Mecánica Cuántica

chevron_left
chevron_right
Todo
Apuntes
Ejercicios
Exámenes
publication
Test
chevron_left
chevron_right

Ejercicios de Boletin + Examenes resueltos; Grupo de Inglés

70 páginas

ejercicios

-

Boletines resueltos

He publicado nuevos ejercicios de 4º Mecánica Cuántica: Boletines resueltos

Exercises-2.pdf
Exercises-7.pdf
Exercises-4.pdf
Exercises-1.pdf
Exercises-6.pdf
Exercises-3.pdf

apuntes

-

Apuntes grupo 1

He publicado nuevos apuntes de 4º Mecánica Cuántica: Apuntes grupo 1

Tema-1251218140200.pdf
Tema-2251024095419.pdf
Tema-3251216200544.pdf
Tema-4251216173659.pdf
Tema-6251218140429.pdf

ejercicios

-

Problemas resueltos grupo 1

He publicado nuevos ejercicios de 4º Mecánica Cuántica: Problemas resueltos grupo 1

Boletin-2251027192922.pdf
Boletin-1251027191342.pdf
Problemas-tema-2clase251024095406.pdf
Problemas-tema-1clase251019120739.pdf
Boletin-5251218135731-1.pdf
Boletin-4251218101401.pdf

apuntes

-

Apuntes Mecánica Cuántica

He publicado nuevos apuntes de 4º Mecánica Cuántica: Apuntes Mecánica Cuántica

Topic-1.-Basic-Concepts.pdf
Topic-2.-Harmonic-Oscillator-and-Angular-Momentum.pdf
Topic-3.-Approximate-Methods.pdf
Topic-4.-Identical-particles-second-quantization-and-light-matter-interaction.pdf
Topic-5.-Modern-aspects-of-Quantum-Mechanics.pdf

apuntes

-

Apuntes de la asignatura

He publicado nuevos apuntes de 4º Mecánica Cuántica: Apuntes de la asignatura

1.-Fundamentos-matematicos.pdf
2.-POSTULADOS-DE-LA-MECANICA-CUANTICA.pdf
3.-SIMETRIAS-Y-SUS-CONSECUENCIAS.pdf
4.-MOMENTO-ANGULAR.pdf

prueba intermedia de temas 1 y 2 de Mecánica Cuántica. Curso 25/26. Grupo: 2 Profesora: Maribel

2 páginas

He publicado nuevos apuntes de 4º Mecánica Cuántica: Formulario-QM.pdf

3 páginas

apuntes

-

Apuntes Maribel 24-25

He publicado nuevos apuntes de 4º Mecánica Cuántica: Apuntes Maribel 24-25

Tema-1-Fundamentos-Matematicos241004093802-2.pdf
Tema-2-Postulados-de-la-Mecanica-Cuantica-241022174340-3.pdf
Tema-3-Simetrias-y-sus-consecuencias-241113095623.pdf
Tema-4-Momento-angular250910135510.pdf
Tema-6-Metodos-aproximados250910135529.pdf

examenes

-

Examenes 24/25

He publicado nuevos examenes de 4º Mecánica Cuántica: Examenes 24/25

Control120242025.pdf
Control220242025.pdf
Primeraconv2025.pdf

He publicado nuevos ejercicios de 4º Mecánica Cuántica: Boletines-resueltos-QM.pdf

44 páginas

He publicado nuevos apuntes de 4º Mecánica Cuántica: Apuntes-completos-QM.pdf

81 páginas

He publicado nuevos apuntes de 4º Mecánica Cuántica: Prefinal-Mecanica-Cuantica.pdf

1 página

He publicado nuevos examenes de 4º Mecánica Cuántica: Exámenes Parciales Mecánica Cuántica Resueltos.pdf

10 páginas

He publicado nuevos apuntes de 4º Mecánica Cuántica: Sakurai-SolutionsManual.pdf

112 páginas

He publicado nuevos apuntes de 4º Mecánica Cuántica: 6-12-Resumen-e-ideas-importates.pdf

12 páginas

examenes

-

EXÁMENES RESUELTOS

He publicado nuevos examenes de 4º Mecánica Cuántica: EXÁMENES RESUELTOS

examen-final-feb-21.pdf
prueba-intermedia-2021.pdf
prueba-prefinal-2021.pdf

ejercicios

-

BOLETINES

He publicado nuevos ejercicios de 4º Mecánica Cuántica: BOLETINES

EXERCISES-2.pdf
EXERCISES-1.pdf
EXERCISES-3.pdf
EXERCISES-6.pdf
EXERCISES-5.pdf
EXERCISES-7.pdf

ejercicios

-

BOLETINES RESUELTOS

He publicado nuevos ejercicios de 4º Mecánica Cuántica: BOLETINES RESUELTOS

Boletin-2.pdf
Boletin-1.pdf
Boletin-5.pdf
Boletin-3.pdf
Boletin-4.pdf

ejercicios

-

Ejercicios inglés

He publicado nuevos ejercicios de 4º Mecánica Cuántica: Ejercicios inglés

BOLETIN6.pdf
BOLETIN1.pdf
BOLETIN3.pdf
BOLETIN5.pdf
BOLETIN71.pdf
BOLETIN4.pdf

apuntes

-

TEORÍA PIZARRA (MARIA ISABEL)

He publicado nuevos apuntes de 4º Mecánica Cuántica: TEORÍA PIZARRA (MARIA ISABEL)

T1.-Fundamentos-Matematicos.pdf
T2.-Postulados-de-la-Mecanica-Cuantica.pdf
T3.-Simetrias-y-sus-consecuencias.pdf
T6.-Metodos-Aproximados.pdf
T4.-Momento-Angular.pdf

He publicado nuevos ejercicios de 4º Mecánica Cuántica: Bol1resueltocasado.pdf

17 páginas

He publicado nuevos apuntes de 4º Mecánica Cuántica: Ejercicios-de-examenes230927172027.pdf

20 páginas

He publicado nuevos apuntes de 4º Mecánica Cuántica: Formulario-e-importante-de-teoria231004115854.pdf

4 páginas

He publicado nuevos apuntes de 4º Mecánica Cuántica: Prefinal-2021-Bis230924184618.pdf

4 páginas

He publicado nuevos apuntes de 4º Mecánica Cuántica: Todos-los-boletines230925190026.pdf

8 páginas

He publicado nuevos examenes de 4º Mecánica Cuántica: Prueba-prefinal-2022.pdf

4 páginas

He publicado nuevos examenes de 4º Mecánica Cuántica: Examen-prueba-2022.pdf

8 páginas

He publicado nuevos examenes de 4º Mecánica Cuántica: Coleccion-ejercicios-de-examenes.pdf

19 páginas

He publicado nuevos apuntes de 4º Mecánica Cuántica: Ejercicios-teoricos.pdf

11 páginas

He publicado nuevos apuntes de 4º Mecánica Cuántica: Teoria-prados-maribel.pdf

10 páginas

apuntes

-

Apuntes mar i bel primeira semana

He publicado nuevos apuntes de 4º Mecánica Cuántica: Apuntes mar i bel primeira semana

MC-semana-1.pdf

He publicado nuevos examenes de 4º Mecánica Cuántica: Segundaconv2023.pdf

2 páginas

He publicado nuevos examenes de 4º Mecánica Cuántica: Primeraconv2023.pdf

2 páginas

He publicado nuevos examenes de 4º Mecánica Cuántica: Control220222023.pdf

1 página

He publicado nuevos examenes de 4º Mecánica Cuántica: Control120222023.pdf

1 página

He publicado nuevos apuntes de 4º Mecánica Cuántica: primercontrol202223casado.pdf

4 páginas

He publicado nuevos apuntes de 4º Mecánica Cuántica: segundocontrol2022323casado.pdf

3 páginas

He publicado nuevos apuntes de 4º Mecánica Cuántica: teoriamccasadoresumen.pdf

6 páginas

He publicado nuevos examenes de 4º Mecánica Cuántica: Ejercicios-de-examen-II.pdf

7 páginas

He publicado nuevos apuntes de 4º Mecánica Cuántica: Ejercicios-de-examen.pdf

10 páginas

He publicado nuevos apuntes de 4º Mecánica Cuántica: Demostraciones-de-todos-los-temas.pdf

7 páginas

He publicado nuevos apuntes de 4º Mecánica Cuántica: Boletin-3-resueltomc.pdf

4 páginas

ejercicios

-

EJERCICIOS RESUELTOS

He publicado nuevos ejercicios de 4º Mecánica Cuántica: EJERCICIOS RESUELTOS

RESUELTO-BOLETIN-1-MC.pdf
RESUELTO-BOLETIN-2-MC.pdf
RESUELTO-BOLETIN-3-MC.pdf
RESUELTO-BOLETIN-4-MC.pdf
RESUELTO-BOLETIN-5-MC.pdf
RESUELTO-BOLETIN-6-MC.pdf

He publicado nuevos apuntes de 4º Mecánica Cuántica: Boletin-tema-2-resueltomc-prados.pdf

5 páginas

He publicado nuevos ejercicios de 4º Mecánica Cuántica: Boletin-1-resueltosmc-prados.pdf

5 páginas

apuntes

-

QM exams 21-22

He publicado nuevos apuntes de 4º Mecánica Cuántica: QM exams 21-22

QM-FirstPartialExam-21-22.pdf
QM-ThirdPartialExam-21-22.pdf
QM-SecondPartialExam-21-22.pdf

ejercicios

-

BOLETINES PRADOS

He publicado nuevos ejercicios de 4º Mecánica Cuántica: BOLETINES PRADOS

boletin2meccuant.pdf
BOLETIN-3-MECANICA-CUANTICA.pdf

Nota 10. Primer parcial hecho y corregido por el profesor.

5 páginas

He publicado nuevos examenes de 4º Mecánica Cuántica: Prueba-Resuelta.pdf

9 páginas

He publicado nuevos examenes de 4º Mecánica Cuántica: Prefinal.pdf

15 páginas

He publicado nuevos examenes de 4º Mecánica Cuántica: Soluciones-prueba-intermedia1819.pdf

11 páginas

He publicado nuevos examenes de 4º Mecánica Cuántica: Solucionesexamenene1819.pdf

19 páginas

He publicado nuevos examenes de 4º Mecánica Cuántica: Soluciones-prueba-escrita-26-11-2019.pdf

13 páginas

He publicado nuevos examenes de 4º Mecánica Cuántica: Soluciones-prefinal-17-01-2020.pdf

13 páginas

He publicado nuevos examenes de 4º Mecánica Cuántica: Soluciones-examen-oficial-enero-29-01-2020.pdf

18 páginas

He publicado nuevos examenes de 4º Mecánica Cuántica: Soluciones-examen-convocatoria-de-diciembre.pdf

10 páginas

He publicado nuevos examenes de 4º Mecánica Cuántica: pruebaprefinal1819soluciones.pdf

12 páginas

He publicado nuevos examenes de 4º Mecánica Cuántica: Prefinal-2021.pdf

15 páginas

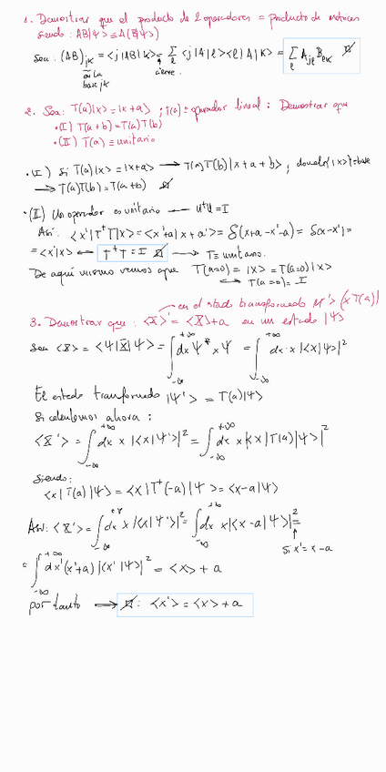
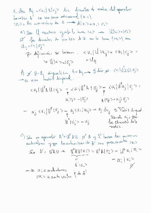
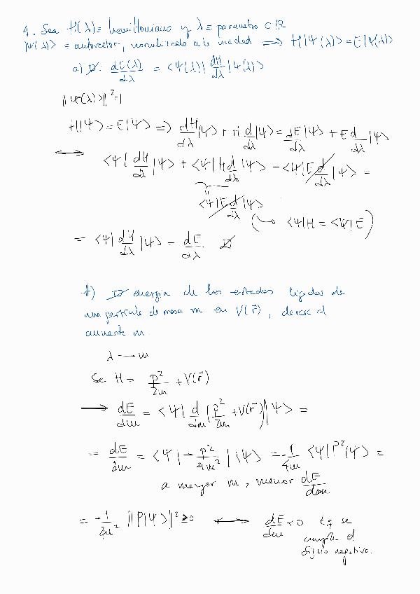
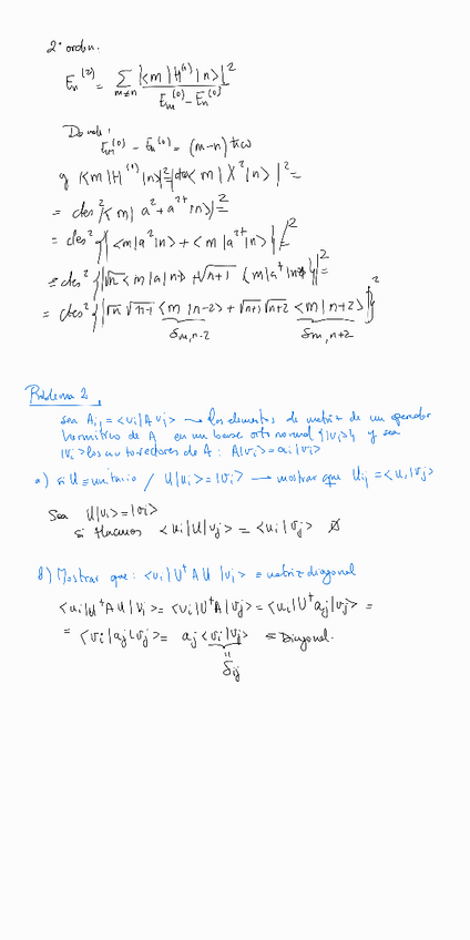
Son ejercicios de la USAL, pero sirven para repasar MC

32 páginas