chevron_left
chevron_right
Todo
Apuntes
Ejercicios
chevron_left
chevron_right

He publicado nuevos apuntes de 3º Mecánica analítica e orbital: T5-MAO-resumen-y-ejercicios.pdf

8 páginas

ejercicios

-

Boletines resueltos

He publicado nuevos ejercicios de 3º Mecánica analítica e orbital: Boletines resueltos

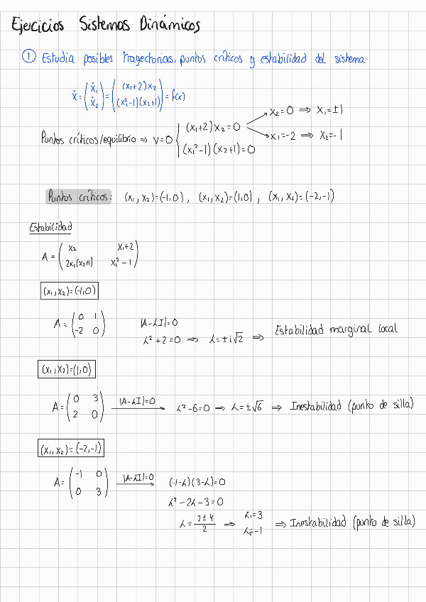
Sistemas-Dinamicos.pdf
Mecanica-Lagrangiana-y-Hamiltoniana.pdf
¡Estás al día!

¡Estás al día!

Has visto todos los archivos