Todo
Apuntes
Ejercicios
Exámenes
chevron_left
chevron_right

apuntes

-

Recursos para Pilotar Mecánica Analítica

He publicado nuevos apuntes de 3º Mecánica Analítica: Recursos para Pilotar Mecánica Analítica

1.1. Mecanica Lagrangiana.pdf.pdf
1.2.-Mecanica-Lagrangiana.pdf

He publicado nuevos apuntes de 3º Mecánica Analítica: Formulario-Analitica-PEI-1.pdf

1 página

examenes

-

Recopilación de PEI 2 Con Solución

He publicado nuevos examenes de 3º Mecánica Analítica: Recopilación de PEI 2 Con Solución

PEI-2-2024-25.pdf
PEI-2-2022-23.pdf
Anónimo

@Anónimo

He publicado nuevos ejercicios de 3º Mecánica Analítica: Prueba-clase.pdf

2 páginas
Anónimo

@Anónimo

He publicado nuevos examenes de 3º Mecánica Analítica: PEI2-24-25solucion.pdf

15 páginas
Anónimo

@Anónimo

He publicado nuevos examenes de 3º Mecánica Analítica: PEI2-22-23solucion.pdf

12 páginas

apuntes

-

Exámenes estevez

He publicado nuevos apuntes de 3º Mecánica Analítica: Exámenes estevez

1.2-Prueba-previa-al-PEI1-Con-solucion.pdf
2.2-PEI1-Enunciado-con-solucion.pdf
2.2-PEI1-Resolucion.pdf
2.3-PEI1-Enunciado-Con-solucion.pdf
3.2-PEI2-Enunciado-2024.pdf
3.2-PEI2-Resolucion.pdf

He publicado nuevos apuntes de 3º Mecánica Analítica: Mecanica-analitica-COMPLETO-a-ordenador.pdf

11 páginas

apuntes

-

Mecánica Analítica

Teoría y ejercicios paso a paso

Apuntes Parcial 1 Mecánica Analítica.pdf
Apuntes Parcial 2 Mecánica Analítica.pdf

apuntes

-

Apuntes de clase

He publicado nuevos apuntes de 3º Mecánica Analítica: Apuntes de clase

Temas-1-y-2-Introduccion-y-ligaduras.pdf
Tema-3.1-Mec.-Lagrangiana-Caso-general.pdf
Tema-3.2-Mec.-Lagrangiana-Fuerza-conservativa.pdf
Tema-3.3-Mec.-Lagrangiana-Potencial-generalizado-sin-acabar.pdf

apuntes

-

Curso MAn - Apuntes y Exámenes

He publicado nuevos apuntes de 3º Mecánica Analítica: Curso MAn - Apuntes y Exámenes

MAn-TeoriaP1P2.pdf
MAn-ExamenesP1.pdf
MAn-ExamenesP2.pdf

He publicado nuevos apuntes de 3º Mecánica Analítica: Primer-parcial.pdf

7 páginas

He publicado nuevos apuntes de 3º Mecánica Analítica

https://payhip.com/b/A8GMU

He publicado nuevos apuntes de 3º Mecánica Analítica: formulario-parcial-2.pdf

14 páginas

He publicado nuevos apuntes de 3º Mecánica Analítica: formulario-parcial-1.pdf

4 páginas

apuntes

-

apuntes tablet completos con ejercicios

He publicado nuevos apuntes de 3º Mecánica Analítica: apuntes tablet completos con ejercicios

apuntes 1º parcial mec analitica
apuntes 2º parcial mec analitica
Anónimo

@Anónimo

He publicado nuevos apuntes de 3º Mecánica Analítica: MecanicaAnaliticaSanzSanchez.pdf

61 páginas

apuntes

-

Curso 2020/21 (Teoría + Exámenes)

He publicado nuevos apuntes de 3º Mecánica Analítica: Curso 2020/21 (Teoría + Exámenes)

MAn-Examenes-P2.pdf
MAn-Examenes-P1.pdf
MAn-Teoria.pdf

He publicado nuevos examenes de 3º Mecánica Analítica: 2opJunio17.pdf

2 páginas

He publicado nuevos apuntes de 3º Mecánica Analítica: formulario-Hamiltoniana.pdf

2 páginas

apuntes

-

Formularios Hamiltoniana

He publicado nuevos apuntes de 3º Mecánica Analítica: Formularios Hamiltoniana

Ecuaciones-De-Hamilton.pdf
Hamilton-Jacobi.pdf

apuntes

-

Formularios Lagrangiana

He publicado nuevos apuntes de 3º Mecánica Analítica: Formularios Lagrangiana

Introduccion-a-las-ecuaciones.pdf
E.pdf
Solido-Rigido.pdf
Teorema-de-Noether.pdf

apuntes

-

HAMILTONIANA Resúmenes y exámenes

He publicado nuevos apuntes de 3º Mecánica Analítica: HAMILTONIANA Resúmenes y exámenes

Examenes-Hamiltoniana.pdf
Temas-4567-resumenes.pdf

apuntes

-

LAGRANGIANA Resumenes y ejs del libro

He publicado nuevos apuntes de 3º Mecánica Analítica: LAGRANGIANA Resumenes y ejs del libro

Tema-1-resumenesejs.pdf
Tema-3-resumenesejs.pdf
Tema-2-resumenesejs.pdf

He publicado nuevos examenes de 3º Mecánica Analítica: Hamilton.pdf

14 páginas

Apuntes limpios de clase.

5 páginas

He publicado nuevos examenes de 3º Mecánica Analítica: Examenes.pdf

14 páginas

examenes

-

Exámenes Lagrange resueltos a mano

He publicado nuevos examenes de 3º Mecánica Analítica: Exámenes Lagrange resueltos a mano

Parcial-2018-2019-Lagrange.pdf
Parcial-2019-2020-Lagrange-resuelto.pdf
Parcial-2013-Lagrange.pdf

He publicado nuevos examenes de 3º Mecánica Analítica: Hamiltoniana2Parcial2019.pdf

4 páginas

examenes

-

Segundo Parcial Hamilton

He publicado nuevos examenes de 3º Mecánica Analítica: Segundo Parcial Hamilton

Junio-2018-Hamiltoniana.pdf
Parcial-Hamiltoniana-171218.pdf
Ejercicio-1-de-clase.pdf
ResumenFormulario-segundo-parcial.pdf
Junio-2017-Hamiltoniana.pdf
Ejercicio-2-de-clase.pdf

Prepare your anus

2 páginas

He publicado nuevos examenes de 3º Mecánica Analítica: parcial-Lagrange-2019-2020.pdf

9 páginas

He publicado nuevos apuntes de 3º Mecánica Analítica: NuevoDocumento-2019-10-22-21.pdf

6 páginas

He publicado nuevos apuntes de 3º Mecánica Analítica: Lagrangiana-diapositivas.pdf

87 páginas

He publicado nuevos apuntes de 3º Mecánica Analítica: Resumen de la Teoría.pdf

9 páginas

Enunciado, solución y explicación a mano del examen extraordinario de la parte de Hamiltoniana del curso 16/17

6 páginas

Enunciado, solución y explicación a mano del examen final de mecánica Hamiltoniana del curso 18/19

7 páginas

Enunciado, solución y explicación a mano del examen extraordinario de mecanica Hamiltoniana del curso 17/18

8 páginas
Anónimo

@Anónimo

examenes

-

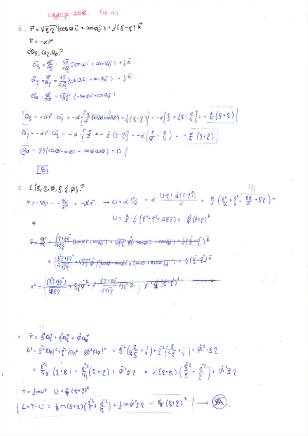
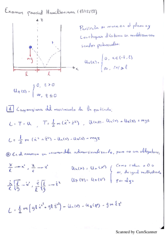
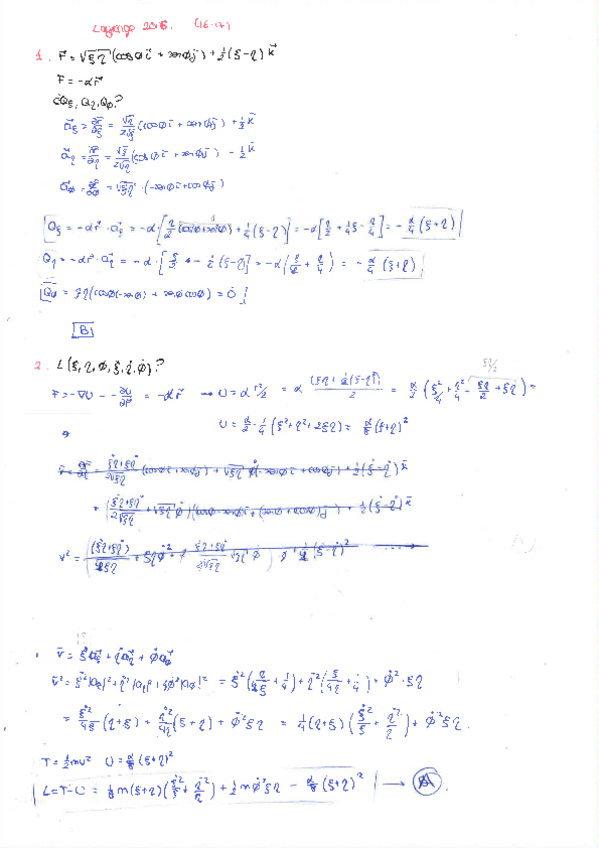
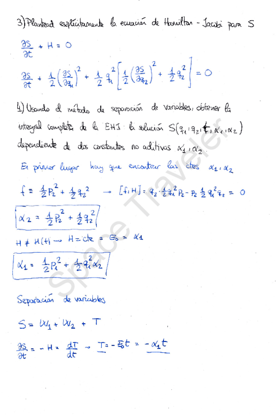
Problema Hamiltoniana (17/12/18)

He publicado nuevos examenes de 3º Mecánica Analítica: Problema Hamiltoniana (17/12/18)

Problema Hamiltoniana (17-12-18).pdf
Hamiltoniana_17-12-18_2.jpeg
Hamiltoniana_17-12-18_1.jpeg

He publicado nuevos examenes de 3º Mecánica Analítica: 0023_001.pdf

2 páginas

He publicado nuevos examenes de 3º Mecánica Analítica: Examen Hamilton.pdf

5 páginas

Todos los exámenes disponibles resueltos a mano paso a paso con explicaciones y matices

19 páginas

Teoría de Hamilton desarrollada y explicada con mis palabras

14 páginas

Enunciado, solución y explicación a mano del examen de la parte de mecánica lagrangiana del curso 18/19

9 páginas

examenes

-

Examenes resueltos a mano 2016-17-18-13

He publicado nuevos examenes de 3º Mecánica Analítica: Examenes resueltos a mano 2016-17-18-13

Lagrange 2018 resuelto.pdf
Lagrange 2016-2013-2017 resueltos.pdf

Ejercicio desarrollado que demuestra las ecuaciones de Lagrange en esféricas

3 páginas

Recopilación de 6 exámenes desarrollados (sin fecha de cuando fueron)

20 páginas

He publicado nuevos examenes de 3º Mecánica Analítica: NuevoDocumento 2018-10-30 16.45.50.pdf

3 páginas

examenes

-

Examen 2013 (Lagrangiana)

Examen con resolución a mano

Examen Enero 2013.pdf
Foto_examen.jpg

apuntes

-

Principio de Hamilton y calculo variacional BIEN EXPLICADO

He publicado nuevos apuntes de 3º Mecánica Analítica: Principio de Hamilton y calculo variacional BIEN EXPLICADO

https://www.youtube.com/watch?v=xt3uFThTxUE&list=PLC88B799299DD4FDB
https://www.youtube.com/watch?v=-lHBs1fXtdE&list=PLC88B799299DD4FDB&index=2
https://www.youtube.com/watch?v=r-BuwHxiogg&index=3&list=PLC88B799299DD4FDB

He publicado nuevos apuntes de 3º Mecánica Analítica: FM03Tema1.pdf

40 páginas

He publicado nuevos apuntes de 3º Mecánica Analítica: FormulacionHamiltoniana.pdf

8 páginas

examenes

-

Examen parcial 2017/2018 - Lagrange

He publicado nuevos examenes de 3º Mecánica Analítica: Examen parcial 2017/2018 - Lagrange

2017-18 Lagrange (1).jpeg
2017-18 Lagrange (2).jpeg

He publicado nuevos examenes de 3º Mecánica Analítica: Resolución Lagrangiana enero 2013.pdf

5 páginas

He publicado nuevos apuntes de 3º Mecánica Analítica: Esquema Lagrangiana.pdf

2 páginas

examenes

-

Examen Extraordinario 2016-2017

Con Solución

Lagrangiana extraordinario.pdf
Hamiltoniana extraordinario.pdf

examenes

-

Examen Ordinario 2016-2017

Con Solución

Lagrangiana 2017.pdf
Hamiltoniana 2017.pdf

examenes

-

Examen enero 2013

He publicado nuevos examenes de 3º Mecánica Analítica: Examen enero 2013

Lagrangiana final.jpg
Hamiltoniana final.jpg

examenes

-

Examenes Parciales 2015

He publicado nuevos examenes de 3º Mecánica Analítica: Examenes Parciales 2015

Lagrangiana parcial1.jpg
Lagrangiana parcial2.jpg
Hamiltoniana1.jpg
Hamiltoniana2.jpg

apuntes

-

Transparencias Teoría

He publicado nuevos apuntes de 3º Mecánica Analítica: Transparencias Teoría

H0.pdf
H1.pdf
L0.pdf
L01.pdf
L1.pdf
L2.pdf