Mecánica Cuántica

chevron_left
chevron_right
Todo
Apuntes
Ejercicios
Exámenes
chevron_left
chevron_right
Anónimo

@Anónimo

examenes

-

Exámenes 25-26

He publicado nuevos examenes de 4º Mecánica Cuántica: Exámenes 25-26

Solucion-extraordinario.pdf
Examen-extraordinario-25-26.pdf
Solucion-ordinario.pdf
Examen-ordinario-25-26.pdf

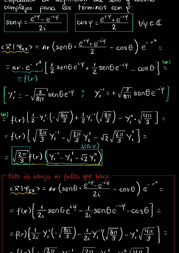
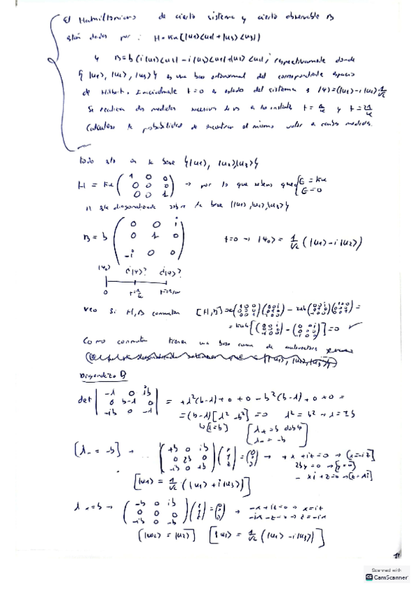
He publicado nuevos ejercicios de 4º Mecánica Cuántica: Ejercicio-entrega-1.pdf

15 páginas

He publicado nuevos ejercicios de 4º Mecánica Cuántica: Ejercicio-entrega-2.pdf

7 páginas

He publicado nuevos ejercicios de 4º Mecánica Cuántica: Ejercicio-entrega-3.pdf

13 páginas

He publicado nuevos ejercicios de 4º Mecánica Cuántica: Ejercicio-entrega-5.pdf

7 páginas

Esta es la teoria que yo lleve al examen, esta todo practicamente y aunque no se usa mucho el formulario, si hay que usarlo por lo que sea, esto sirve

5 páginas

ejercicios

-

Entregables 25-26

Todos tienen un 10, menos el 4 que tiene un 9

entrega-5.pdf
entrega-4.pdf
entrega-3.pdf
entrega-2.pdf
entrega-1.pdf

apuntes

-

RESÚMENES M.CUÁNTICA

He publicado nuevos apuntes de 4º Mecánica Cuántica: RESÚMENES M.CUÁNTICA

Resumen-Tema-1.pdf
Resumen-Tema-2.pdf
Resumen-Tema-3.pdf
Resumen-Tema-4.pdf
Resumen-Tema-5.pdf
Resumen-Tema-6.pdf
Anónimo

@Anónimo

Resumen de teoría. Son las páginas que en mi año llevé al examen, no sé si otros años dejarán traerlas, igualmente pueden servir. ¡Suerte!

5 páginas

apuntes

-

Apuntes Mecanica Cuantica

He publicado nuevos apuntes de 4º Mecánica Cuántica: Apuntes Mecanica Cuantica

Tema-1-Postulados.pdf
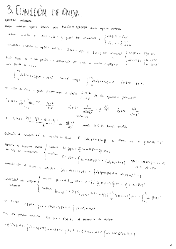
Tema-2-La-funcion-de-onda.pdf
Tema-3-Momento-angular.pdf
Tema-4-Simetrias.pdf
Tema-5-Sistemas-de-particulas-identicas.pdf
Tema-6-Teoria-de-perturbaciones.pdf

ejercicios

-

EjerciciosResueltos

He publicado nuevos ejercicios de 4º Mecánica Cuántica: EjerciciosResueltos

ExFundQM240104115209.pdf
ExPerturbationTheory240105185339.pdf
ExScatteringTheory240115220751.pdf
ExSymmetries240104184058.pdf

ejercicios

-

Entregas de mecánica cuántica

He publicado nuevos ejercicios de 4º Mecánica Cuántica: Entregas de mecánica cuántica

Problema-De-Entrega-7.pdf
Problema-De-Entrega-1.pdf
Problema-De-Entrega-2.pdf
Problema-De-Entrega-6.pdf
Problema-De-Entrega-5.pdf
Problema-De-Entrega-3.pdf

ejercicios

-

Todas las relaciones de Mecánica Cuántica

He publicado nuevos ejercicios de 4º Mecánica Cuántica: Todas las relaciones de Mecánica Cuántica

Relacion-7.pdf
Relacion-4.pdf
Relacion-1.pdf
Relacion-3.pdf
Relacion-2.pdf
Relacion-6.pdf
Anónimo

@Anónimo

He publicado nuevos examenes de 4º Mecánica Cuántica: Ordinario-2025.pdf

1 página

apuntes

-

Entregables 24-25 (todos tienen un 10)

He publicado nuevos apuntes de 4º Mecánica Cuántica: Entregables 24-25 (todos tienen un 10)

Entregable1MC-2.pdf
Entregable2MC.pdf
Entregable3MC-2.pdf
Entregable4MC-1.pdf
Entregable6MC.pdf
Entregable7MC-2.pdf

He publicado nuevos examenes de 4º Mecánica Cuántica: Ordinario2024-2025Resuelto.pdf

9 páginas

ejercicios

-

relaciones 2024/2025

He publicado nuevos ejercicios de 4º Mecánica Cuántica: relaciones 2024/2025

hoja-7.pdf
hoja-4.pdf
hoja-1.pdf
hoja-6.pdf
hoja-3.pdf
hoja-5.pdf

apuntes

-

entregas 2024/2025

He publicado nuevos apuntes de 4º Mecánica Cuántica: entregas 2024/2025

entrega-7.pdf
entrega-5.pdf
entrega-6.pdf
entrega-2.pdf
entrega-3.pdf
entregar-4.pdf

ejercicios

-

Ejercicios propuestos 2024-2025

He publicado nuevos ejercicios de 4º Mecánica Cuántica: Ejercicios propuestos 2024-2025

Entrega-1.pdf
Entrega-2.pdf
Entrega-3.pdf
Entrega-4.pdf
Entrega-5.pdf
Entrega-6.pdf

ejercicios

-

Ejercicios 2024-2025

He publicado nuevos ejercicios de 4º Mecánica Cuántica: Ejercicios 2024-2025

Relacion-1-MC.pdf
Relacion-2-MC.pdf
Relacion-3-MC.pdf
Relacion-4-MC.pdf
Relacion-5-MC.pdf
Relacion-6-MC.pdf

ejercicios

-

MEKANIKA KUANTIKA (24/25)

He publicado nuevos ejercicios de 4º Mecánica Cuántica: MEKANIKA KUANTIKA (24/25)

FUNDAMENTOS.pdf
RELACION-II.pdf
RELACION-III.pdf
SIMETRIAS.pdf
PERTURVACIONES.pdf
PARTIKULAS-IDENTIKAS.pdf

ejercicios

-

Ejercicios Propuestos

He publicado nuevos ejercicios de 4º Mecánica Cuántica: Ejercicios Propuestos

Ejs-Propuestos-MQ-Tema-2.pdf
Miniatura no disponible
Ejs-Propuestos-MQ-Tema-3.pdf
Ejs-Propuestos-MQ-Tema-4.pdf

apuntes

-

Apuntes (2024-2025)

He publicado nuevos apuntes de 4º Mecánica Cuántica: Apuntes (2024-2025)

Tema-1-Mecanica-Cuantica.pdf
Tema-3-Mecanica-Cuantica.pdf
Tema-2-Mecanica-Cuantica.pdf
Tema-4-Mecanica-Cuantica.pdf
Tema-5-Mecanica-Cuantica.pdf
Tema-6-Mecanica-Cuantica.pdf

apuntes

-

Lecture Notes

He publicado nuevos apuntes de 4º Mecánica Cuántica: Lecture Notes

1-Fundamentals-of-Quantum-Mechanics.pdf
2-Composite-systems.pdf
3-Symmetries.pdf
4-Perturbation-Theory.pdf
5-Scattering-theory.pdf

ejercicios

-

Ejercicios Propuestos 2024-2025

He publicado nuevos ejercicios de 4º Mecánica Cuántica: Ejercicios Propuestos 2024-2025

Entrega-1.pdf
Entrega-3.pdf
Entrega-2.pdf
Entrega-4.pdf

Como pone al final del documento, yo también entrego el ejercicio, así que de encontrar algún error, agradecería que se me notificara :)

6 páginas

examenes

-

Ejercicios exámenes

He publicado nuevos examenes de 4º Mecánica Cuántica: Ejercicios exámenes

Ejer-1.pdf
Ejer-2.pdf
Ejer-3.pdf
Ejer-4.pdf
Ejer-5.pdf
Ejer-6.pdf

He publicado nuevos examenes de 4º Mecánica Cuántica: Ordinaria2023-2024.pdf

1 página

He publicado nuevos examenes de 4º Mecánica Cuántica: ordinario24.pdf

5 páginas

He publicado nuevos ejercicios de 4º Mecánica Cuántica: RelacionesResueltas1-7.pdf

90 páginas

He publicado nuevos apuntes de 4º Mecánica Cuántica: Ejercicios-Examen-Clase.pdf

16 páginas

apuntes

-

Relaciones Resueltas

He publicado nuevos apuntes de 4º Mecánica Cuántica: Relaciones Resueltas

QM1.pdf
QM2.pdf
QM3.pdf
QM4.pdf
QM5.pdf
QM6.pdf

He publicado nuevos examenes de 4º Mecánica Cuántica: Examen-ordinario-2020-21-perfecto-para-repasar-.pdf

7 páginas

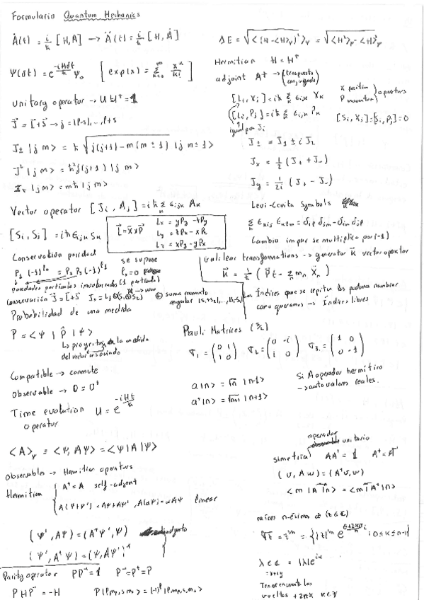
He publicado nuevos apuntes de 4º Mecánica Cuántica: Formulario.pdf

4 páginas

He publicado nuevos examenes de 4º Mecánica Cuántica: Examen-ordinario-2022-23-resuelto.pdf

9 páginas

He publicado nuevos apuntes de 4º Mecánica Cuántica: Formulario-Para-El-Examen.pdf

4 páginas

examenes

-

Exámenes resueltos

He publicado nuevos examenes de 4º Mecánica Cuántica: Exámenes resueltos

Examen-2023.pdf
Examen-2020.pdf
Examen-2023-Convocatoria-Especial.pdf
Examen-2020-otro-grupo.pdf
Examen-2002.pdf
Ejercicios-de-Examen-De-QM-Parte-1.pdf

He publicado nuevos apuntes de 4º Mecánica Cuántica: Apuntes-Mecanica-Cuantica.pdf

105 páginas

He publicado nuevos apuntes de 4º Mecánica Cuántica: Relacion-7.pdf

12 páginas

ejercicios

-

Relaciones resueltas

He publicado nuevos ejercicios de 4º Mecánica Cuántica: Relaciones resueltas

Relacion-6.-Teoria-de-perturbaciones.pdf
Relacion-5.-Particulas-identicas.pdf
Relacion-4.-Simetrias-y-leyes-de-conservacion.pdf
Relacion-3.-Momento-angular-y-estados-entrelazados.pdf
Relacion-2.-La-funcion-de-onda.pdf
Relacion-1.-Postulados-de-la-mecanica-cuantica.pdf

apuntes

-

Apuntes Masip

He publicado nuevos apuntes de 4º Mecánica Cuántica: Apuntes Masip

Tema-1.pdf
Tema-2-Masip.pdf
Tema-3-Masip.pdf
Tema-5-Limpio.pdf
Tema-4-Limpio.pdf
Tema-6-Limpio.pdf

He publicado nuevos apuntes de 4º Mecánica Cuántica: Relacion-6.pdf

13 páginas

He publicado nuevos apuntes de 4º Mecánica Cuántica: Relacion-5.pdf

11 páginas

He publicado nuevos apuntes de 4º Mecánica Cuántica: Relacion-4.pdf

5 páginas

He publicado nuevos apuntes de 4º Mecánica Cuántica: Relacion-3.pdf

12 páginas

ejercicios

-

curso MQ

Teoría y problemas de Mecanica Cuantica

Funcion-de-onda.pdf
Relacion-01-y-extras.pdf
Relacion-momento-angular-y-simetrias.pdf
Simetrias.pdf
Teoria-perturbaciones.pdf
Teoria-sacattering.pdf

Todos los apuntes del año y ejercicios 22/23

128 páginas

He publicado nuevos apuntes de 4º Mecánica Cuántica: Relacion-2.pdf

12 páginas

ejercicios

-

Relaciones resueltas 23/24

He publicado nuevos ejercicios de 4º Mecánica Cuántica: Relaciones resueltas 23/24

Relacion1.pdf
Relacion2.pdf
Relacion3.pdf

examenes

-

Exámenes Resueltos

Puede ser que haya errores, sobre todo en el online, espero que os sirvan de ayuda :)

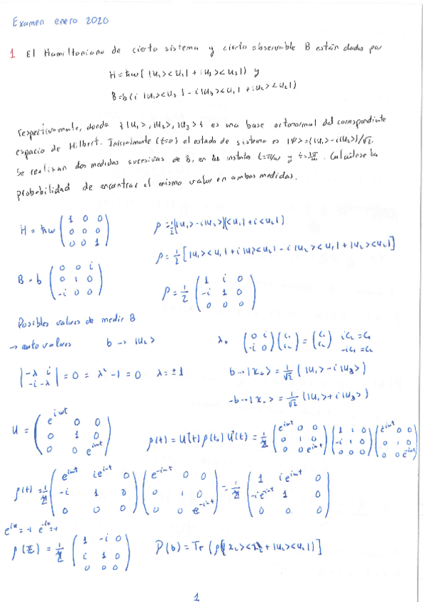
Examen-Enero-2023.pdf
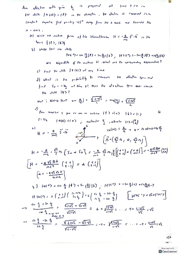
Examen-1-Enero-2020.pdf
Examen-2-Enero-2020-online.pdf
Anónimo

@Anónimo

He publicado nuevos examenes de 4º Mecánica Cuántica: examen-2023-resuelto.pdf

8 páginas
Anónimo

@Anónimo

He publicado nuevos apuntes de 4º Mecánica Cuántica: formulario-QM.pdf

4 páginas

He publicado nuevos ejercicios de 4º Mecánica Cuántica: Relacion-1.-Postulados-de-la-Mecanica-Cuantica.pdf

24 páginas