Math 10a - Methods of Mathematics: Calculus, Statistics, and Combinatorics

chevron_left
chevron_right
Todo
Exámenes
chevron_left
chevron_right

He publicado nuevos examenes de Low Div Math 10a - Methods of Mathematics: Calculus, Statistics, and Combinatorics: math-10-midterm1-exam.pdf

5 páginas

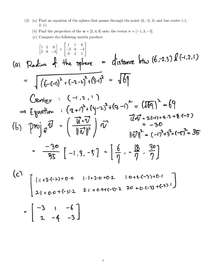
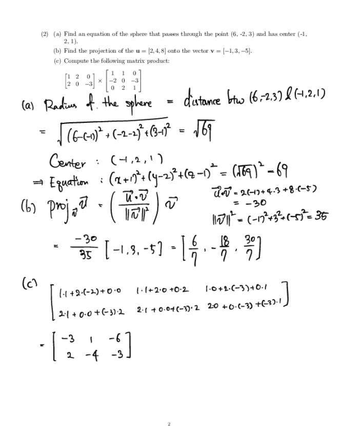
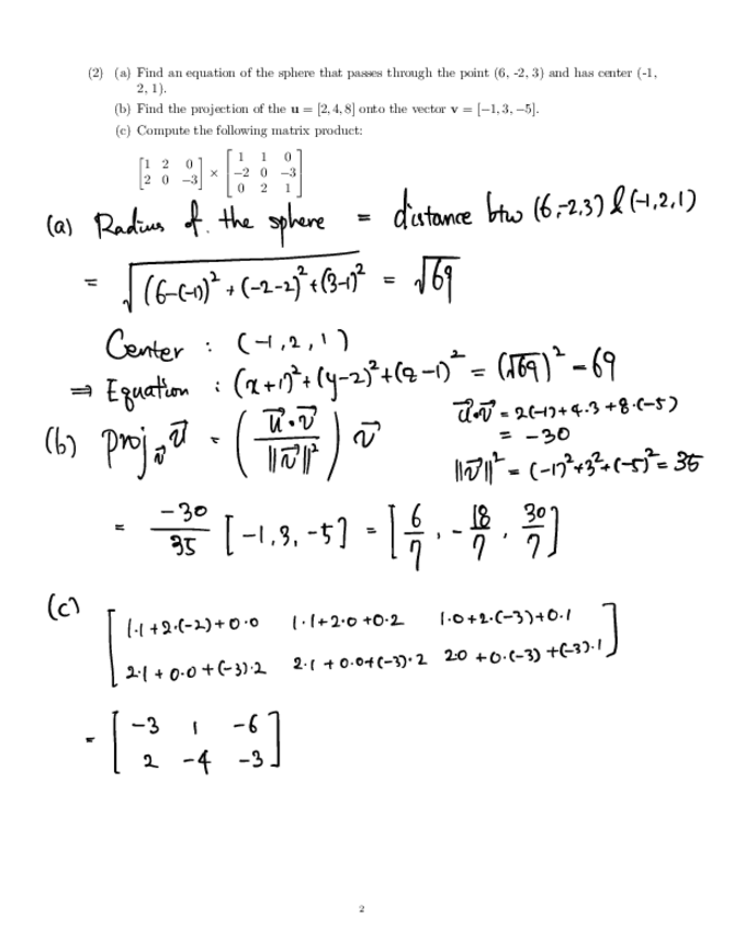
He publicado nuevos examenes de Low Div Math 10a - Methods of Mathematics: Calculus, Statistics, and Combinatorics: MATH-10A-Practice-Midterm-1-Answers-and-Key-Concepts.pdf

5 páginas
¡Estás al día!

¡Estás al día!

Has visto todos los archivos