chevron_left
chevron_right
Todo
Ejercicios
chevron_left
chevron_right

ejercicios

-

Ejercicios variados

He publicado nuevos ejercicios de 4º Materiales y dispositivos electrónicos: Ejercicios variados

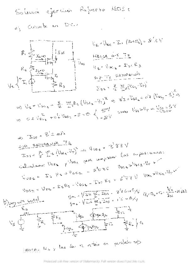
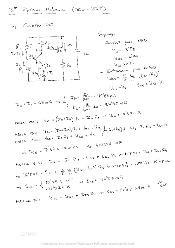
Solucion-ejercicio-refuerzo-MOS-3.pdf
solucion-ejercicio-refuerzo-MOS.pdf
Tabla-transistor.pdf
tema-4-problemas.pdf
tema-2-problemas-primera-parte.pdf
RelaciondeProblemasdelTemaDiodos.pdf
¡Estás al día!

¡Estás al día!

Has visto todos los archivos