chevron_left
chevron_right
Todo
Apuntes
Exámenes
Test
chevron_left
chevron_right

Q1: Nombres Complexos Nota: 10

3 páginas

Qüestionari PRÀCTICA 1

2 páginas

He publicado nuevos examenes de 1º Matemàtiques Ii: Formulari-primer-parcial.pdf

1 página
Anónimo

@Anónimo

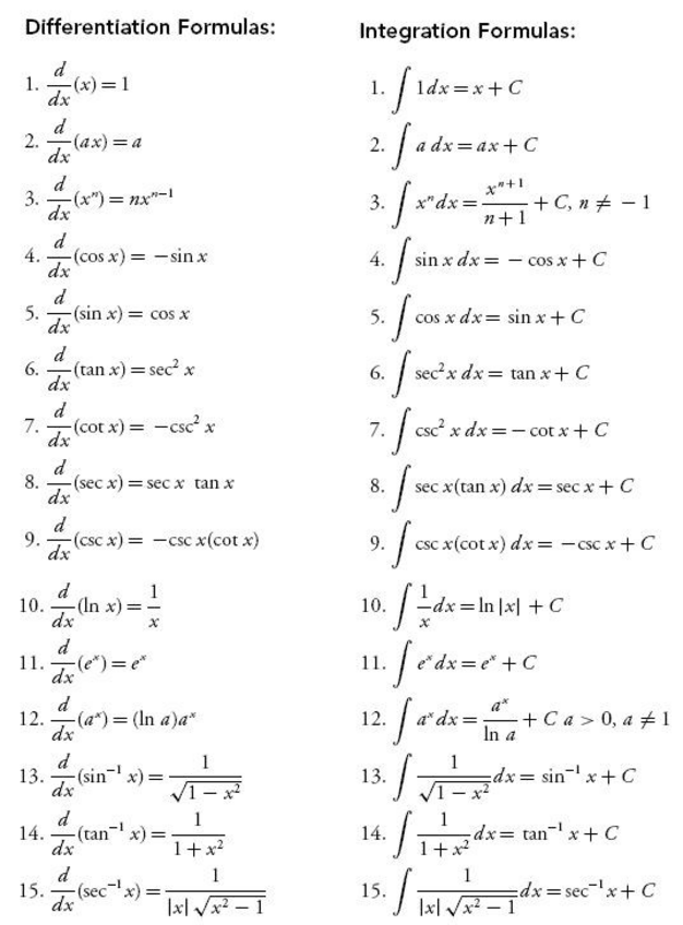
He publicado nuevos apuntes de 1º Matemàtiques Ii: tauladerivadesintegrals.pdf

1 página
Anónimo

@Anónimo

He publicado nuevos apuntes de 1º Matemàtiques Ii: Apunts-sobre-integrals-racionals.pdf

8 páginas
Anónimo

@Anónimo

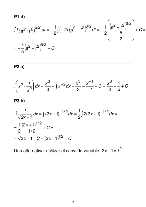
He publicado nuevos apuntes de 1º Matemàtiques Ii: integracioresolts.pdf

23 páginas
Anónimo

@Anónimo

He publicado nuevos examenes de 1º Matemàtiques Ii: PARCIALMA22122Resolt.pdf

8 páginas
Anónimo

@Anónimo

He publicado nuevos examenes de 1º Matemàtiques Ii: parcialfm218-19resolt.pdf

13 páginas
Anónimo

@Anónimo

He publicado nuevos examenes de 1º Matemàtiques Ii: parcialFM220-21resolt-1.pdf

7 páginas
Anónimo

@Anónimo

He publicado nuevos examenes de 1º Matemàtiques Ii: FINALFM220-21resolt.pdf

8 páginas
Anónimo

@Anónimo

He publicado nuevos examenes de 1º Matemàtiques Ii: finalfm22021-22resolt.pdf

7 páginas
Anónimo

@Anónimo

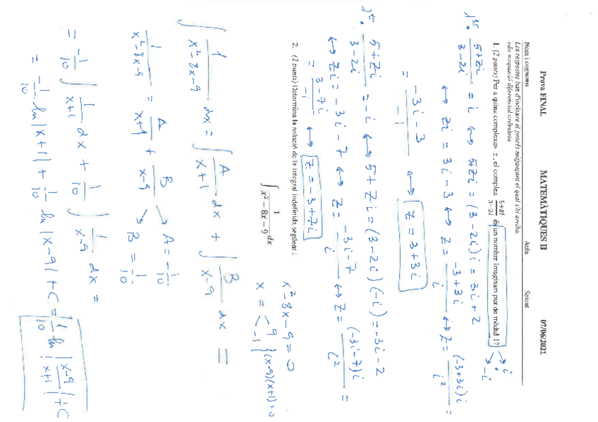
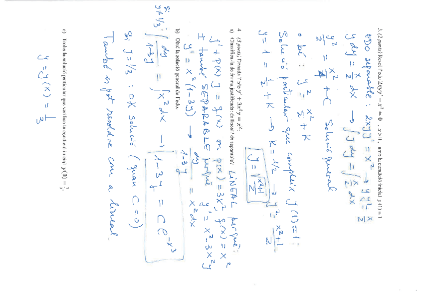
examen final

7 páginas
Anónimo

@Anónimo

He publicado nuevos apuntes de 1º Matemàtiques Ii: INTEGRALES.pdf

4 páginas
Anónimo

@Anónimo

He publicado nuevos apuntes de 1º Matemàtiques Ii: Formulari-mates-parcial-2.pdf

2 páginas
Anónimo

@Anónimo

He publicado nuevos apuntes de 1º Matemàtiques Ii: Formulari-mates-II-part-2.pdf

2 páginas
Anónimo

@Anónimo

He publicado nuevos apuntes de 1º Matemàtiques Ii: Formulari-mates-II.pdf

3 páginas
Anónimo

@Anónimo

He publicado nuevos examenes de 1º Matemàtiques Ii: Prova-parcial-primavera-2014-2015revisat.pdf

5 páginas
¡Estás al día!

¡Estás al día!

Has visto todos los archivos