chevron_left
chevron_right
Todo
Apuntes
Ejercicios
Exámenes
chevron_left
chevron_right

He publicado nuevos examenes de 1º Matemáticas: Parcial-algebra-resuelto.pdf

7 páginas

He publicado nuevos examenes de 1º Matemáticas: Parcial-Calculo-resuelto-3-diciembre-2024.pdf

5 páginas

He publicado nuevos examenes de 1º Matemáticas: Parcial-Modelos-y-EDOresuelto.pdf

5 páginas

He publicado nuevos examenes de 1º Matemáticas: Parcial-cAlculo-resuelto.pdf

7 páginas

He publicado nuevos examenes de 1º Matemáticas: Parcial-Algebra.pdf

6 páginas

He publicado nuevos examenes de 1º Matemáticas: Parcial-de-Modelos-y-EDO-resuelto.pdf

3 páginas

He publicado nuevos apuntes de 1º Matemáticas: Parcial-Calculo-14-noviembre-2023resuelto.pdf

4 páginas

He publicado nuevos examenes de 1º Matemáticas: Parcial-Algebra-03-octubre-2023.pdf

5 páginas

He publicado nuevos ejercicios de 1º Matemáticas: Tema-7.-Ecuaciones-diferenciales.pdf

10 páginas

He publicado nuevos ejercicios de 1º Matemáticas: Tema-6.-Modelos-demograficos-matriciales.pdf

10 páginas

He publicado nuevos ejercicios de 1º Matemáticas: Tema-4.-Derivacion-de-funciones-de-una-variable.pdf

13 páginas

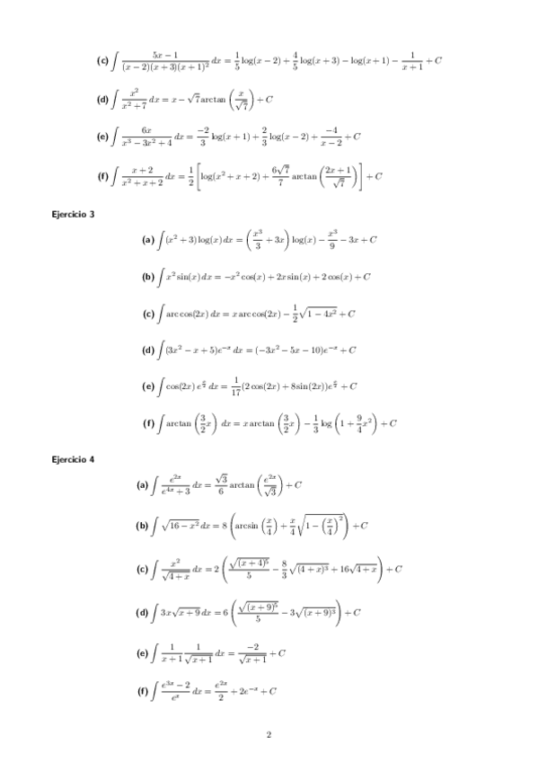
He publicado nuevos ejercicios de 1º Matemáticas: Tema-5.-Integracion-de-funciones-de-una-variable.pdf

17 páginas

He publicado nuevos ejercicios de 1º Matemáticas: Tema-3.-Limite-y-continuidad-de-funciones.pdf

12 páginas

He publicado nuevos ejercicios de 1º Matemáticas: Tema-2.-Diagonalizacion.pdf

14 páginas

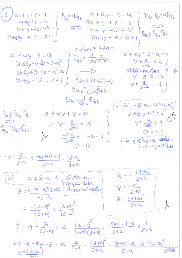
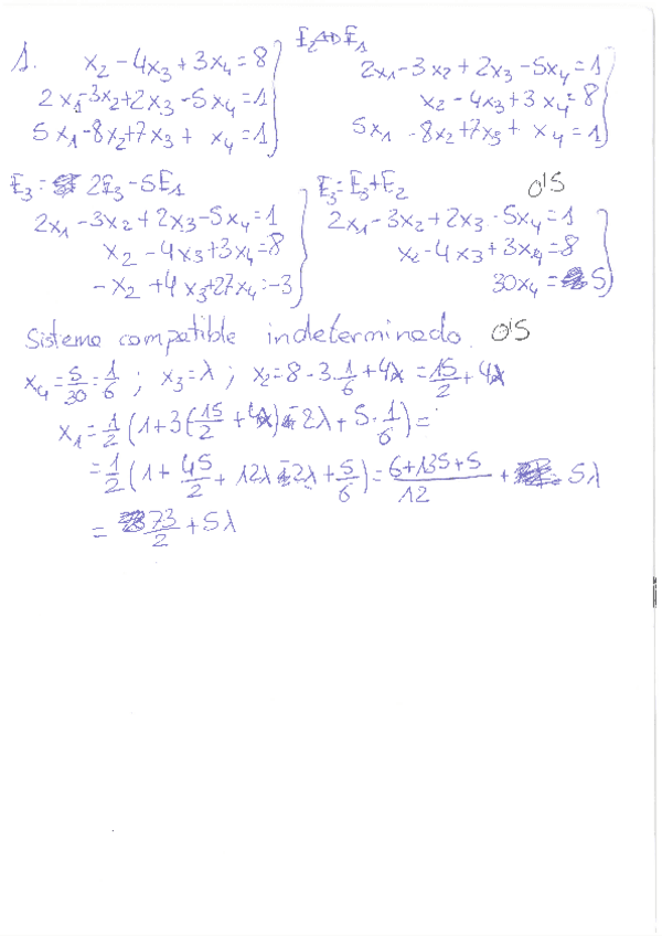
He publicado nuevos ejercicios de 1º Matemáticas: Tema-1.-Algebra-de-matrices-y-sistemas-de-ecuaciones.pdf

13 páginas

He publicado nuevos examenes de 1º Matemáticas: Examen-resuelto.pdf

3 páginas

He publicado nuevos ejercicios de 1º Matemáticas: Ejercicios-extra-de-integrales-funciones-y-limites.pdf

7 páginas

He publicado nuevos examenes de 1º Matemáticas: Examen-parcial-modelos-y-EDO.pdf

1 página

He publicado nuevos ejercicios de 1º Matemáticas: Tema-6Soluciones-sin-desarrollo.pdf

1 página

He publicado nuevos ejercicios de 1º Matemáticas: Tema7matescurso20212022soluciones-sin-desarrollo.pdf

2 páginas

He publicado nuevos ejercicios de 1º Matemáticas: Soluciones-tema-4-sin-desarrollo.pdf

2 páginas

He publicado nuevos ejercicios de 1º Matemáticas: Solucionestema6matescurso20212022-sin-desarrollo.pdf

4 páginas

He publicado nuevos ejercicios de 1º Matemáticas: Soluciones-tema-5-sin-desarrollo.pdf

3 páginas

He publicado nuevos ejercicios de 1º Matemáticas: Soluciones-tema-3-sin-desarrollo.pdf

2 páginas

He publicado nuevos ejercicios de 1º Matemáticas: Soluciones-Tema-2sin-desarrollo.pdf

6 páginas

He publicado nuevos ejercicios de 1º Matemáticas: Ejercicios-de-algebra-resueltos.pdf

9 páginas
¡Estás al día!

¡Estás al día!

Has visto todos los archivos