Todo
Apuntes
Ejercicios
Exámenes
Otros
Prácticas
publication
Trabajos
chevron_left
chevron_right

examenes

-

Examen enero 2024/ 2025

He publicado nuevos examenes de 1º Matemáticas: Examen enero 2024/ 2025

Examen-enero-2024.pdf
Examen-enero-2025.pdf

apuntes

-

Tema 3, 4 y 5 teoria y ejercicos de examenes

ejercicios de exámenes de años anteriores aplicando la teoría mas fórmulas.

Tema-3-teoria-y-ejercicios-de-examen.pdf
Tema-4-teoria-y-ejercicios-de-examen.pdf
Tema-5-teoria-y-ejercicios-de-examen.pdf

He publicado nuevos apuntes de 1º Matemáticas: Matematicas-apuntes.pdf

20 páginas

He publicado nuevos examenes de 1º Matemáticas: ejercicio-matrices.pdf

1 página

He publicado nuevos apuntes de 1º Matemáticas: apuntes-maxima.pdf

4 páginas

He publicado nuevos examenes de 1º Matemáticas: EXAMEN.pdf

2 páginas

He publicado nuevos apuntes de 1º Matemáticas: matematicas-matrices.pdf

3 páginas

He publicado nuevos apuntes de 1º Matemáticas: matrices.pdf

3 páginas

He publicado nuevos apuntes de 1º Matemáticas: matrices.pdf

3 páginas

He publicado nuevos apuntes de 1º Matemáticas: Temas-4-y-5.pdf

12 páginas

He publicado nuevos apuntes de 1º Matemáticas: Temas-1-2-y-3.pdf

56 páginas

He publicado nuevos apuntes de 1º Matemáticas: ejercicios-Tema-2-y-3.pdf

14 páginas

He publicado nuevos examenes de 1º Matemáticas: JULIO-2017.pdf

12 páginas

He publicado nuevos examenes de 1º Matemáticas: septiembre-2012.pdf

22 páginas

He publicado nuevos examenes de 1º Matemáticas: EXAMEN-FEBRERO-2017.pdf

11 páginas

He publicado nuevos examenes de 1º Matemáticas: enero-2015.pdf

12 páginas

He publicado nuevos ejercicios de 1º Matemáticas: Ejercicios-resueltos-ficha-moodle.pdf

5 páginas

He publicado nuevos ejercicios de 1º Matemáticas: Ejercicios-libro-resueltos.pdf

20 páginas

He publicado nuevos ejercicios de 1º Matemáticas: Practica-2-maxima.pdf

4 páginas

apuntes

-

Matemáticas

He publicado nuevos apuntes de 1º Matemáticas: Matemáticas

TEMA-MATRICES-TEORIA.pdf
Funciones-Teoria.pdf
TEMA-MATRICES-PRACTICA.pdf

apuntes

-

EXAMENES AÑO 2018

He publicado nuevos apuntes de 1º Matemáticas: EXAMENES AÑO 2018

examen-incidencias-2017.pdf
ENERO-2018-BLANCO.pdf
ENERO-2018-ROSA.pdf

He publicado nuevos apuntes de 1º Matemáticas: Matrices.pdf

15 páginas

He publicado nuevos apuntes de 1º Matemáticas: Tema-2.pdf

13 páginas

Apuntes, ejercicios y exámenes resueltos

en mi perfil

He publicado nuevos apuntes de 1º Matemáticas: 1.pdf

13 páginas

He publicado nuevos apuntes de 1º Matemáticas: 1.pdf

23 páginas

apuntes

-

Ejercicios integrales y repaso

He publicado nuevos apuntes de 1º Matemáticas: Ejercicios integrales y repaso

ejercicios-repaso-3.pdf
sesiones-7-y-8ejercicios-2.pdf
ejercicio-integrales.pdf
ejercicios-repaso.pdf
ejercicio-integrales1.pdf
ejercicios-repaso-2.pdf

apuntes

-

MATEMÁTICAS EXÁMENES RESUELTOS

He publicado nuevos apuntes de 1º Matemáticas: MATEMÁTICAS EXÁMENES RESUELTOS

MM-EXAMEN-FEBRERO-2017.pdf
MM-EXAMEN-JULIO-2017.pdf
MM-EXAMEN-JULIO-2013.pdf
MM-EXAMEN-FEBRERO-2012.pdf
MM-EXAMEN-FEBRERO-2017-INCD.pdf
MM-EJERCICIOS-DE-EXAMEN.pdf

apuntes

-

TEMARIO MATEMÁTICAS

He publicado nuevos apuntes de 1º Matemáticas: TEMARIO MATEMÁTICAS

MM-tema-2-INTEGRALES.pdf
MM-tema-3.pdf
MM-tema-6-SERIES-NUMERICAS.pdf
MM-RESUMEN.pdf
MM-tema-4-AUTOVALORES-Y-AUTOVECTORES.pdf
MM-tema-1.pdf

He publicado nuevos apuntes de 1º Matemáticas: Examen-Resuelto-Enero-2018-blanco.pdf

7 páginas

He publicado nuevos apuntes de 1º Matemáticas: Examen-Junio-2018-blanco.pdf

7 páginas

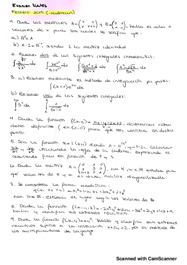
He publicado nuevos apuntes de 1º Matemáticas: Examen-Enero-2019-verde.pdf

9 páginas

He publicado nuevos apuntes de 1º Matemáticas: Examen-Enero-2019-blanco.pdf

8 páginas

He publicado nuevos apuntes de 1º Matemáticas: Examen-Resuelto-Incidencias-2019.pdf

7 páginas

He publicado nuevos apuntes de 1º Matemáticas: Borrador-Examen.pdf

1 página

He publicado nuevos apuntes de 1º Matemáticas: Resumen-Temario.pdf

9 páginas

examenes

-

examenes mates empresariales

He publicado nuevos examenes de 1º Matemáticas: examenes mates empresariales

EXAMEN-FEBRERO-2017modelo-VERDE.pdf
ENERO-2014modelo-blanco-solucion.pdf
Enero-2019-verde.pdf
examen-septiembre-2012-modelo-1solucion.pdf
junio-2018-examen-resuelto.pdf

He publicado nuevos apuntes de 1º Matemáticas: wuolah-free-formulas-matematicas.pdf

4 páginas

He publicado nuevos apuntes de 1º Matemáticas: Apuntes.pdf

24 páginas

apuntes

-

Teoria

He publicado nuevos apuntes de 1º Matemáticas: Teoria

tema-4-web.pdf
tema-2-web.pdf
tema-3-web.pdf
tema-5web.pdf
tema-6-web.pdf
Tema-1-Introduccion.pdf

apuntes

-

Problema Examen

He publicado nuevos apuntes de 1º Matemáticas: Problema Examen

Tema-1-matrices.pdf
Tema-3-funciones-dos-variables.pdf
Tema-4-diagonalizacion-y-cuadraticas.pdf
Tema-2-integrales.pdf
tema-6-sucesiones-y-series.pdf
Tema-5-optimizacion.pdf

apuntes

-

Examenes 3/3

He publicado nuevos apuntes de 1º Matemáticas: Examenes 3/3

2013-FEBRERO-AMARILLO.pdf
2013-FEBRERO-BLANCO.pdf
2012-SEPTIEMBRE.pdf
2012-FEBRERO-BLANCO.pdf
2012-FEBRERO-AZUL.pdf

apuntes

-

Examenes 2/3

He publicado nuevos apuntes de 1º Matemáticas: Examenes 2/3

2015-FEBRERO-AMARILLO.pdf
2014-JULIO-BLANCO.pdf
2014-FEBRERO-VERDE.pdf
2016-FEBRERO-ROSA.pdf
2015-JULIO-AMARILLO.pdf
2016-FEBRERO-BLANCO.pdf

apuntes

-

Examenes 1/3

He publicado nuevos apuntes de 1º Matemáticas: Examenes 1/3

2018-JULIO-BLANCO.pdf
2017-JULIO-BLANCO.pdf
2018-ENERO-BLANCO.pdf
2017-FEBRERO-BLANCO.pdf
2018-ENERO-ROSA.pdf
2017-FEBRERO-AZUL.pdf

examenes

-

Examen blanco matemáticas 4/02/2020

He publicado nuevos examenes de 1º Matemáticas: Examen blanco matemáticas 4/02/2020

IMG-20200204-WA0008.jpg
IMG-20200204-WA0016.jpg

apuntes

-

DERIVADAS E INTEGRALES

He publicado nuevos apuntes de 1º Matemáticas: DERIVADAS E INTEGRALES

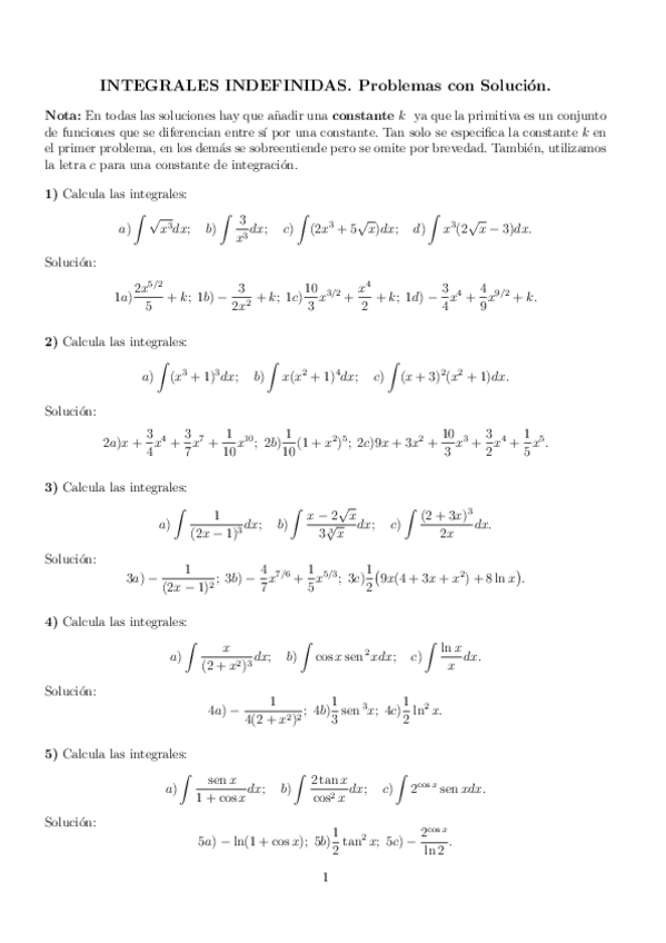
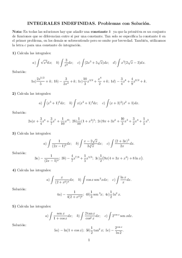
probintegralesindefinidas.pdf
1.pdf
plantilla-derivadas.pdf
2.pdf
4-100derivadasresueltas.pdf
Anónimo

@Anónimo

Toda la teoría respecto al tema de probabilidad

11 páginas
Anónimo

@Anónimo

Tabla con todas las fórmulas para aprender a derivar

2 páginas

He publicado nuevos apuntes de 1º Matemáticas: TEMA 5. (OPTIMIZACIÓN CLÁSICA).pdf

4 páginas

He publicado nuevos apuntes de 1º Matemáticas: TEMA 1 (REPASO).pdf

8 páginas

He publicado nuevos apuntes de 1º Matemáticas: TEMA 3 (FUNCIONES DE 2 VARIABLES).pdf

3 páginas

He publicado nuevos apuntes de 1º Matemáticas: TEMA 4. (DIAGONALIZACION Y FORMAS CUADRÁTICAS).pdf

5 páginas

He publicado nuevos apuntes de 1º Matemáticas: TEMA 2 (INTEGRALES).pdf

4 páginas

He publicado nuevos apuntes de 1º Matemáticas: formulas matemáticas.pdf

4 páginas

He publicado nuevos examenes de 1º Matemáticas: EXAMEN.pdf

1 página

examenes

-

EXAMENES DE LOS ULTIMOS 3 AÑOS RESUELTOS

He publicado nuevos examenes de 1º Matemáticas: EXAMENES DE LOS ULTIMOS 3 AÑOS RESUELTOS

wuolah-free-EXAMEN FINAL JUNIO-2015 (BLANCO).pdf
EXAMEN JULIO 2017 BLANCO.pdf
wuolah-free-FEBRERO 2016 ROSA.pdf
wuolah-free-EXAMEN FINAL JUNIO-2015 (AMARILLO).pdf
wuolah-free-FEBRERO 2016 BLANCO.pdf
EXAMEN MATEMATICAS FEBRERO 2017.pdf

examenes

-

Examen resuelto paso a paso

He publicado nuevos examenes de 1º Matemáticas: Examen resuelto paso a paso

EXAMEN JULIO 2017 BLANCO.pdf
EXAMEN MATEMATICAS FEBRERO 2017.pdf

He publicado nuevos examenes de 1º Matemáticas: EXAMEN MATEMATICAS FEBRERO 2017.pdf

13 páginas

He publicado nuevos examenes de 1º Matemáticas: EXAMEN JULIO 2017 BLANCO.pdf

12 páginas

He publicado nuevos examenes de 1º Matemáticas: EXAMEN FEBRERO 2017modelo VERDE (1).pdf

3 páginas