Mecánica Cuántica I

chevron_left
chevron_right
Todo
Apuntes
Ejercicios
Exámenes
chevron_left
chevron_right

Formulario para el examen final. Grupo de tardes

4 páginas

He publicado nuevos apuntes de 3º Mecánica Cuántica I: Giga-Formulario-Resumen-cuantica.pdf

3 páginas

apuntes

-

Apuntes Completos Cúantica 1

Resúmenes hechos a partir de las clases y los apuntes del profesor

MC1TEMA1Historia.pdf
MC1TEMA2MatrixMechanics.pdf
MC1TEMA3HamiltonianoDinamicacuantica.pdf
MC1-TEMA-4-Representacion-de-Coordenadas-y-Momento.pdf
MC1-TEMA-5-Schrodingers-Wave-Equation-.pdf
MC1-TEMA-6-Oscilador-armonico.pdf

He publicado nuevos examenes de 3º Mecánica Cuántica I: Compilacion-de-examenes.pdf

36 páginas

Formulario para el primer parcial

2 páginas

apuntes

-

Hojas MC1 mañanas

Hojas resueltas por un alumno, algunos corregidos en clase

H0res.pdf
H1res.pdf
H2res.pdf
H3res.pdf
H4res.pdf
H5res.pdf
Anónimo

@Anónimo

apuntes

-

Exámenes MC1

Exámenes resueltos por un alumno, podrían contener errores

2015J.pdf
2016E.pdf
2016J.pdf
2017J.pdf
2018E.pdf
2018J.pdf

ejercicios

-

Hojas problemas resueltas COMPLETAS

He publicado nuevos ejercicios de 3º Mecánica Cuántica I: Hojas problemas resueltas COMPLETAS

MC1.-Hoja-4-resuelta-problemas.pdf
MC1.-Hoja-3-resuelta-problemas.pdf
MC1.-Hoja-2-resuelta-problemas.pdf
MC1.-Hoja-1-resuelta-problemas.pdf
MC1.-Hoja-5a-resuelta-problemas.pdf
MC1.-Hoja-5b-resuelta-problemas.pdf

He publicado nuevos examenes de 3º Mecánica Cuántica I: Fomulario-completo-MC1.pdf

8 páginas
Anónimo

@Anónimo

He publicado nuevos examenes de 3º Mecánica Cuántica I: MC1.-Examen-parcial-nov-2024.pdf

1 página
Anónimo

@Anónimo

He publicado nuevos examenes de 3º Mecánica Cuántica I: MC1.-Examen-ordinaria-enero-2025.pdf

1 página

He publicado nuevos apuntes de 3º Mecánica Cuántica I: Apuntes-resumidos-COMPLETOS-MC1.pdf

39 páginas

He publicado nuevos ejercicios de 3º Mecánica Cuántica I: Hoja4Asterisco.pdf

8 páginas

No todo tiene corrección y hay ejercicios que no sé al 100% si están bien, aparte de posibles errores de cálculo.

2 páginas

No todo tiene corrección y hay ejercicios que no sé al 100% si están bien, aparte de posibles errores de cálculo.

3 páginas

No todo tiene corrección y hay ejercicios que no sé al 100% si están bien, aparte de posibles errores de cálculo.

3 páginas

No todo tiene corrección y hay ejercicios que no sé al 100% si están bien, aparte de posibles errores de cálculo.

2 páginas

No todo tiene corrección y hay ejercicios que no sé al 100% si están bien, aparte de posibles errores de cálculo.

3 páginas

No todo tiene corrección y hay ejercicios que no sé al 100% si están bien, aparte de posibles errores de cálculo.

2 páginas

No todo tiene corrección y hay ejercicios que no sé al 100% si están bien, aparte de posibles errores de cálculo.

3 páginas

No todo tiene corrección y hay ejercicios que no sé al 100% si están bien, aparte de posibles errores de cálculo.

3 páginas

Hoja 5

4 páginas

He publicado nuevos ejercicios de 3º Mecánica Cuántica I: HOJA5Estadosligados.pdf

13 páginas

He publicado nuevos ejercicios de 3º Mecánica Cuántica I: HOJA6osciladorarmonicocuantico.pdf

9 páginas

Ejercicios Hoja 4 Sin Asterisco. En el ejercicio 12, para el valor esperado de B solo hay que multiplicar sin más. <B>=b(1/4+cos(Et/hbar)/sqrt2.

4 páginas

Ejercicios Hoja 3 Con Asterisco

10 páginas

Ejercicios Hoja 3 Sin Asterisco

7 páginas

He publicado nuevos apuntes de 3º Mecánica Cuántica I: Tomate-un-descanso-y-disfruta-1.pdf

19 páginas

He publicado nuevos apuntes de 3º Mecánica Cuántica I: Tomate-un-descanso-y-disfruta-2.pdf

17 páginas

ejercicios

-

Ejercicios Resueltos Cuantica I - AIM

He publicado nuevos ejercicios de 3º Mecánica Cuántica I: Ejercicios Resueltos Cuantica I - AIM

Ejercicios-Propuestos-Resueltos-AIM.pdf
Hoja-0-Resuelta-Cuantica-I-AIM.pdf
Hoja-2-Resuelta-Cuantica-I-AIM.pdf
Hoja-3-Resuelta-Cuantica-I-AIM.pdf
Hoja-4-Resuelta-Cuantica-I-AIM.pdf
Hoja-5-Resuelta-Cuantica-I-AIM.pdf

He publicado nuevos apuntes de 3º Mecánica Cuántica I: Apuntes-Cuantica-I-AIM.pdf

137 páginas

ejercicios

-

Ejercicios resueltos 23-24

He publicado nuevos ejercicios de 3º Mecánica Cuántica I: Ejercicios resueltos 23-24

H1-radiacion-incertidumbre.pdf
H2-funciones-de-onda.pdf
H3-pozos-y-barreras-de-potencial.pdf
H4-Sistemas-cuanticos.pdf
H5-Oscilador-Armonico-Cuantico.pdf

apuntes

-

MC1_Ejercicios

He publicado nuevos apuntes de 3º Mecánica Cuántica I: MC1_Ejercicios

Cuantica1-ProblemasHoja1.pdf
Cuantica1-ProblemasHoja2.pdf
Cuantica1-ProblemasHoja3.pdf
Cuantica1-ProblemasHoja4.pdf
Cuantica1-ProblemasHoja5.pdf
Cuantica1-ProblemasHoja6.pdf

apuntes

-

Resúmenes de teoría

He publicado nuevos apuntes de 3º Mecánica Cuántica I: Resúmenes de teoría

T.4-Postulados-de-la-MC.pdf
T.3-Formalismo-de-Dirac.pdf
T.5-Oscilador-armonico.pdf

apuntes

-

MCI 22-23 (Trocóniz)

He publicado nuevos apuntes de 3º Mecánica Cuántica I: MCI 22-23 (Trocóniz)

MCI Apuntes 1 - Introduccion.pdf
MCI Apuntes 2 - Mecanica ondulatoria.pdf
MCI Apuntes 3 - Formalismo de Dirac.pdf
MCI Apuntes 4 - Postulados.pdf
MCI Apuntes 5 - Aplicacion postulados.pdf
MCI Apuntes 6 - Oscilador armonico cuantico.pdf

ejercicios

-

MC1 (22-23)

He publicado nuevos ejercicios de 3º Mecánica Cuántica I: MC1 (22-23)

Ejercicios.pdf

ejercicios

-

Ejercicios Resueltos

He publicado nuevos ejercicios de 3º Mecánica Cuántica I: Ejercicios Resueltos

Cuantica-1-Hoja-3.pdf
Cuantica-1-Hoja-2.pdf

apuntes

-

Apuntes a mano 2020-2021

He publicado nuevos apuntes de 3º Mecánica Cuántica I: Apuntes a mano 2020-2021

Apuntes-Bloque-2-MCI.pdf
Apuntes-Bloque-1-MCI.pdf
Apuntes-Bloque-3-MCI.pdf
Apuntes-Bloque-4-MCI.pdf
Apuntes-Bloque-5-MCI.pdf
Anónimo

@Anónimo

apuntes

-

Notas MC1 2020

He publicado nuevos apuntes de 3º Mecánica Cuántica I: Notas MC1 2020

QMMatrixMechanics-2.pdf
QMQuantumdynamicsTheHamiltonian.pdf
Tema1-Hechos-historicos-en-el-desarrollo-de-la-Mecanica-Cuantica.pdf
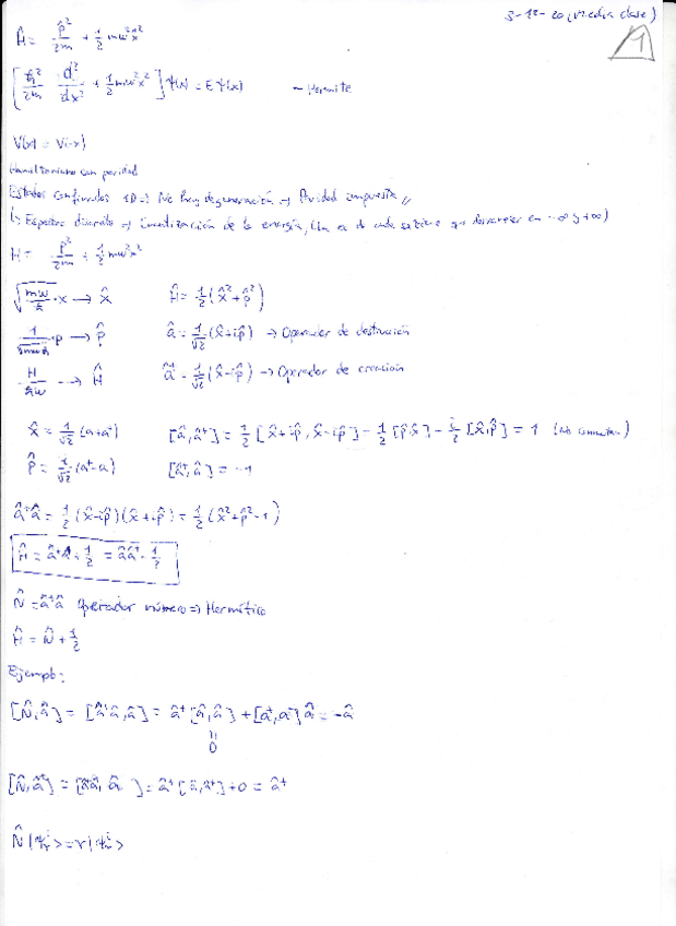
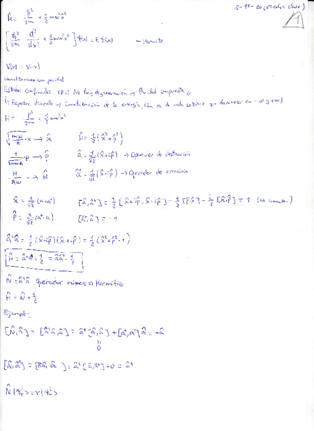
QMTheharmonicoscillator-2.pdf
QMCoordinaterepresentationandwavefunctions-1.pdf
QMSolutionofSchrdingerequationinsimplecases-5.pdf

He publicado nuevos apuntes de 3º Mecánica Cuántica I: PRACTICA-COMPUTACION-CUANTICA.pdf

8 páginas
Anónimo

@Anónimo

examenes

-

Exámenes

He publicado nuevos examenes de 3º Mecánica Cuántica I: Exámenes

IMG5834.jpg
IMG5831.jpg
IMG5832.jpg
IMG5826.jpg
IMG5829.jpg
IMG5833.jpg
Anónimo

@Anónimo

examenes

-

Exámenes

He publicado nuevos examenes de 3º Mecánica Cuántica I: Exámenes

IMG5816.jpg
IMG5821.jpg
IMG5819.jpg
IMG5815.jpg
IMG5813.jpg
IMG5817.jpg
¡Estás al día!

¡Estás al día!

Has visto todos los archivos