chevron_left
chevron_right
Todo
Apuntes
Ejercicios
Exámenes
chevron_left
chevron_right

He publicado nuevos examenes de 2º Matematiques Iii: exam2023.pdf

4 páginas

He publicado nuevos examenes de 2º Matematiques Iii: exam2021.pdf

2 páginas

He publicado nuevos examenes de 2º Matematiques Iii: 2023Final.pdf

2 páginas

He publicado nuevos examenes de 2º Matematiques Iii: 2022Final.pdf

3 páginas

He publicado nuevos examenes de 2º Matematiques Iii: 2014Final.pdf

10 páginas

v2

Imagen

v1

Imagen

Preguna 1 versión 2

Imagen

Preguna 2 versión 2

Imagen

Pregunta 2

Imagen

pregunta 1

Imagen

He publicado nuevos ejercicios de 2º Matematiques Iii: Actividad-no-presencial-3.png

Imagen

He publicado nuevos ejercicios de 2º Matematiques Iii: Actividad-no-presencial-3.png

Imagen

He publicado nuevos ejercicios de 2º Matematiques Iii: Actividad-no-presencial-2.png

Imagen

He publicado nuevos apuntes de 2º Matematiques Iii: Actividad-no-presencial-12024.png

Imagen

situacion a) y´=yraiz(y^2-1)

Imagen

He publicado nuevos ejercicios de 2º Matematiques Iii: Actividad-no-presencial-1.png

Imagen
Anónimo

@Anónimo

He publicado nuevos examenes de 2º Matematiques Iii: 5Maig2021.pdf

2 páginas
Anónimo

@Anónimo

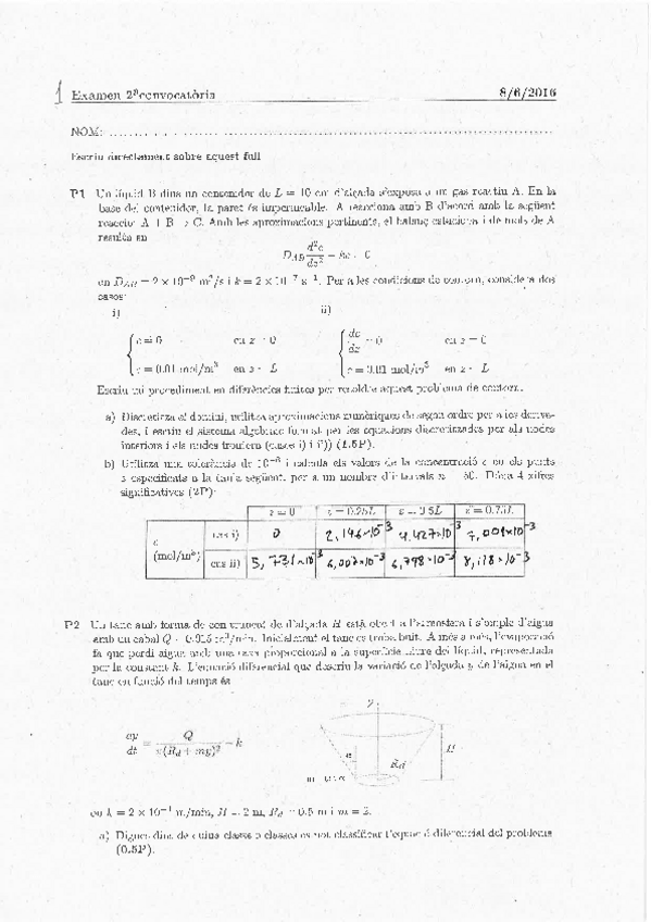
He publicado nuevos examenes de 2º Matematiques Iii: 2a-conv2016.pdf

10 páginas

examenes

-

Soluciones exámenes Matemàtiques III

He publicado nuevos examenes de 2º Matematiques Iii: Soluciones exámenes Matemàtiques III

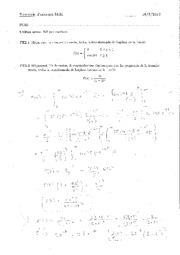
Solucio16Mar2016.pdf
Anónimo

@Anónimo

ejercicios

-

Ejemplos

He publicado nuevos ejercicios de 2º Matematiques Iii: Ejemplos

Miniatura no disponible
EXAMEN-EULER-NORMAL.sce
4Jun2021.pdf
Part-I-Solucio-de-sistemes-dequacions-diferencials-lineals-de-primer-ordre-3.pdf
Edos-de-2onO-i-ordre-superior-Part-II-2.pdf
Edos-de-2onO-i-ordre-superior-Part-I-2.pdf
201506051529.pdf
¡Estás al día!

¡Estás al día!

Has visto todos los archivos