chevron_left
chevron_right
Todo
Apuntes
chevron_left
chevron_right
Anónimo

@Anónimo

apuntes

-

formulas generales amplias

He publicado nuevos apuntes de 1º Matemáticas: formulas generales amplias

DifferentialEquationsformulas.pdf
Calculus1formulas.pdf
Calculus3formulas.pdf
Calculus2formulas.pdf
0Pre-Algebraformulas.pdf
Anónimo

@Anónimo

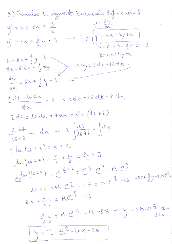
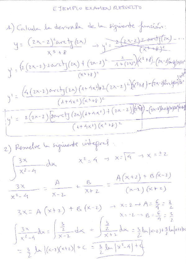
He publicado nuevos apuntes de 1º Matemáticas: ejemplo-examen-resuelto.pdf

4 páginas
Anónimo

@Anónimo

He publicado nuevos apuntes de 1º Matemáticas: PRACTICAS-CON-DERIVE.pdf

3 páginas
Anónimo

@Anónimo

He publicado nuevos apuntes de 1º Matemáticas: PRACTICAS-CON-MATLAB.pdf

5 páginas
Anónimo

@Anónimo

He publicado nuevos apuntes de 1º Matemáticas: Formulario.pdf

3 páginas
¡Estás al día!

¡Estás al día!

Has visto todos los archivos