@Anónimo

He publicado nuevos apuntes de 1º Matemáticas: Parcial-Estadistica.pdf

4 páginas
Anónimo

@Anónimo

He publicado nuevos apuntes de 1º Matemáticas: Practicas-SPSS.pdf

2 páginas
Anónimo

@Anónimo

He publicado nuevos examenes de 1º Matemáticas: Examenes-20232024-y-2020-Mates.pdf

14 páginas

Estadística del primer cuatrimestre, todo completo y con ejercicios tipo. Tengo muchos mas ejercicios con enunciados resueltos por si alguien los quiere :)

28 páginas
Anónimo

@Anónimo

chuleta para llevar al examen de prácticas de Geogebra

2 páginas
Anónimo

@Anónimo

Chuleta para llevar al examen de prácticas SPSS

2 páginas

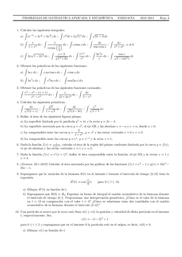
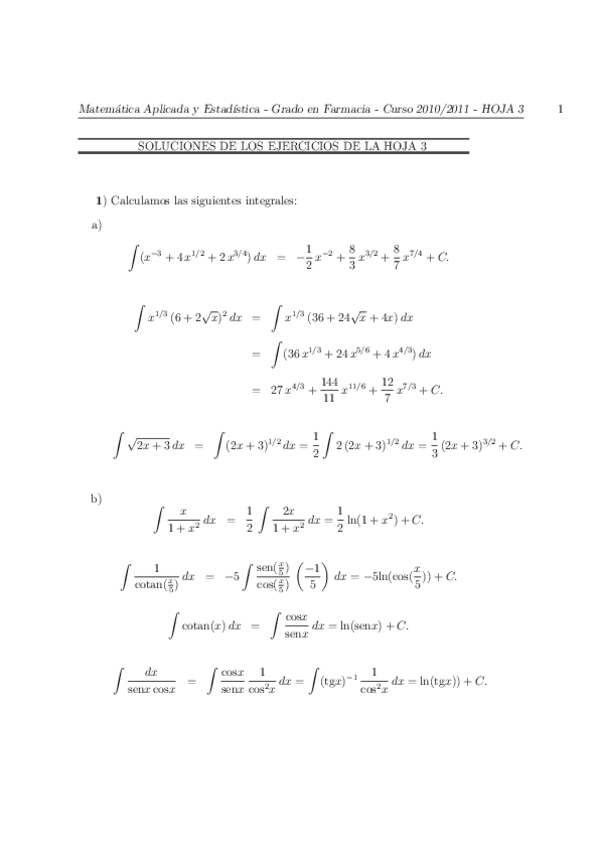
Contenido de matemáticas para el parcial de cálculo

12 páginas

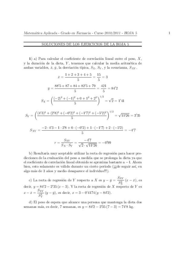
Apuntes para el examen parcial de primero, contiene tanto probabilidad como estadística

21 páginas

He publicado nuevos apuntes de 1º Matemáticas: Parcial-calculo-teoria.pdf

5 páginas

He publicado nuevos apuntes de 1º Matemáticas: Examen-cálculo-2023-2024-corregido.pdf

9 páginas

He publicado nuevos apuntes de 1º Matemáticas: Probabilidad.docx

word

He publicado nuevos apuntes de 1º Matemáticas: Estadistica.pdf

15 páginas

He publicado nuevos examenes de 1º Matemáticas: SEGUNDO-PARCIAL-ENERO.pdf

1 página

He publicado nuevos ejercicios de 1º Matemáticas: 2parcialejerciciosderepaso.pdf

2 páginas

He publicado nuevos ejercicios de 1º Matemáticas: 3erparcialcalculo.pdf

5 páginas

He publicado nuevos ejercicios de 1º Matemáticas: 2oparcialestadistica.pdf

6 páginas

He publicado nuevos ejercicios de 1º Matemáticas: ExamenCalculo.pdf

1 página

He publicado nuevos apuntes de 1º Matemáticas: MatematicasTema-1ESTADISITCA.pdf

3 páginas

apuntes

-

anunciados ejercicios

He publicado nuevos apuntes de 1º Matemáticas: anunciados ejercicios

Ejercicios-Calculo-2021-2022.pdf
Ejercicios-Estadistica-2021-2022.pdf

ejercicios

-

Ejercicios corregidos

He publicado nuevos ejercicios de 1º Matemáticas: Ejercicios corregidos

ejercicios-estadistica.pdf
ejercicios-probabilidad.pdf
ejercicios-calculo.pdf

He publicado nuevos otros de 1º Matemáticas: Consejos-1o-FARMACIA.pdf

2 páginas

He publicado nuevos examenes de 1º Matemáticas: SolExamenModeloA1718.pdf

6 páginas

He publicado nuevos ejercicios de 1º Matemáticas: Ej_Probabilidad.pdf

33 páginas

He publicado nuevos ejercicios de 1º Matemáticas: Ej_estadistica.pdf

33 páginas

He publicado nuevos apuntes de 1º Matemáticas: Mates.pdf

18 páginas

He publicado nuevos apuntes de 1º Matemáticas: MATES-ADE-FINAL20191016233235.pdf

15 páginas
Anónimo

@Anónimo

examenes

-

exámenes probabilidad

He publicado nuevos examenes de 1º Matemáticas: exámenes probabilidad

3f58acb5-8dec-4f76-9ec2-5c9c5ce750df.jpg
5db86a0c-8efd-4201-8755-26fbf8d6f704.jpg
1b2ffd25-2681-4e76-8c58-08174d2d0a8d.jpg
8d33f39c-accc-4798-85f2-81eb3dc6b303.jpg
4aea9a0a-e767-4ec8-ba8f-8ce53b1062ec.jpg
Anónimo

@Anónimo

examenes

-

Examenes estadística

He publicado nuevos examenes de 1º Matemáticas: Examenes estadística

31bbc4f2-2e18-4ea1-ae6c-f367255ff407.jpg
59f0986a-758e-4572-bfb1-ad41326c3a01.jpg
09bc8989-b9c3-42bf-a96a-901c78702c39.jpg
examen-far-2016-11-28.pdf
8eb5b9b4-b6c4-4d31-bffe-bab65f0562c6.jpg
4256ce49-aa5b-4d9e-a43a-c87cdfadebd8.jpg
Anónimo

@Anónimo

examenes

-

examenes calculo

He publicado nuevos examenes de 1º Matemáticas: examenes calculo

2e85adab-e386-41ac-89ad-42bd867fab52.jpg
bed27284-640e-4d2c-bc7e-f5321ccac8ab.jpg
7dccfad3-73b0-429c-85e5-5b4b89171795.jpg
f8acb1ce-2311-43c6-96a3-81e43a0301e3.jpg
Anónimo

@Anónimo

ejercicios

-

Ejercicios de Todo Tipo!

Hay de todo y resueltos!!

1.pdf
2.pdf
3.pdf
4.pdf
5.pdf
6.pdf
Anónimo

@Anónimo

He publicado nuevos ejercicios de 1º Matemáticas: limites.pdf

2 páginas
Anónimo

@Anónimo

ejercicios

-

Soluciones a los Ejercicios!

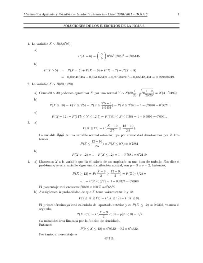
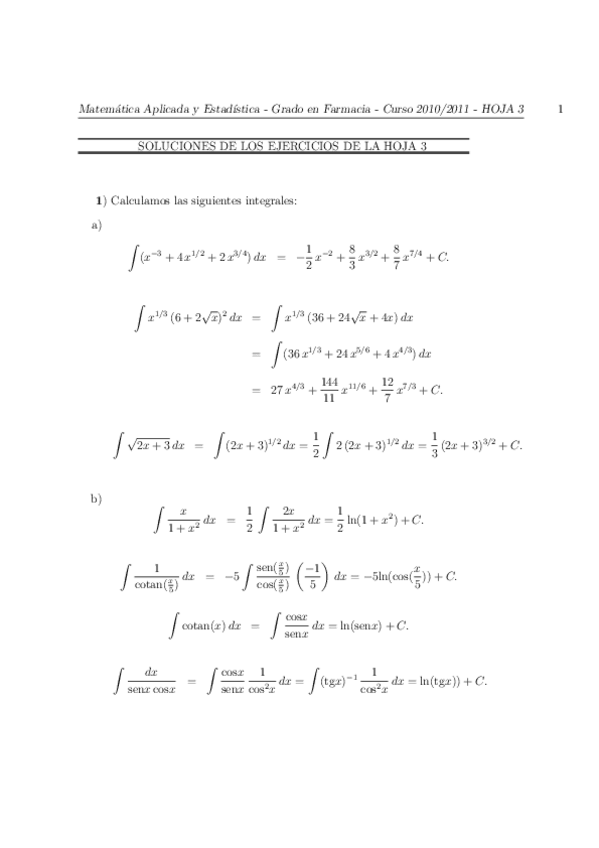
He publicado nuevos ejercicios de 1º Matemáticas: Soluciones a los Ejercicios!

sol1.pdf
sol2.pdf
sol3.pdf
sol4.pdf
sol5.pdf
sol6.pdf
Anónimo

@Anónimo

He publicado nuevos ejercicios de 1º Matemáticas: derivadas.pdf

2 páginas
¡Estás al día!

¡Estás al día!

Has visto todos los archivos