Mecánica Clásica

Todo
Apuntes
Ejercicios
Exámenes
Otros
Prácticas
publication
Trabajos
chevron_left
chevron_right

Teoría del tema 5 de Mecánica clásica

30 páginas

Teoría del T4 de Mecánica Clásica

61 páginas

Teoría del T3 de Mecánica Clásica

58 páginas

He publicado nuevos apuntes de 2º Mecánica Clásica: Formulariomecanica.pdf

1 página

Ejercicios de mecánica hechos en clase del tema 2 (el problema de los cuerpos)

7 páginas
Anónimo

@Anónimo

Apuntes para el Midterm de Fernando, explicado de manera simple pero con contenidos avanzados, para llegar fácilmente al 10

21 páginas

Ejercicios resueltos del primer tema de mecánica clásica (mecánica Newtoniana)

12 páginas

He publicado nuevos ejercicios de 2º Mecánica Clásica: ejercicios-tema-1.pdf

16 páginas

He publicado nuevos ejercicios de 2º Mecánica Clásica: Problemas-hoja-2.pdf

5 páginas

He publicado nuevos apuntes de 2º Mecánica Clásica: Formulario-1-Mecanica.pdf

2 páginas

He publicado nuevos ejercicios de 2º Mecánica Clásica: Ej-Tema-1.pdf

11 páginas

He publicado nuevos apuntes de 2º Mecánica Clásica: Tema-3.pdf

8 páginas

Apuntes del tema 2 de mecánica clásica sobre el teorema de lso dos cuerpos y clasificación orbital

14 páginas

He publicado nuevos apuntes de 2º Mecánica Clásica: apuntes-tema-2.pdf

6 páginas

He publicado nuevos apuntes de 2º Mecánica Clásica: Tema-4-El-problema-de-los-dos-cuerpos-Mecanica.pdf

9 páginas

He publicado nuevos apuntes de 2º Mecánica Clásica: Tema-3.5-Mecanica-hamiltoniana.pdf.pdf.pdf

2 páginas

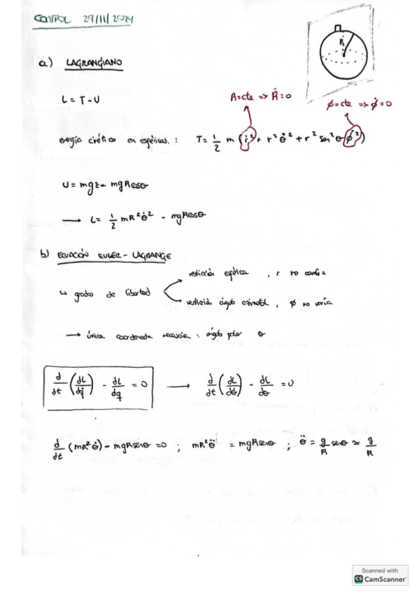
He publicado nuevos examenes de 2º Mecánica Clásica: MecanicaControl29112024.pdf

1 página

He publicado nuevos ejercicios de 2º Mecánica Clásica: Problemas-Tema-1-Mecanica-Newtoniana.pdf

8 páginas

He publicado nuevos apuntes de 2º Mecánica Clásica: Tema-3-Mecanica.pdf

14 páginas

Deducción de los sistemas de coordenadas

3 páginas

Apuntes del tema 1 de mecánica clásica: mecánica newtoniana

22 páginas

He publicado nuevos examenes de 2º Mecánica Clásica: formulario-Mecanica-Clasica.pdf

2 páginas

He publicado nuevos apuntes de 2º Mecánica Clásica: Apuntes-Tema-1-Fundamentos-de-la-mecanica-Newtoniana.pdf

7 páginas

He publicado nuevos apuntes de 2º Mecánica Clásica: Tema-2..pdf

6 páginas

He publicado nuevos apuntes de 2º Mecánica Clásica: Tema-1..pdf

5 páginas

He publicado nuevos apuntes de 2º Mecánica Clásica: tema-2-Mecanica-clasica.pdf

7 páginas

He publicado nuevos apuntes de 2º Mecánica Clásica: tema-1-mecanica-clasica.pdf

9 páginas

Teoría del Tema 2 de Mecánica Clásica

29 páginas

Apuntes del tema 1 de mecánica clásica, sobre los fundamentos de la mecánica newtoniana.

10 páginas

Teoría del Tema 1 de Mecánica clásica

33 páginas

He publicado nuevos ejercicios de 2º Mecánica Clásica: ProblemasTema3MecClasica.pdf

9 páginas

He publicado nuevos ejercicios de 2º Mecánica Clásica: ProblemasTema2MecClasica.pdf

4 páginas

He publicado nuevos ejercicios de 2º Mecánica Clásica: ProblemasTema1MecClasica.pdf

17 páginas

He publicado nuevos ejercicios de 2º Mecánica Clásica: Ejercicios-y-examenes-mecanica-clasica.pdf

18 páginas

He publicado nuevos apuntes de 2º Mecánica Clásica: Formulario-mecanuca-clasica.pdf

2 páginas

He publicado nuevos examenes de 2º Mecánica Clásica: mecanica-clasica-examenes-resueltos.pdf

28 páginas

Ayuda!

He vuelto a suspender mecánica clásica! Esta es la segunda vez. ¿alguien conoce algún profesor/academia que me pueda ayudar para preparar el final de junio?

He publicado nuevos apuntes de 2º Mecánica Clásica: Mecanica-Clasica.pdf

154 páginas

He publicado nuevos examenes de 2º Mecánica Clásica: Final-resuelto-Luis-Manuel-2023.pdf

10 páginas

He publicado nuevos examenes de 2º Mecánica Clásica: FinalAC-Luis-Manuel-2024.pdf

8 páginas

He publicado nuevos apuntes de 2º Mecánica Clásica: Mecanica-Clasica.pdf

2 páginas

He publicado nuevos apuntes de 2º Mecánica Clásica: lagrangianos-resumen-y-ejemplos.pdf

10 páginas

He publicado nuevos apuntes de 2º Mecánica Clásica: TEMA-3-y-4-Mecanica-Lagrangiana-y-Hamil.pdf

25 páginas

apuntes

-

Ejercicios Mecánica Clásica Luis Manuel

He publicado nuevos apuntes de 2º Mecánica Clásica: Ejercicios Mecánica Clásica Luis Manuel

Hoja-2.-Problema-de-los-2-cuerpos..pdf
Hoja-1.-Mecanica-Newtoniana.pdf

He publicado nuevos apuntes de 2º Mecánica Clásica: TEMA-2.-Problema-de-dos-cuerpos.pdf

4 páginas

He publicado nuevos apuntes de 2º Mecánica Clásica: Formulario-mecanica-clasica.pdf

4 páginas

He publicado nuevos apuntes de 2º Mecánica Clásica: TEMA-1.Mecanica-Newtoniana.pdf

7 páginas

apuntes

-

Mecánica Clásica. Apuntes septiembre

He publicado nuevos apuntes de 2º Mecánica Clásica: Mecánica Clásica. Apuntes septiembre

Mecanica-Clasica.-Apuntes-septiembre-clase.pdf

examenes

-

EXAMENES Con Solución

He publicado nuevos examenes de 2º Mecánica Clásica: EXAMENES Con Solución

Enero-2020.pdf
Enero-2024.pdf
Febrero-2021.pdf
Julio-2021c.pdf
Junio-2023.pdf
Junio-2024.pdf

He publicado nuevos apuntes de 2º Mecánica Clásica: Mecanicaclasica-apuntes.pdf

23 páginas

examenes

-

EXÁMENES RESUELTOS

He publicado nuevos examenes de 2º Mecánica Clásica: EXÁMENES RESUELTOS

Examen-Enero-2024.pdf
Examen-Enero-2020.pdf
Examen-Febrero-2021.pdf
Examen-Julio-2021.pdf
Examen-Junio-2023.pdf
Examen-Septiembre-2020.pdf

apuntes

-

Apuntes completos mecánica clásica

He publicado nuevos apuntes de 2º Mecánica Clásica: Apuntes completos mecánica clásica

tema-1sistema-de-coordenadas-ortogonlescinematica-parte1.pdf
formalismo-lagrangiano-de-la-mecanica-clasica.pdf
tema-1sistema-de-coordenadas-ortogonlescinematica-parte2.pdf
Problema-de-2-cuerpos-en-mecanica-newtoniana.pdf

He publicado nuevos examenes de 2º Mecánica Clásica: FormularioMEC-CLASICA-2022.pdf

2 páginas

He publicado nuevos examenes de 2º Mecánica Clásica: Examenes-resueltos-anos-anterioresMEC-CLASICA-2022.pdf

14 páginas

He publicado nuevos apuntes de 2º Mecánica Clásica: Apuntes-completosMEC-CLASICA-2022.pdf

73 páginas

He publicado nuevos ejercicios de 2º Mecánica Clásica: Ejercicios-de-los-boletinesMEC-CLASICA-2022.pdf

107 páginas

He publicado nuevos apuntes de 2º Mecánica Clásica: CAMBIOS-DE-COORDENADAS.pdf

1 página

He publicado nuevos apuntes de 2º Mecánica Clásica: Formulario-Completo.pdf

2 páginas

He publicado nuevos ejercicios de 2º Mecánica Clásica: Ejercicios-resueltos-Macia.pdf

52 páginas

apuntes

-

Apuntes por temas MC (2023-24)

He publicado nuevos apuntes de 2º Mecánica Clásica: Apuntes por temas MC (2023-24)

T1-Mecanica-newtoniana.pdf
T2-Sistemas-no-inerciales.pdf
T3-Campos-centrales.pdf
T4-Mecanica-lagrangiana-y-hamiltoniana.pdf