Materiales Poliméricos

chevron_left
chevron_right
Todo
Apuntes
Ejercicios
Exámenes
Otros
Prácticas
chevron_left
chevron_right

apuntes

-

APUNTES MATPOL 25/26

Aquí os dejo mis apuntes que he utilizado para estudiar la asignatura de materiales poliméricos :)

MATPOL-TEMA-1.pdf
MATPOL-TEMA-2.pdf
MATPOL-TEMA-3-PARTE-1.pdf
MATPOL-TEMA-5.pdf
MATPOL-TEMA-6.pdf

He publicado nuevos ejercicios de 2º Materiales Poliméricos: Problemas-tema-7.pdf

3 páginas

He publicado nuevos ejercicios de 2º Materiales Poliméricos: Problemas-Tema-6.pdf

2 páginas

He publicado nuevos apuntes de 2º Materiales Poliméricos: Tema-7.pdf

5 páginas

He publicado nuevos apuntes de 2º Materiales Poliméricos: Tema-6A.pdf

6 páginas

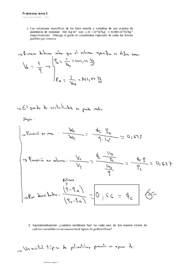
He publicado nuevos ejercicios de 2º Materiales Poliméricos: Problemas-Tema-5.pdf

3 páginas

He publicado nuevos ejercicios de 2º Materiales Poliméricos: Problemas-Tema-4.pdf

3 páginas

He publicado nuevos apuntes de 2º Materiales Poliméricos: Tema-5B.pdf

7 páginas

He publicado nuevos apuntes de 2º Materiales Poliméricos: Tema-5A.pdf

5 páginas

He publicado nuevos apuntes de 2º Materiales Poliméricos: Tema-4.pdf

6 páginas

He publicado nuevos ejercicios de 3º Materiales Poliméricos: T1-problemas-peso-molecular-resueltos.pdf

2 páginas

He publicado nuevos apuntes de 2º Materiales Poliméricos: Apuntes-Tema-1.pdf

8 páginas

apuntes

-

Apuntes 1-3

He publicado nuevos apuntes de 2º Materiales Poliméricos: Apuntes 1-3

Tema-2.2.pdf
Tema-3.pdf
Tema-1.pdf
Tema-2.pdf
Tema-2.3.pdf

He publicado nuevos apuntes de 3º Materiales Poliméricos: Esquema-polimerizacion-radical-en-cadena.pdf

4 páginas
Anónimo

@Anónimo

Tiene exámenes resueltos de varios años, suele repetir preguntas.

42 páginas

apuntes

-

Todo Polímeros

He publicado nuevos apuntes de 3º Materiales Poliméricos: Todo Polímeros

1.-Materiales-PolimericosTema-5.pdf
1.-Materiales-PolimericosTema-7.pdf
1.-Materiales-PolimericosTema-13.pdf
1.-Materiales-PolimericosTema-1.pdf
1.-Materiales-PolimericosTema-8.pdf
1.-Materiales-PolimericosTema-9.pdf

Apuntes de las prácticas de polímeros. Prácticas 1, 3 y 4

5 páginas
Anónimo

@Anónimo

He publicado nuevos apuntes de 3º Materiales Poliméricos: Primera-convo-MATPOL-24-25-problemas.pdf

1 página
Anónimo

@Anónimo

He publicado nuevos apuntes de 3º Materiales Poliméricos: Pimera-convo-MATPOL-24-25.pdf

2 páginas

apuntes

-

Ejercicios resueltos y explicados

He publicado nuevos apuntes de 2º Materiales Poliméricos: Ejercicios resueltos y explicados

Problemas-tema-1.pdf
Problemas-tema-2-2.0.pdf
Problemas-tema-2-3.0.pdf
Problemas-tema-2.pdf
Problemas-tema-3.pdf
Problemas-tema-5.pdf

He publicado nuevos apuntes de 2º Materiales Poliméricos: Ejercicios-tema-3.pdf

4 páginas

He publicado nuevos apuntes de 2º Materiales Poliméricos: Ejercicios-tema-2.pdf

8 páginas

He publicado nuevos apuntes de 2º Materiales Poliméricos: Problemas-tema-1.pdf

3 páginas

apuntes

-

Segunda parte

He publicado nuevos apuntes de 3º Materiales Poliméricos: Segunda parte

TEMA-5BASES-DEL-PROCESADO-DEL-POLIMERO.pdf
TEMA-6MOLDEO-POR-EXTRUSORA.pdf
TEMA-7MOLDEO-POR-INYECCION.pdf

He publicado nuevos examenes de 3º Materiales Poliméricos: parcial-II202324-Resuelto.pdf

5 páginas

He publicado nuevos examenes de 3º Materiales Poliméricos: parcial-I202324-resuelto.pdf

5 páginas

He publicado nuevos examenes de 3º Materiales Poliméricos: julio-202223-Resuelto.pdf

6 páginas

He publicado nuevos examenes de 3º Materiales Poliméricos: parcial-1-2425-resuelto.pdf

4 páginas

He publicado nuevos examenes de 3º Materiales Poliméricos: Final-202324-Resuelto.pdf

10 páginas

He publicado nuevos practicas de 3º Materiales Poliméricos: Informe-Practicas-Reologia.pdf

10 páginas

He publicado nuevos practicas de 3º Materiales Poliméricos: Informe-Practicas-Caracterizacion.pdf

11 páginas

He publicado nuevos ejercicios de 3º Materiales Poliméricos: Seminario-bloque-2-resuelto.pdf

31 páginas

apuntes

-

Apuntes de teoría

He publicado nuevos apuntes de 3º Materiales Poliméricos: Apuntes de teoría

Tema-2Estructura-de-solidos-polimericos.pdf
Tema-4ParteIPropiedades-termomecanicas.pdf
Tema-3Sintesis-de-polimeros.pdf
Tema-5-ParteII-Mezclado.pdf
Tema-5ParteIIIMoldeo-Rotacional.pdf
Tema-6Extrusion-de-polimeros.pdf

He publicado nuevos apuntes de 2º Materiales Poliméricos: Tema-6-pol.pdf

3 páginas

He publicado nuevos apuntes de 2º Materiales Poliméricos: Tema-5-estado-solido-Pol.pdf

4 páginas

He publicado nuevos ejercicios de 3º Materiales Poliméricos: Seminario-bloque-1resuelto.pdf

26 páginas

He publicado nuevos apuntes de 3º Materiales Poliméricos: Tema-4-Propiedades-termomecanicas.pdf

15 páginas

He publicado nuevos apuntes de 3º Materiales Poliméricos: Tema-2-Estructura-de-solidos-polimericos.pdf

22 páginas

He publicado nuevos apuntes de 3º Materiales Poliméricos: Tema-1-Fundamentos-de-la-ciencia-de-polimeros.pdf

10 páginas

He publicado nuevos apuntes de 2º Materiales Poliméricos: Tema-3--resumen.pdf

2 páginas

He publicado nuevos apuntes de 2º Materiales Poliméricos: Tema-3.pdf

5 páginas

He publicado nuevos apuntes de 2º Materiales Poliméricos: Tema-2C-resumido.pdf

2 páginas

He publicado nuevos apuntes de 2º Materiales Poliméricos: Tema-2B-resumen.pdf

2 páginas

He publicado nuevos apuntes de 2º Materiales Poliméricos: Tema-1-pol-Resumido.pdf

2 páginas

He publicado nuevos apuntes de 2º Materiales Poliméricos: Tema-2-C.pdf

4 páginas

He publicado nuevos apuntes de 2º Materiales Poliméricos: Tema-2-B-completo.pdf

5 páginas

He publicado nuevos apuntes de 2º Materiales Poliméricos: Polimeros-a-conocer.pdf

1 página

De todo un poco

22 páginas

En parciales suele poner preguntas diferentes y complicadas

16 páginas

He publicado nuevos apuntes de 2º Materiales Poliméricos: Tm1-MatPol.pdf

5 páginas

He publicado nuevos apuntes de 2º Materiales Poliméricos: Tema-2A-Sintesis.pdf

5 páginas

He publicado nuevos apuntes de 2º Materiales Poliméricos: Resumene-Matpol-todo.pdf

61 páginas

He publicado nuevos apuntes de 3º Materiales Poliméricos: MATPOL-Apuntes.pdf

39 páginas
Anónimo

@Anónimo

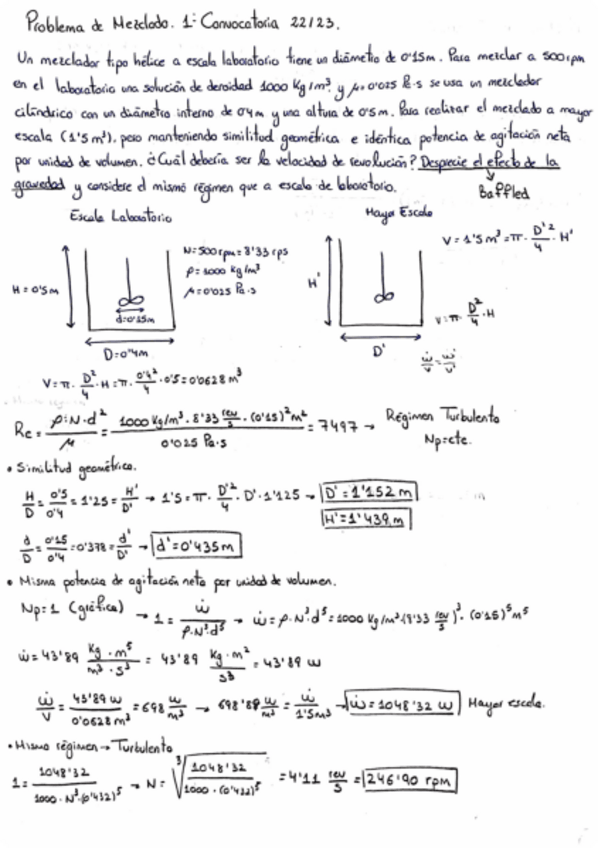
He publicado nuevos examenes de 3º Materiales Poliméricos: CONVOCATORIA JUNIO 22-23 RESUELTO.pdf

8 páginas
Anónimo

@Anónimo

He publicado nuevos examenes de 3º Materiales Poliméricos: CONVOCATORIA ENERO 22-23 RESUELTO.pdf

3 páginas

He publicado nuevos apuntes de 2º Materiales Poliméricos: Tema-3.pdf

2 páginas

He publicado nuevos apuntes de 2º Materiales Poliméricos: Tema-4.pdf

2 páginas

He publicado nuevos apuntes de 2º Materiales Poliméricos: Tema-1.pdf

3 páginas

He publicado nuevos otros de 2º Materiales Poliméricos: GUIA-DOCENTE-Materiales-polimericos.pdf

7 páginas

He publicado nuevos apuntes de 3º Materiales Poliméricos: Tema3disolucionesdiluidas.pdf

8 páginas