chevron_left
chevron_right
Todo
Apuntes
Ejercicios
Exámenes
Prácticas
Trabajos
chevron_left
chevron_right

ejercicios

-

50 preguntas tipo Test materiales I

50 Preguntas tipo test generales de materiales I con SOLUCIONARIO. Del tema 1 al 5.

Test-materiales.pdf
Soluciones-del-anterior-test.pdf

Ejercicios resueltos del Tema 4 de materiales I

6 páginas

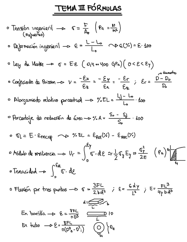
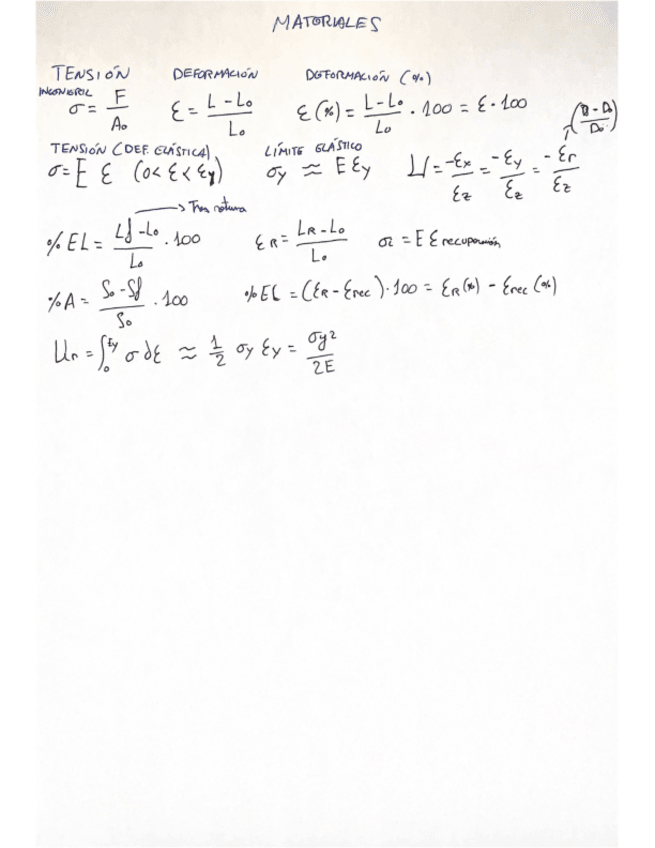
Aquí encontrarás un breve formulario del Tema 3 de Materiales I, organizado y estructurado, con el nombre de cada magnitud, el significado de sus símbolos y las unidades correspondientes.

2 páginas

apuntes

-

Teoría - Materiales I

Resumen teoría

TEMA-1-Y-2.pdf
TEMA-3.pdf
TEMA-4.pdf
TEMA-5.pdf
TEMA-6.pdf
TEMA-7.pdf

He publicado nuevos apuntes de 1º Materiales I: materiales.pdf

8 páginas

Resumen temario

4 páginas

Resumen temario

4 páginas

Resumen temario

3 páginas

Examen corregido y explicado

7 páginas

He publicado nuevos apuntes de 1º Materiales I: Formulario-Materiales.pdf

1 página

Definiciones con ejemplos de las definiciones de las propiedades de los materiales

1 página

Resumen 1er parcial

11 páginas

He publicado nuevos apuntes de 1º Materiales I: Tema-2-Materiales.pdf

3 páginas

He publicado nuevos apuntes de 1º Materiales I: Tema-3-Materiales.pdf

3 páginas
Anónimo

@Anónimo

practicas

-

Laboratorios_memorias

He publicado nuevos practicas de 1º Materiales I: Laboratorios_memorias

Practica-1-Laboratorio-DI2010.pdf
Practica-2-Laboratorio-DI2010.pdf
Practica-3-Laboratorio-DI2010.pdf
Practica-4-Laboratorio-D12010.pdf
Anónimo

@Anónimo

He publicado nuevos trabajos de 1º Materiales I: Segunda-Entrega.-Trabajo-Evaluacion.pdf

14 páginas
Anónimo

@Anónimo

He publicado nuevos trabajos de 1º Materiales I: Trabajo-de-evaluacion-continua-Entrega-Intermedia.pdf

3 páginas
Anónimo

@Anónimo

He publicado nuevos apuntes de 1º Materiales I: RESUMEN-TEORIA-TEMA-8.-Aleaciones-No-Ferreas.pdf

8 páginas
Anónimo

@Anónimo

He publicado nuevos apuntes de 1º Materiales I: RESUMEN-TEORIA-TEMA-10.-Polimeros.-Principales-Familias.pdf

5 páginas
Anónimo

@Anónimo

He publicado nuevos apuntes de 1º Materiales I: RESUMEN-TEORIA-TEMA-9.-Polimero.-Estructura-y-Clasificacion.pdf

8 páginas
Anónimo

@Anónimo

He publicado nuevos apuntes de 1º Materiales I: RESUMEN-TEORIA-TEMA-11.-Ceramicas.-Estructuras.-Propiedades.-Aplicaciones.pdf

13 páginas
Anónimo

@Anónimo

He publicado nuevos apuntes de 1º Materiales I: RESUMEN-TEORIA-TEMA-2.-Conceptos-basicos-de-estructura-de-los-materiales.pdf

8 páginas
Anónimo

@Anónimo

He publicado nuevos apuntes de 1º Materiales I: RESUMEN-TEORIA-TEMA-1.-Introduccion-a-los-materiales-en-el-diseno-de-productos.pdf

2 páginas
Anónimo

@Anónimo

He publicado nuevos apuntes de 1º Materiales I: RESUMEN-TEORIA-TEMA-3.-Propiedades-Mecanicas-de-los-Materiales.pdf

7 páginas
Anónimo

@Anónimo

He publicado nuevos apuntes de 1º Materiales I: RESUMEN-TEORIA-TEMA-5.-Fundamentos-de-los-materiales-metalicos.pdf

4 páginas
Anónimo

@Anónimo

He publicado nuevos apuntes de 1º Materiales I: RESUMEN-TEORIA-TEMA-4.-Otras-propiedades-d-elos-materiales.pdf

5 páginas
Anónimo

@Anónimo

He publicado nuevos apuntes de 1º Materiales I: RESUMEN-TEORIA-TEMA-6.-Fundamentos-de-los-materiales-metalicos.pdf

3 páginas
Anónimo

@Anónimo

He publicado nuevos apuntes de 1º Materiales I: RESUMEN-TEORIA-TEMA-7.-Aleaciones-Ferreas.pdf

7 páginas
Anónimo

@Anónimo

He publicado nuevos practicas de 1º Materiales I: Laboratorio-1.pdf

8 páginas
Anónimo

@Anónimo

He publicado nuevos apuntes de 1º Materiales I: formulas-materiales.pdf

5 páginas
Anónimo

@Anónimo

He publicado nuevos trabajos de 1º Materiales I: Entrega-final-proyecto-materiales.pdf

4 páginas
Anónimo

@Anónimo

He publicado nuevos apuntes de 1º Materiales I: Definiciones-Materiales.pdf

4 páginas

He publicado nuevos apuntes de 1º Materiales I: Resumen-Materiales-Tema-5-8.pdf

27 páginas

He publicado nuevos apuntes de 1º Materiales I: Resumen-Materiales Tema 1-4.pdf

17 páginas

He publicado nuevos examenes de 1º Materiales I: examen-2016-materiales-I.pdf

20 páginas

FÓRMULAS MATERIALES

2 páginas
Anónimo

@Anónimo

He publicado nuevos apuntes de 1º Materiales I: Resumenes-del-tema-1-al-5.pdf

19 páginas

He publicado nuevos apuntes de 1º Materiales I: APUNTES-CLASE.pdf

70 páginas

resumenes temas 1 a 4 + formulario en las 2 últimas páginas del documento.

8 páginas
Anónimo

@Anónimo

He publicado nuevos examenes de 1º Materiales I: ProblemasExamen1.pdf

6 páginas
Anónimo

@Anónimo

He publicado nuevos examenes de 1º Materiales I: Problemas_Examen2.pdf

6 páginas

Libreta de Problemas Materiales

7 páginas

Libreta Materiales: Esquemas y Resúmenes de todo.

44 páginas

Resumen Fórmulas y Gráficas Metales

2 páginas

Resumen Fórmulas y Gráficas Plásticos

14 páginas

Resumen Fórmulas y Gráficas Cerámicas

2 páginas

Resumen Fórmulas y Gráficas Propiedades Mecánicas

6 páginas

He publicado nuevos apuntes de 1º Materiales I: TEMA-11.pdf

13 páginas

He publicado nuevos apuntes de 1º Materiales I: TEMA-10.pdf

4 páginas

He publicado nuevos apuntes de 1º Materiales I: TEMA-9.pdf

6 páginas

He publicado nuevos apuntes de 1º Materiales I: TEMA-8.pdf

4 páginas

He publicado nuevos apuntes de 1º Materiales I: TEMA-7.pdf

11 páginas

He publicado nuevos apuntes de 1º Materiales I: TEMA-6.pdf

11 páginas

He publicado nuevos apuntes de 1º Materiales I: TEMAS-2-Y-5.pdf

9 páginas

He publicado nuevos apuntes de 1º Materiales I: EXQUEMA-MATERIALES-I-1.pdf

23 páginas

He publicado nuevos apuntes de 1º Materiales I: resumen-tema-7-materiales-ceramicos.pdf

11 páginas
Anónimo

@Anónimo

He publicado nuevos apuntes de 1º Materiales I: LA-COLADA-DE-METALES-L1b.pdf

11 páginas
Anónimo

@Anónimo

He publicado nuevos practicas de 1º Materiales I: Memoria-practica-6.pdf

7 páginas
Anónimo

@Anónimo

He publicado nuevos practicas de 1º Materiales I: PRACTICA-2-materiales.pdf

7 páginas
Anónimo

@Anónimo

He publicado nuevos practicas de 1º Materiales I: PRACTICA 1-propiedades-mecanicas.pdf

6 páginas