Matemàtiques
He publicado nuevos apuntes de 1º Matemàtiques: Resum-T3-matematiques-I.pdf
Com calcular derivades parcials de primer i segon ordre, extrems relatius, condicionats i absoluts.
Apunts matemàtiques I amb problemes resolts de les fitxes dels tres primers temes i explicacions de classe.
He publicado nuevos apuntes de 1º Matemàtiques: resum-tema-2-mates.pdf
He publicado nuevos apuntes de 1º Matemàtiques: resum-tema-1-mates.pdf
apuntes
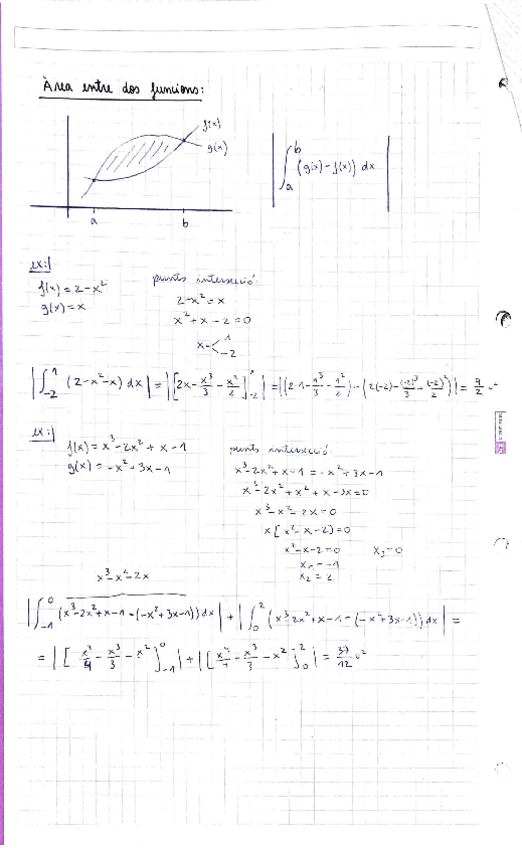
-
Apunts Mates
He publicado nuevos apuntes de 1º Matemàtiques: Apunts Mates
SOL FORMACIÓ: 🎓 Comencem el curs amb tu! Des de l’acadèmia volem acompanyar-te durant tot el quadrimestre perquè treguis el màxim rendiment. Ja tenim a punt els horaris dels cursos extensius, que comencen el 22 de setembre. 👉 Disposes de dues setmanes de prova gratuïta i sense compromís per conèixer el nostre equip i mètode. 🪑 Places limitades – Reserva la teva ja! 📣 Recomana’ns als teus companys i aprofita la Promo Amig@. 📲 Segueix-nos a xarxes per estar al dia de les promocions i novetats del nostre 50è aniversari: @ub.solformacion

Darrers CAES Finals. Encara no has reservat la teva plaça? Assegura't l'aprovat a la SOL. L'acadèmia amb més e
Reserva: 622 23 53 53

He publicado nuevos otros de 1º Matemàtiques: 2Q-2024-2025-Extensius-Biograus.pdf
Asegura tu aprobado en la SOL. Líderes en refuerzo universitario desde 1975. 1ª clase de prueba gratis y sin compromiso. ¡No te quedes sin tu plaza!
He publicado nuevos practicas de 1º Matemàtiques: PRACTICA-MATES-3-SISTEMA-DE-EQUACIONS.pdf
He publicado nuevos practicas de 1º Matemàtiques: PRACTICA-4-MATRIUS.pdf
He publicado nuevos apuntes de 1º Matemàtiques: mates-solucio-examen-febrer-2020-21.pdf
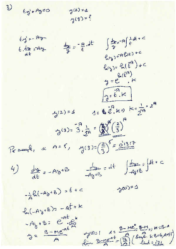
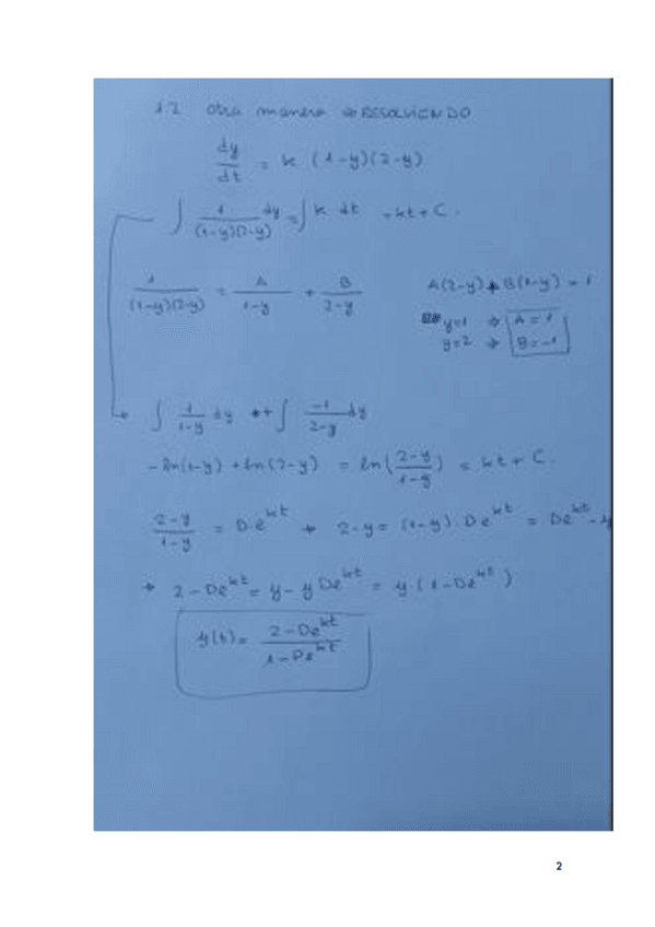
He publicado nuevos apuntes de 1º Matemàtiques: Equacions-Diferencials.pdf
apuntes
-
TOTS SCRIPTS
He publicado nuevos apuntes de 1º Matemàtiques: TOTS SCRIPTS
He publicado nuevos practicas de 1º Matemàtiques: PRACTICA-MATES-PART-2.pdf
He publicado nuevos practicas de 1º Matemàtiques: PRACTICA-1-PART-1-MATES-FUNCIONS-DERIVADES-EQUACIONS.pdf
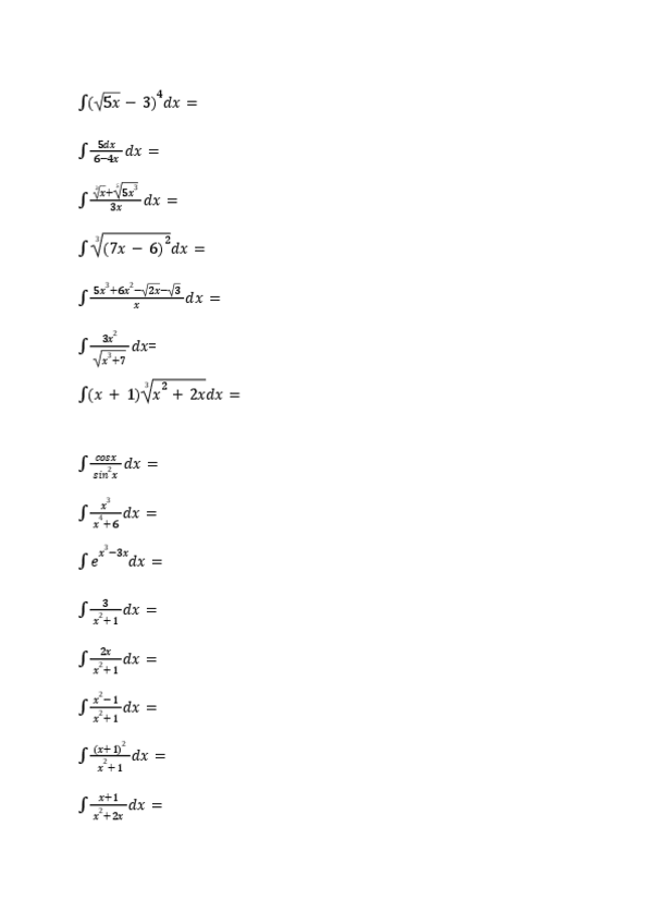
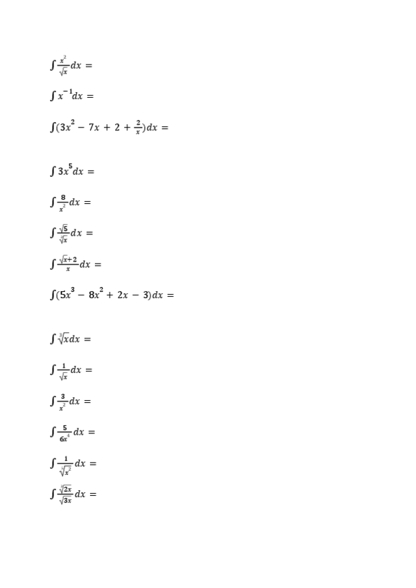
He publicado nuevos ejercicios de 1º Matemàtiques: integrals-per-practicar.pdf
ejercicios
-
PROBLEMES TEMES 1, 2, 3 i 4 - RESOLTS
He publicado nuevos ejercicios de 1º Matemàtiques: PROBLEMES TEMES 1, 2, 3 i 4 - RESOLTS
apuntes
-
TEMES 1, 2, 3, 4 i 5 - COMPLETS
He publicado nuevos apuntes de 1º Matemàtiques: TEMES 1, 2, 3, 4 i 5 - COMPLETS
examenes
-
PROVA DE SÍNTESI FEBRER 2024
He publicado nuevos examenes de 1º Matemàtiques: PROVA DE SÍNTESI FEBRER 2024
He publicado nuevos apuntes de 1º Matemàtiques: Resum-tema-4-equacions-diferencials.pdf
He publicado nuevos apuntes de 1º Matemàtiques: Resum-tema-2-funcions-de-varies-variables.pdf
He publicado nuevos apuntes de 1º Matemàtiques: resum-tema-1-funcions-duna-variable.pdf
He publicado nuevos ejercicios de 1º Matemàtiques: Solucio-questionari-equacions-diferencials.pdf
He publicado nuevos apuntes de 1º Matemàtiques: Apunts-extensos-temes-varis.pdf
He publicado nuevos apuntes de 1º Matemàtiques: Formulari-basic-matematiques.pdf
He publicado nuevos examenes de 1º Matemàtiques: Prova-de-sintesi-gener-2019.pdf
He publicado nuevos examenes de 1º Matemàtiques: Examen-practica-R-studio-resolt-2024.pdf
apuntes
-
Model examen R resolt
He publicado nuevos apuntes de 1º Matemàtiques: Model examen R resolt
apuntes
-
Scripts exercicis R
He publicado nuevos apuntes de 1º Matemàtiques: Scripts exercicis R
apuntes
-
Exemples models scripts R
He publicado nuevos apuntes de 1º Matemàtiques: Exemples models scripts R
He publicado nuevos examenes de 1º Matemàtiques: Exercici-4-examen-r.R
He publicado nuevos examenes de 1º Matemàtiques: Exercici-5-examen-r.R
He publicado nuevos examenes de 1º Matemàtiques: Exercici-3-examen-r.R
He publicado nuevos examenes de 1º Matemàtiques: Exercici-1-examen-r.R
He publicado nuevos examenes de 1º Matemàtiques: Examen-final-R-solucionat-2023.pdf
He publicado nuevos examenes de 1º Matemàtiques: Examen-final-solucionat-2023.pdf
He publicado nuevos examenes de 1º Matemàtiques: Examen-final-solucionat-2022.pdf
He publicado nuevos apuntes de 1º Matemàtiques: TOTS-ELS-SCRIPTS-R.pdf
He publicado nuevos examenes de 1º Matemàtiques: Correccio-examen-parcial-I-2023-tardes.pdf
He publicado nuevos examenes de 1º Matemàtiques: Correccio-examen-parcial-I-2023.pdf
He publicado nuevos examenes de 1º Matemàtiques: Model-dexamen-amb-RStudio.pdf
He publicado nuevos apuntes de 1º Matemàtiques: Sistema-equacions-diferencials.R
He publicado nuevos apuntes de 1º Matemàtiques: Resolucio-equacions-diferencials.R
He publicado nuevos apuntes de 1º Matemàtiques: tema-2-funcio-de-varies-variables.pdf
apuntes
-
MATEMÀTIQUES TREBALLS (2020-2021)
He publicado nuevos apuntes de 1º Matemàtiques: MATEMÀTIQUES TREBALLS (2020-2021)
He publicado nuevos apuntes de 1º Matemàtiques: SCRIPTS-R-EXPLICADOS-CON-EJEMPLOS.pdf
apuntes
-
RStudio (Scripts Examen). PDFS
He publicado nuevos apuntes de 1º Matemàtiques: RStudio (Scripts Examen). PDFS
apuntes
-
RStudio (Scripts Examen)
He publicado nuevos apuntes de 1º Matemàtiques: RStudio (Scripts Examen)
apuntes
-
Apunts matemàtiques
He publicado nuevos apuntes de 1º Matemàtiques: Apunts matemàtiques