chevron_left
chevron_right
Todo
Apuntes
Ejercicios
chevron_left
chevron_right

He publicado nuevos ejercicios de 1º Matemáticas: Ejercicios-integrales-dobles.pdf

3 páginas

Equema teoría de integrales dobles y triples con coordenadas polares, cartesiana, cilíndricas y esfericas

2 páginas

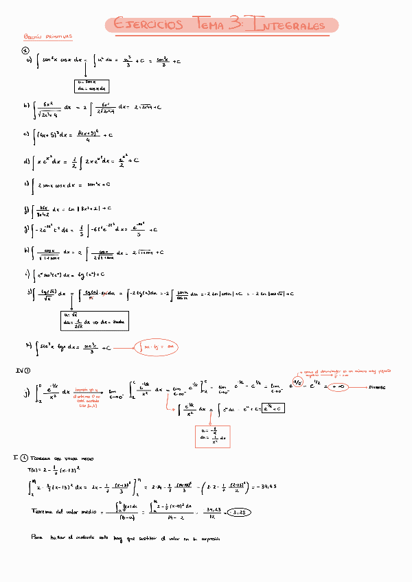
Ejercicios resueltos cálculo integral con una variable

4 páginas

Ejercicios resueltos y sintetizados de curvas de nivel y cálculo diferencial con varias variables

6 páginas

Resumen de cálculo integral con una variable, teoremas e integración impropia

8 páginas

Esquema-resumen de derivadas de varias variables con sus teoremas.

3 páginas

Esquema-resumen de funciones elementales con sus correspondientes formas geométricas, y curvas de nivel

1 página

He publicado nuevos apuntes de 1º Matemáticas: T1-Sistemas-.pdf

3 páginas
¡Estás al día!

¡Estás al día!

Has visto todos los archivos