chevron_left
chevron_right
Todo
Apuntes
Ejercicios
Exámenes
chevron_left
chevron_right

He publicado nuevos ejercicios de 2º Matemàtiques financeres: Matematicas-financieras-SISTEMA-FRANCES-BLOQUE-1.pdf

6 páginas

He publicado nuevos ejercicios de 2º Matemàtiques financeres: Matematicas-financieras-SISTEMA-FRANCES-ampliacion.pdf

6 páginas

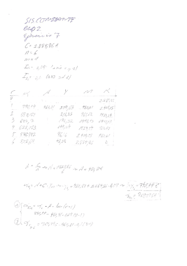
He publicado nuevos ejercicios de 2º Matemàtiques financeres: Matematicas-financieras-SISTEMA-CONSTANTE-BLOQUE-2.pdf

3 páginas

He publicado nuevos ejercicios de 2º Matemàtiques financeres: Matematicas-financieras-SISTEMA-AMERICANO-BLOQUE-3.pdf

6 páginas

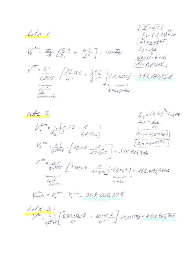
He publicado nuevos apuntes de 2º Matemàtiques financeres: Matematicas-financieras-renta-de-variacion-geometrica-BLOQUE-2.pdf

8 páginas

He publicado nuevos ejercicios de 2º Matemàtiques financeres: Matematicas-financieras-renta-de-variacion-asimetrica-BLOQUE-3.pdf

8 páginas

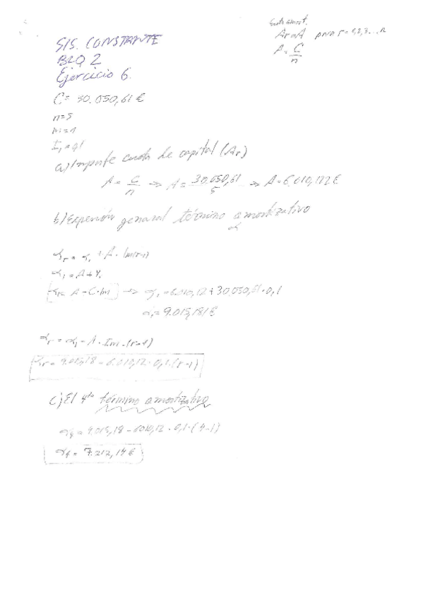
He publicado nuevos ejercicios de 2º Matemàtiques financeres: Matematicas-financieras-renta-constante-BLOQUE-1.pdf

10 páginas

He publicado nuevos apuntes de 2º Matemàtiques financeres: Matematicas-financieras-formulas.pdf

2 páginas

He publicado nuevos examenes de 2º Matemàtiques financeres: Matematicas-financieras-EXAMEN.pdf

4 páginas

He publicado nuevos examenes de 2º Matemàtiques financeres: Matematicas-financieras-ejercicio-en-clase.pdf

3 páginas

He publicado nuevos ejercicios de 2º Matemàtiques financeres: Matematicas-financieras-enunciados-bloques-1-2-3-4--resultados.pdf

10 páginas
Anónimo

@Anónimo

apuntes

-

Rendes variables. Teoria i exercicis

He publicado nuevos apuntes de 2º Matemàtiques financeres: Rendes variables. Teoria i exercicis

Documentos-escaneados-1.pdf
Documentos-escaneados-3.pdf
Vo-2000.pdf
Documentos-escaneados-2.pdf
Documentos-escaneados.pdf
¡Estás al día!

¡Estás al día!

Has visto todos los archivos