chevron_left
chevron_right
Todo
Apuntes
Ejercicios
Exámenes
Otros
chevron_left
chevron_right

ejercicios

-

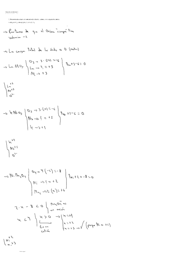
Hoja de problemas resuelta

He publicado nuevos ejercicios de 2º Materiales Cerámicos: Hoja de problemas resuelta

Hoja-de-problemas-1.pdf
Hoja-de-problemas-2.pdf
Hoja-de-problemas-3.pdf
Hoja-de-problemas-4.pdf
Hoja-de-problemas-5.pdf
Hoja-de-problemas-6.pdf

He publicado nuevos apuntes de 2º Materiales Cerámicos: Tema-1.5.pdf

3 páginas

He publicado nuevos apuntes de 2º Materiales Cerámicos: Tema-1.4.pdf

8 páginas

He publicado nuevos apuntes de 2º Materiales Cerámicos: tema-1.3.pdf

3 páginas

apuntes

-

Apuntes LaTex

He publicado nuevos apuntes de 2º Materiales Cerámicos: Apuntes LaTex

CeramicosT1T2.pdf

He publicado nuevos apuntes de 2º Materiales Cerámicos: Tm1.1.pdf

3 páginas

He publicado nuevos apuntes de 2º Materiales Cerámicos: tm-0-introduccion.pdf

3 páginas

He publicado nuevos apuntes de 2º Materiales Cerámicos: tema-1.2.pdf

10 páginas

He publicado nuevos apuntes de 2º Materiales Cerámicos: T1.1-1.5.pdf

17 páginas

He publicado nuevos ejercicios de 2º Materiales Cerámicos: Parte-de-vidrios.pdf

3 páginas

apuntes

-

Laboratorio

He publicado nuevos apuntes de 2º Materiales Cerámicos: Laboratorio

Defectos-puntuales-en-cristales-ionicos1819.pdf
PREPARACION-DE-MATERIALES18-19.pdf
Propiedades-mecanicas-de-ceramicas-de-ZnO1819.pdf
Propiedades-opticas-de-Vidrios-y-Haluros-alcalinos18-19.pdf

He publicado nuevos examenes de 2º Materiales Cerámicos: EXAMEN-CERAMICOS.pdf

2 páginas

He publicado nuevos examenes de 2º Materiales Cerámicos: EXAMEN-CERAMICOS.pdf

3 páginas

He publicado nuevos otros de 2º Materiales Cerámicos: GUIA-DOCENTE-Materiales-ceramicos.pdf

4 páginas

He publicado nuevos apuntes de 2º Materiales Cerámicos: Tema-1.4.pdf

5 páginas

He publicado nuevos apuntes de 2º Materiales Cerámicos: Ejercicios-1.3.pdf

1 página

He publicado nuevos apuntes de 2º Materiales Cerámicos: Tema-1.3-apuntes.pdf

10 páginas

He publicado nuevos apuntes de 2º Materiales Cerámicos: Ejercicios-1.1.pdf

4 páginas

He publicado nuevos apuntes de 2º Materiales Cerámicos: Tema-1.2-apuntes.pdf

6 páginas

He publicado nuevos apuntes de 2º Materiales Cerámicos: Tema-1.1-apuntes.pdf

7 páginas

apuntes

-

apuntes

He publicado nuevos apuntes de 2º Materiales Cerámicos: apuntes

2.pdf
1.pdf
Cuestiones-tema-1.pdf
Cuestiones-tema-1.pdf
vidrios.pdf
1.pdf

apuntes

-

apuntes y ejercicios resueltos

He publicado nuevos apuntes de 2º Materiales Cerámicos: apuntes y ejercicios resueltos

Cuestiones-tema-1.pdf
1.pdf
2.pdf
2.pdf
1.pdf
vidrios.pdf

Examen parcial liberatorio de los temas 1-5

5 páginas

examenes

-

Exámenes Resueltos

Aunque ponga EXAMEN FINAL 1 Y 2, ambos son de todo el temario. Yani pone los mismo ejercicios siempre, en cada examen hay 1 o 2 coincidentes con el resto. Sería una putada que este año no cayesen

Parcial 3 2017 Mayo.pdf
EXAMEN FINAL 1.pdf
EXAMEN FINAL 2.pdf
¡Estás al día!

¡Estás al día!

Has visto todos los archivos