Todo
Apuntes
Ejercicios
Exámenes
chevron_left
chevron_right

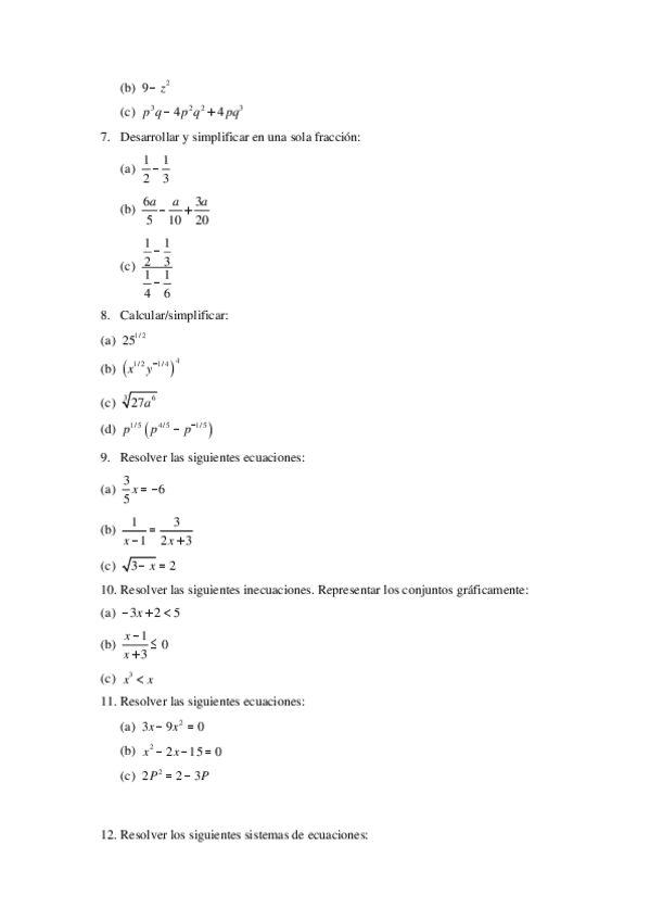
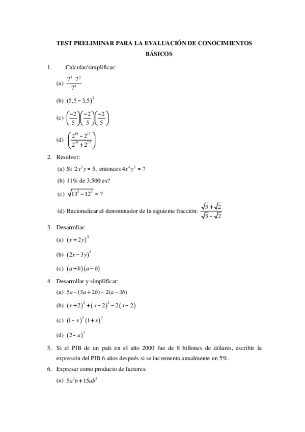
He publicado nuevos ejercicios de 1º Matemáticas: Test-Conocimientos-Previos.pdf

4 páginas

Apuntes sobre el T6 Funciones Homogéneas

4 páginas

He publicado nuevos apuntes de 1º Matemáticas: Unit1Real-Vector-Space.pdf

26 páginas

examenes

-

más examnes

He publicado nuevos examenes de 1º Matemáticas: más examnes

20140701.pdf
20140101.pdf

examenes

-

Exámenes Matemáticas

He publicado nuevos examenes de 1º Matemáticas: Exámenes Matemáticas

enero2012.pdf
examen-JULIO-2013.pdf
Examen-Junio-2019.pdf
examen-junio.pdf
examen-enero-2013.pdf
Examen-Enero-2019.pdf

Todas las fórmulas del temario

4 páginas

He publicado nuevos apuntes de 1º Matemáticas: formulas-matematicas.pdf

4 páginas
¡Estás al día!

¡Estás al día!

Has visto todos los archivos