chevron_left
chevron_right
Todo
Apuntes
Ejercicios
Exámenes
chevron_left
chevron_right

apuntes

-

Pissarres

He publicado nuevos apuntes de 1º Matemàtiques I: Pissarres

Mates-16-12-22.pdf
Questionari-2-mates.pdf
Mates-15-12-22.pdf
Mates-corbes-parametritzades.pdf
Mates-Formulari-control.pdf
Mates-Funcions-de-dues-variables.pdf

apuntes

-

APUNTES MAT1

He publicado nuevos apuntes de 1º Matemàtiques I: APUNTES MAT1

2-FINAL-MATES-3.pdf
2-T4-MATES.pdf
2-PRACTICA-MATES.pdf
2-T5-MATES.pdf
FM1EEABBsolucions242570dfd4102011614a4dff8ed43d05ecd7.pdf
Formulari-FM1EEABBEFQQ1-24-25-2c5eb8a91faaeb0ebdb997c821913cd5a.pdf

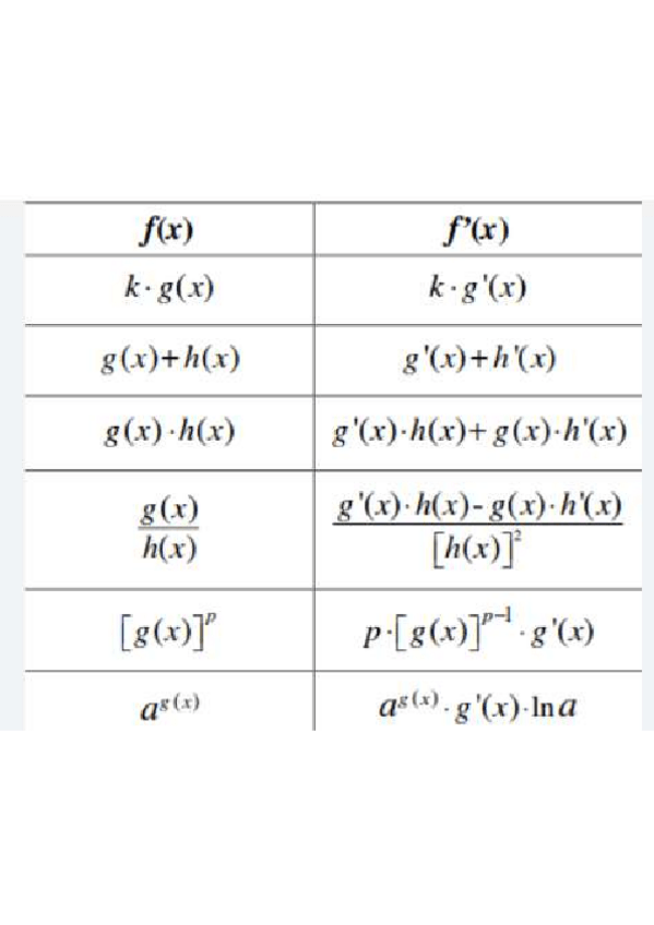
He publicado nuevos apuntes de 1º Matemàtiques I: Taula-Derivades.pdf

1 página

He publicado nuevos ejercicios de 1º Matemàtiques I: Soluciones-problemas-FM1EEABBsolucions2324.pdf

16 páginas

He publicado nuevos examenes de 1º Matemàtiques I: resolucioEFQFM1gener23.pdf

8 páginas

He publicado nuevos ejercicios de 1º Matemàtiques I: Problemas-FM1EEABBllistaproblemes2324.pdf

18 páginas

He publicado nuevos apuntes de 1º Matemàtiques I: Formulario.pdf

2 páginas

He publicado nuevos apuntes de 1º Matemàtiques I: RESUM-TEMA-3-I-4.pdf

9 páginas

He publicado nuevos apuntes de 1º Matemàtiques I: Control.pdf

2 páginas

He publicado nuevos ejercicios de 1º Matemàtiques I: Acts.pdf

8 páginas

He publicado nuevos ejercicios de 1º Matemàtiques I: ACTIVITATS-QUADERN.pdf

7 páginas

He publicado nuevos apuntes de 1º Matemàtiques I: integral-calculus-formulas.pdf

1 página

He publicado nuevos apuntes de 1º Matemàtiques I: Taula-derivades.pdf

1 página
Anónimo

@Anónimo

apuntes

-

Matemàtiques I

He publicado nuevos apuntes de 1º Matemàtiques I: Matemàtiques I

Hoja-de-apoyo-final.pdf
Hoja-de-apoyo-parcial.pdf

He publicado nuevos apuntes de 1º Matemàtiques I: Simulacre-Examen.pdf

3 páginas

apuntes

-

Mates I

He publicado nuevos apuntes de 1º Matemàtiques I: Mates I

Formulari-1r-parcial.pdf
Tema-3-Corbesparametritzades.pdf
temari-mates-sele.pdf
Formulari-Mates-I.pdf
Anónimo

@Anónimo

He publicado nuevos apuntes de 1º Matemàtiques I: TEMA-7.pdf

7 páginas
Anónimo

@Anónimo

He publicado nuevos apuntes de 1º Matemàtiques I: TEMA-6.pdf

15 páginas
Anónimo

@Anónimo

He publicado nuevos apuntes de 1º Matemàtiques I: TEMA-5.pdf

15 páginas
Anónimo

@Anónimo

He publicado nuevos apuntes de 1º Matemàtiques I: TEMA-4.pdf

15 páginas
Anónimo

@Anónimo

He publicado nuevos apuntes de 1º Matemàtiques I: TEMA-3.pdf

15 páginas
Anónimo

@Anónimo

He publicado nuevos apuntes de 1º Matemàtiques I: TEMA-2.pdf

14 páginas
Anónimo

@Anónimo

He publicado nuevos apuntes de 1º Matemàtiques I: TEMA-1.pdf

13 páginas
¡Estás al día!

¡Estás al día!

Has visto todos los archivos