Mecánica analítica y de los medios continuos
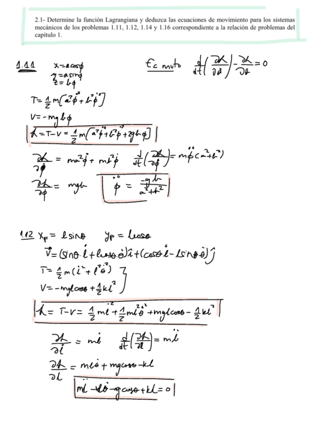
He publicado nuevos ejercicios de 3º Mecánica analítica y de los medios continuos: Relacion-2-resuelta-Lagrange.pdf
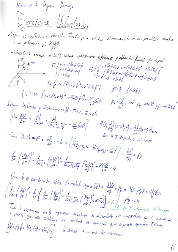
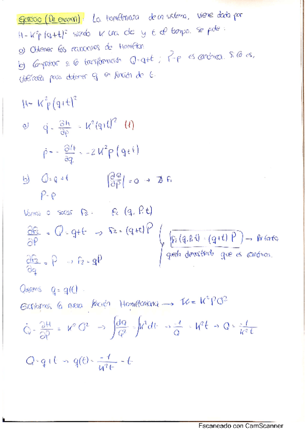
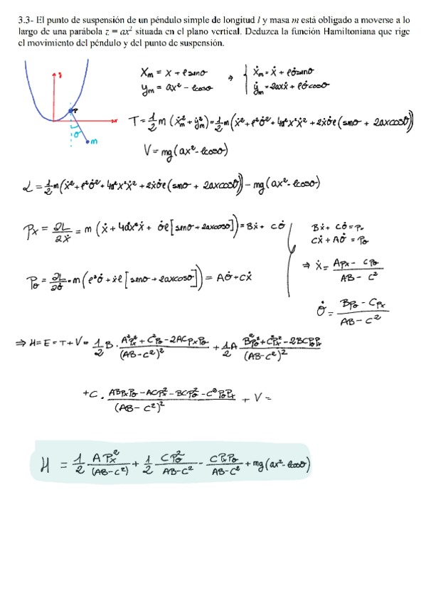
He publicado nuevos ejercicios de 3º Mecánica analítica y de los medios continuos: Relacion-4-resuelta-Transformaciones-canonicas-Hamilton-Jacobi-y-Variables-accion-angulo.pdf
He publicado nuevos ejercicios de 3º Mecánica analítica y de los medios continuos: Relacion-6-resuelta-Deformaciones.pdf
He publicado nuevos ejercicios de 3º Mecánica analítica y de los medios continuos: Relacion-7-resuelta-Ecuaciones-constitutivas.pdf
He publicado nuevos ejercicios de 3º Mecánica analítica y de los medios continuos: Relacion-1-resuelta-Ppio-trabajos-virtuales-y-Dalemberty.pdf
He publicado nuevos examenes de 3º Mecánica analítica y de los medios continuos: ExamenesResueltosDeOtrosCursos.pdf
He publicado nuevos examenes de 3º Mecánica analítica y de los medios continuos: PruebasClase123Resueltas2025.pdf
Todos los temas exceptuando el último están bastante con todo lo esencial (más o menos explicado) pa quien lo entienda y quiera
He publicado nuevos examenes de 3º Mecánica analítica y de los medios continuos: Ordinario-23-24RESUELTO.pdf (en el 5c hay un error, no se puede integrar p).pdf
ejercicios
-
Ejercicios de entrega
He publicado nuevos ejercicios de 3º Mecánica analítica y de los medios continuos: Ejercicios de entrega
He publicado nuevos apuntes de 3º Mecánica analítica y de los medios continuos: Formulario-de-toda-la-asignatura.pdf
He publicado nuevos ejercicios de 3º Mecánica analítica y de los medios continuos: Relación 7 - Leyes fundamentales, ec constitutivas (explicados).pdf
He publicado nuevos ejercicios de 3º Mecánica analítica y de los medios continuos: Relación 6 - Movimiento y deformación (explicados).pdf
He publicado nuevos ejercicios de 3º Mecánica analítica y de los medios continuos: Relación 4 (y 5) - Hamilton-Jacobi (explicados).pdf
He publicado nuevos ejercicios de 3º Mecánica analítica y de los medios continuos: Relación 3 - Formulación hamiltoniana (explicados).pdf
He publicado nuevos ejercicios de 3º Mecánica analítica y de los medios continuos: Relación 2 - Formulación lagrangiana (explicados).pdf
He publicado nuevos ejercicios de 3º Mecánica analítica y de los medios continuos: Relación 1 - Conceptos fundamentales (explicados).pdf
He publicado nuevos apuntes de 3º Mecánica analítica y de los medios continuos: Formulario-chuletario de Mecánica analítica.pdf
INICIO DE CURSO MECÁNICA ANALÍTICA ACADEMIA UNIVERSITARIA FORMACIÓN MANUEL POZO Clases modalidad online y presencial. Todas tus CLASES GRABADAS PARA QUE PUEDAS VISUALIZARLAS HASTA EL DÍA DEL EXAMEN Resolución de todos tus ejercicios y exámenes de convocatorias anteriores. Profesores especialidados y temario propio. Acceso a PLATAFORMA VIRTUAL CON CONTENIDO EXCLUSIVO ¡Solicita tu clase de prueba en grupo sin compromiso!

Formulario completo de Mecánica Analítica, 6 caras que es lo permitido en el examen
apuntes
-
RESÚMENES MAMC
He publicado nuevos apuntes de 3º Mecánica analítica y de los medios continuos: RESÚMENES MAMC
INICIO DE CURSO DE MECÁNICA ANALÍTICA Y DE LOS MEDIOS CONTINUOS
ACADEMIA UNIVERSITARIA INICIO DE CURSO MECÁNICA ANALÍTICA Y DE LOS MEDIOS CONTINUOS Resolución paso a paso de todos tus ejercicios y exámenes de años anteriores. Clases online y presenciales. Horario de mañana y tarde.

ejercicios
-
Entregas 23/24 resueltas
He publicado nuevos ejercicios de 3º Mecánica analítica y de los medios continuos: Entregas 23/24 resueltas
ejercicios
-
Relaciones resueltas
He publicado nuevos ejercicios de 3º Mecánica analítica y de los medios continuos: Relaciones resueltas
He publicado nuevos examenes de 3º Mecánica analítica y de los medios continuos: MAyMCOrdinaria2023-24.pdf
ejercicios
-
MEK. ANALÍTIKA Y MED. KONTINUOS (23/24)
He publicado nuevos ejercicios de 3º Mecánica analítica y de los medios continuos: MEK. ANALÍTIKA Y MED. KONTINUOS (23/24)
ejercicios
-
EjerciciosResueltosYCorregidos
He publicado nuevos ejercicios de 3º Mecánica analítica y de los medios continuos: EjerciciosResueltosYCorregidos
apuntes
-
Apuntes
He publicado nuevos apuntes de 3º Mecánica analítica y de los medios continuos: Apuntes
He publicado nuevos apuntes de 3º Mecánica analítica y de los medios continuos: Tema1y2Resumen.pdf
He publicado nuevos examenes de 3º Mecánica analítica y de los medios continuos: Examen-ordinario-2016-17 resuelto.pdf
He publicado nuevos apuntes de 3º Mecánica analítica y de los medios continuos: Examen-ordinario-de-dios-sabe-cuando-resuelto.pdf
apuntes
-
Teoría
He publicado nuevos apuntes de 3º Mecánica analítica y de los medios continuos: Teoría
He publicado nuevos apuntes de 3º Mecánica analítica y de los medios continuos: Relacion-6-Movimiento-y-deformacion-.pdf
He publicado nuevos apuntes de 3º Mecánica analítica y de los medios continuos: Resumen-Hamilton-Jacobi.pdf
apuntes
-
Ejercicios 2022
He publicado nuevos apuntes de 3º Mecánica analítica y de los medios continuos: Ejercicios 2022
He publicado nuevos apuntes de 3º Mecánica analítica y de los medios continuos: FormularioMecAna.pdf
He publicado nuevos apuntes de 3º Mecánica analítica y de los medios continuos: Formularioanalitica.pdf
He publicado nuevos apuntes de 3º Mecánica analítica y de los medios continuos: T1-Introduccion-y-T2-Formulacion-Lagrangiana.pdf
He publicado nuevos otros de 3º Mecánica analítica y de los medios continuos: LIBRO-MAMMCC-Antonio-Molina-Cuevas.pdf
He publicado nuevos apuntes de 3º Mecánica analítica y de los medios continuos: T5.pdf
He publicado nuevos apuntes de 3º Mecánica analítica y de los medios continuos: T4.pdf
He publicado nuevos ejercicios de 3º Mecánica analítica y de los medios continuos: 38668.pdf
He publicado nuevos apuntes de 3º Mecánica analítica y de los medios continuos: ApuntesHamilton.pdf
ejercicios
-
RELACIONES_RESUELTAS-J.P
He publicado nuevos ejercicios de 3º Mecánica analítica y de los medios continuos: RELACIONES_RESUELTAS-J.P
He publicado nuevos examenes de 3º Mecánica analítica y de los medios continuos: parcial1-resuelto.pdf
apuntes
-
Apuntes 2021/2022
He publicado nuevos apuntes de 3º Mecánica analítica y de los medios continuos: Apuntes 2021/2022
He publicado nuevos ejercicios de 3º Mecánica analítica y de los medios continuos: Relacion-1-Resuelta.pdf
ejercicios
-
Mecánica Analítica
He publicado nuevos ejercicios de 3º Mecánica analítica y de los medios continuos: Mecánica Analítica
apuntes
-
Apuntes Relaciones Resueltas
He publicado nuevos apuntes de 3º Mecánica analítica y de los medios continuos: Apuntes Relaciones Resueltas
apuntes
-
Material
He publicado nuevos apuntes de 3º Mecánica analítica y de los medios continuos: Material
examenes
-
Algunos exámenes
He publicado nuevos examenes de 3º Mecánica analítica y de los medios continuos: Algunos exámenes
He publicado nuevos ejercicios de 3º Mecánica analítica y de los medios continuos: Ejercicios-examenes-resueltos.pdf
ejercicios
-
Relaciones de ejercicios resueltas
He publicado nuevos ejercicios de 3º Mecánica analítica y de los medios continuos: Relaciones de ejercicios resueltas
¡Estás al día!
Has visto todos los archivos