Anónimo
Problemas-cinematica.pdf
2 páginas
Apuntes - TEORIA.pdf
pdf
45 páginas
90
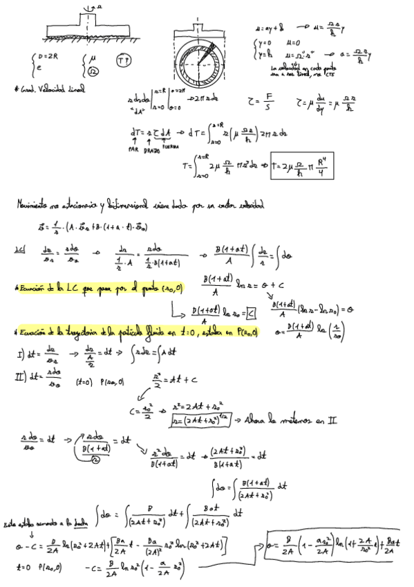
2
Exámenes - ProblemaBifurcacion.pdf
3 páginas
56
1
Apuntes - RESUMEN-DE-TEORIA.pdf
15 páginas
75
Exámenes - ENTREGABLE-RESUELTO.pdf
35 páginas
81
0
Exámenes - EXAMENES-AÑOS-ANTERIORES-2o-PARCIAL.pdf
78
Apuntes - Ejercicios-Fluidos-Parte-II.pdf
27 páginas
52
Exámenes - EntregableProblemas.pdf
71
Ejercicios - PROBLEMAS-RESUELTOS-FLUIDOESTATICA.pdf
10 páginas
69
Apuntes - Tipo-Test.pdf
12 páginas
62
Apuntes - problemas-resueltos-fluidos.PDF-1-1.pdf
33 páginas
64
Ejercicios - PROBLEMAS-RESUELTOS-EN-CLASE--PRIMER-PARCIAL.pdf
36 páginas
54
Exámenes - TEORIA-EXAMENES-FLUIDOS.pdf
7 páginas
55
Apuntes - Teoria-Fluidos.pdf
13 páginas
63
Apuntes - RESUMEN-MECANICA-DE-FLUIDOS-PRIMER-PARCIAL.pdf
0 páginas
61
Exámenes - EXAMEN-2425-PRIMER-PARCIAL.pdf
60
Apuntes - Resumen-del-libro.pdf
17 páginas
49
Exámenes - ProbExamenCompuertaCilindrica.pdf
45
Apuntes - Preguntas-Antonio.pdf
44
Exámenes - examebesfluidos.pdf
39 páginas
Exámenes - ProbExamenCohete.pdf
5 páginas