Mecanica de Estructuras
Todo
Exámenes
chevron_left
chevron_right
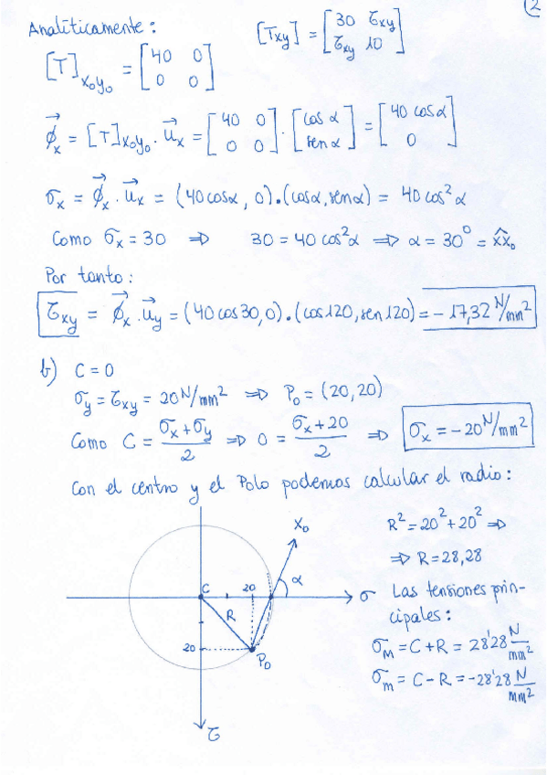
El PDF muestra la solución del examen realizado en septiembre de 2006, correspondientes a los temas 8 y 9 (elasticidad) de la asignatura de MECÁNICA DE ESTRUCTURAS)
El PDF muestra la solución del examen realizado en septiembre de 2006, correspondientes a los temas 8 y 9 (elasticidad) de la asignatura de MECÁNICA DE ESTRUCTURAS)