Todo
Apuntes
Ejercicios
Exámenes
Prácticas
chevron_left
chevron_right

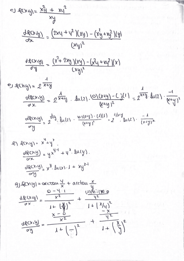
NOTA IMPORTANTE: en el ejercicio 1, apartado c), al realizar la derivada parcial respecto de (y) se considera -3 y no 3 tal y como aparece en la solución

3 páginas

apuntes

-

APUNTES MATEMÁTICAS (25-26)

Todos los apuntes han sido sacados del material proporcionado en clase y en la plataforma virtual

Tema-3-Derivabilidad-de-funciones-reales-de-varias-variables-reales.pdf
Tema-2-Funciones-reales-de-varias-variables-reales.pdf
Tema-1-Funciones-reales-de-una-variable.pdf

ejercicios

-

PRÁCTICA BLOQUE 1

He publicado nuevos ejercicios de 1º Matemáticas: PRÁCTICA BLOQUE 1

TAREA-TEMAS-2-3-4.pdf
MODELO-PARCIAL-BLOQUE-1.pdf
TAREA-TEMA-1.pdf
BOLETIN-PROBLEMAS-BLOQUE-1.pdf

apuntes

-

BLOQUE 1

Apuntes de teoría del bloque 1 completo, con ejemplos de cada apartado

TEMAS-3-Y-4.pdf
TEMA-2.pdf
TEMA-1.pdf

Por si te pierdes un poco en clase, espero que te sirva de ayuda :)

Miniatura no disponible
9 páginas

apuntes

-

Pasos para ejercicios segundo y tercer parcial

He publicado nuevos apuntes de 1º Matemáticas: Pasos para ejercicios segundo y tercer parcial

Segundo-parcial.pdf
Tercer-parcial.pdf

Espero que te sirva de ayuda por si no te ha dado tiempo de tomar apuntes de la pizarra;)

9 páginas

Una ayudita por si te has perdido de algo en clase ;)

12 páginas

He publicado nuevos apuntes de 1º Matemáticas: Examen-matematicas.-Comenzamos-intensivos-el-lunes-26-de-mayo.pdf

9 páginas

He publicado nuevos apuntes de 1º Matemáticas: Bol-Mat-2024-2025.pdf

7 páginas

He publicado nuevos apuntes de 1º Matemáticas: teoria-y-ejercicios-tema-10.pdf

12 páginas

He publicado nuevos apuntes de 1º Matemáticas: Imprescindible-tema-5.pdf

4 páginas

He publicado nuevos apuntes de 1º Matemáticas: Imprescindible-tema-32.pdf

2 páginas

He publicado nuevos apuntes de 1º Matemáticas: Imprescindible-tema-4.pdf

1 página

He publicado nuevos apuntes de 1º Matemáticas: imprescindible-tema-2.pdf

1 página

He publicado nuevos apuntes de 1º Matemáticas: Imprescindible-Tema-3.pdf

8 páginas

He publicado nuevos apuntes de 1º Matemáticas: Imprescindible-tema-1.pdf

2 páginas

He publicado nuevos apuntes de 1º Matemáticas: Imprescindible-Bloque-I.pdf

2 páginas

He publicado nuevos apuntes de 1º Matemáticas: Imprescindible-bloque-II.pdf

7 páginas

He publicado nuevos apuntes de 1º Matemáticas: Ejercicios-y-Teoria-Tema-12.pdf

9 páginas

He publicado nuevos apuntes de 1º Matemáticas: Ejercicios-tema-8.pdf

3 páginas

He publicado nuevos apuntes de 1º Matemáticas: Ejercicios-y-Teoria-tema-11.pdf

5 páginas

He publicado nuevos apuntes de 1º Matemáticas: Ejercicios-tema-9.pdf

6 páginas

He publicado nuevos apuntes de 1º Matemáticas: Ejercicios-Tema-5.pdf

13 páginas

He publicado nuevos apuntes de 1º Matemáticas: Ejercicios-tema-6.pdf

3 páginas

He publicado nuevos apuntes de 1º Matemáticas: Ejercicios-tema-3.pdf

4 páginas

He publicado nuevos apuntes de 1º Matemáticas: ejercicios-tema-1-y-2.pdf

5 páginas

He publicado nuevos apuntes de 1º Matemáticas: Ejercicios-Repaso-1-Parcial-parecido-a-los-del-examen.pdf

6 páginas

He publicado nuevos apuntes de 1º Matemáticas: Boletin-Ejercicios-Tema-9.pdf

4 páginas

He publicado nuevos apuntes de 1º Matemáticas: Boletin-Ejercicios-Tema-10.pdf

13 páginas

He publicado nuevos apuntes de 1º Matemáticas: Boletin-Ejercicios-Tema-11.pdf

8 páginas

He publicado nuevos apuntes de 1º Matemáticas: Boletin-Ejercicios-Tema-5.pdf

8 páginas

He publicado nuevos apuntes de 1º Matemáticas: Boletin-Ejercicios-Tema-8.pdf

4 páginas

He publicado nuevos apuntes de 1º Matemáticas: Boletin-Ejercicios-Tema-4.pdf

6 páginas

He publicado nuevos apuntes de 1º Matemáticas: Boletin-Ejercicios-Tema-3.pdf

5 páginas

He publicado nuevos apuntes de 1º Matemáticas: Boletin-Ejercicios-Tema-2.pdf

1 página

He publicado nuevos apuntes de 1º Matemáticas: Boletin-Ejercicios-Tema-1.pdf

3 páginas

He publicado nuevos apuntes de 1º Matemáticas: Apuntes-Tema-1.pdf

5 páginas

He publicado nuevos apuntes de 1º Matemáticas: examen-resuelto-junio-2024.pdf

11 páginas

He publicado nuevos apuntes de 1º Matemáticas: tema-11-resumen.pdf

1 página

He publicado nuevos apuntes de 1º Matemáticas: tema-12-resumen.pdf

1 página

He publicado nuevos apuntes de 1º Matemáticas: tema-10-resumen.pdf

2 páginas

He publicado nuevos apuntes de 1º Matemáticas: tema-10-mates.pdf

7 páginas

He publicado nuevos apuntes de 1º Matemáticas: tema-7-mates.pdf

2 páginas

He publicado nuevos apuntes de 1º Matemáticas: tema-1-y-2-mates.pdf

8 páginas

He publicado nuevos apuntes de 1º Matemáticas: Cuaderno-Bloque-III-Matrices.pdf

18 páginas

He publicado nuevos apuntes de 1º Matemáticas: Cuaderno-Bloque-II-Integrales.pdf

26 páginas

He publicado nuevos apuntes de 1º Matemáticas: Repaso-Examen-bloque-I-Derivadas.pdf

3 páginas

He publicado nuevos apuntes de 1º Matemáticas: Cuaderno-Bloque-I-Derivadas.pdf

24 páginas

ejercicios

-

EJERCICIOS

He publicado nuevos ejercicios de 1º Matemáticas: EJERCICIOS

BOLETIN.pdf
Anónimo

@Anónimo

He publicado nuevos examenes de 1º Matemáticas: Examen-Junio-2024.pdf

1 página

ejercicios

-

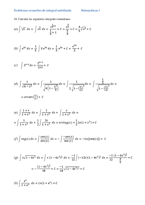
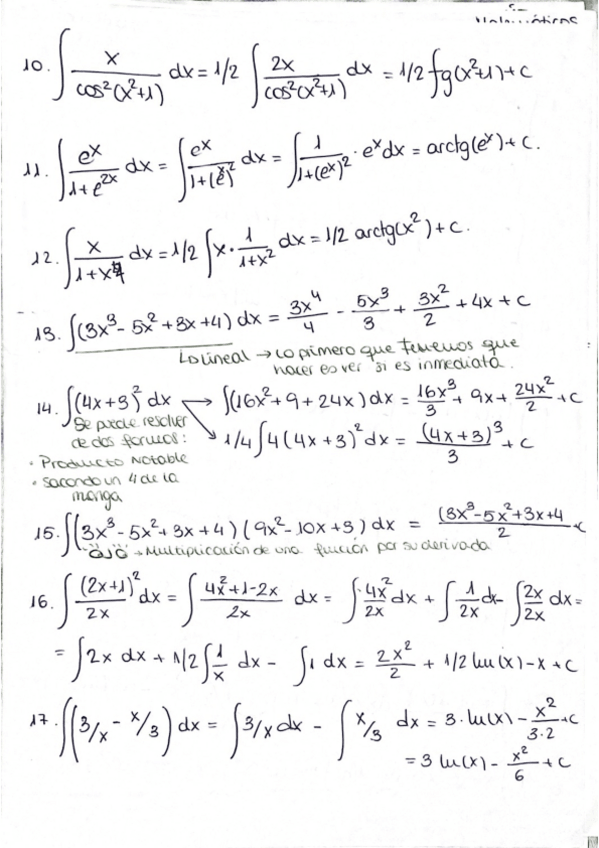
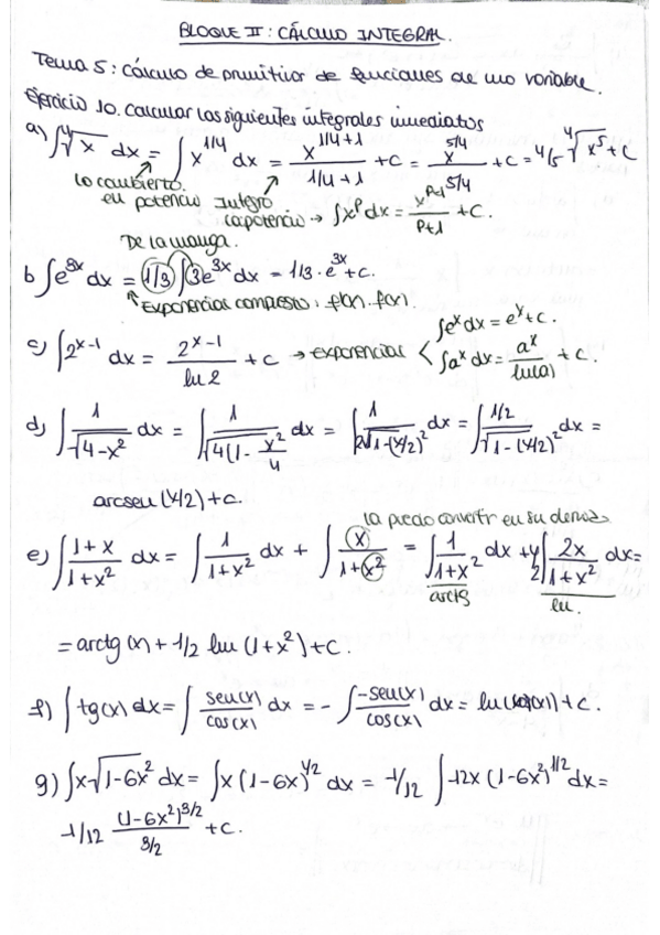
EJERCICIOS RESUELTOS BLOQUE II BOLETÍN (CÁLCULO INTEGRAL)

He publicado nuevos ejercicios de 1º Matemáticas: EJERCICIOS RESUELTOS BLOQUE II BOLETÍN (CÁLCULO INTEGRAL)

TEMA 5: EJS 10-11-12-13-14.pdf
TEMA 6: EJS 15-16-17.pdf
TEMA 7: EJ 18.pdf
TEMA 7: EJ 19.pdf
TEMA 7: EJ 20.pdf

ejercicios

-

EJERCICIOS RESUELTOS BLOQUE I BOLETÍN (CÁLCULO DIFERENCIAL)

He publicado nuevos ejercicios de 1º Matemáticas: EJERCICIOS RESUELTOS BLOQUE I BOLETÍN (CÁLCULO DIFERENCIAL)

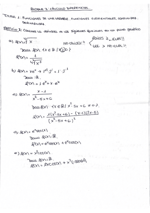
TEMA 1: EJS 1-2-3-4.pdf
TEMA 2: EJS 5-6.pdf
TEMA 3/4: EJS 7-8-9.pdf
Anónimo

@Anónimo

He publicado nuevos examenes de 1º Matemáticas: Examen-Junio-2023.pdf

1 página

He publicado nuevos apuntes de 1º Matemáticas: Resumen-matrices-bloque-III.pdf

3 páginas

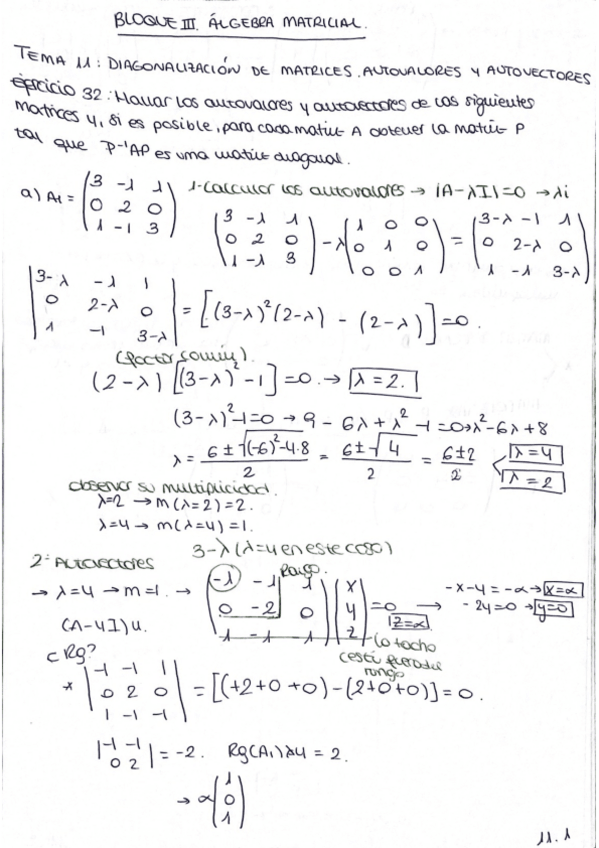
He publicado nuevos apuntes de 1º Matemáticas: Tema-11-Diagonalizacion-de-las-matrices..pdf

3 páginas

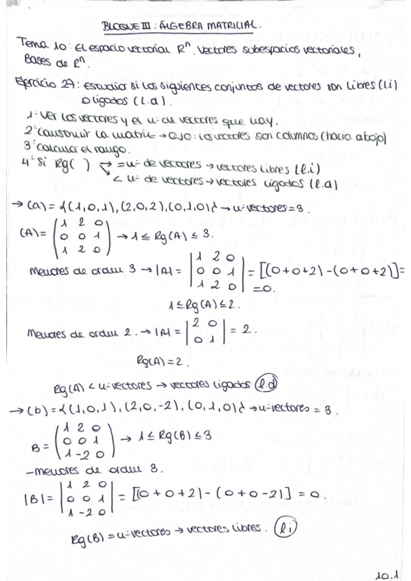
He publicado nuevos apuntes de 1º Matemáticas: Tema-10-Espacio-Vectorial..pdf

4 páginas

He publicado nuevos apuntes de 1º Matemáticas: Tema-9-Sistema-de-ecuaciones-lineales..pdf

5 páginas

He publicado nuevos apuntes de 1º Matemáticas: Tema-8-Matrices-Determinantes..pdf

5 páginas

ejercicios

-

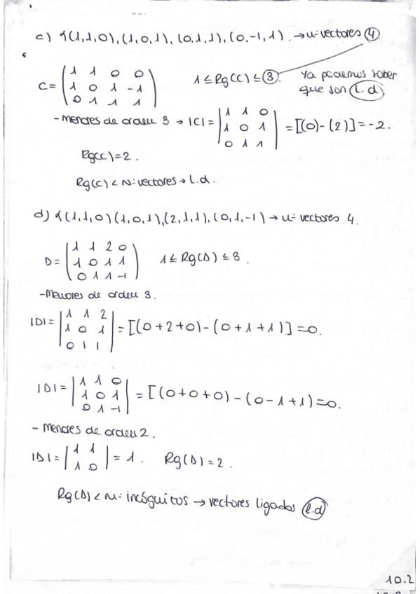
EJERCICIOS RESUELTOS BLOQUE III BOLETÍN (ÁLGEBRA MATRICIAL)

He publicado nuevos ejercicios de 1º Matemáticas: EJERCICIOS RESUELTOS BLOQUE III BOLETÍN (ÁLGEBRA MATRICIAL)

TEMA 8: EJ 21.pdf
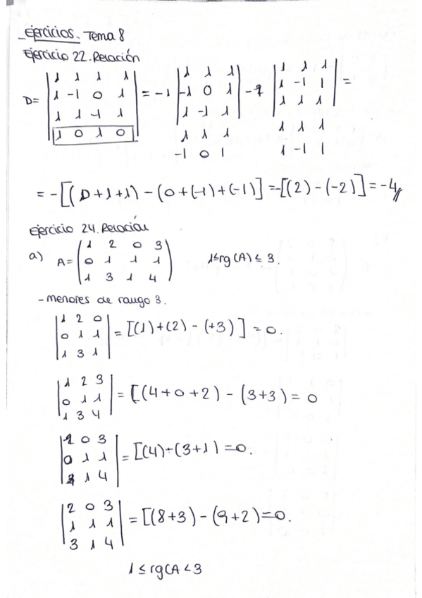
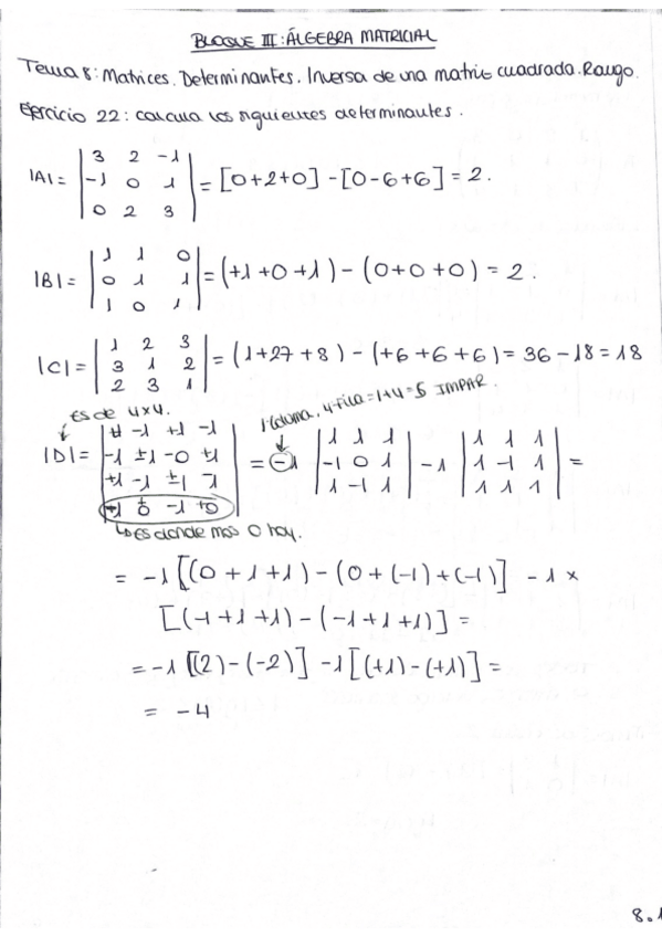
TEMA 8: EJ 22.pdf
TEMA 8: EJ 23.pdf
TEMA 8: EJ 24.pdf
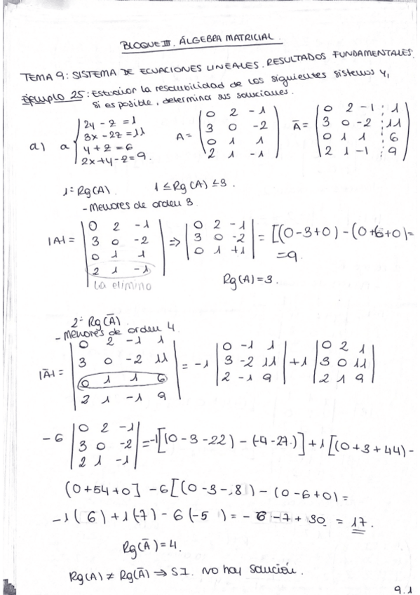
TEMA 9: EJ 25.pdf
TEMA 9: EJ 26.pdf