chevron_left
chevron_right
Todo
Ejercicios
chevron_left
chevron_right

ejercicios

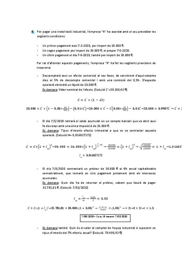
-

Exercicis Matemàtiques I

He publicado nuevos ejercicios de 1º Matemàtiques I: Exercicis Matemàtiques I

Exercici-rendes.pdf
Exercicis-12345-Bloc-3.docx.pdf
Exercicis-67-i-8-del-bloc-3-Doc1.docx.pdf
Exercicis-proposats-Matematiques-Financeres.docx.pdf
¡Estás al día!

¡Estás al día!

Has visto todos los archivos