chevron_left
chevron_right
Todo
Apuntes
Ejercicios
Exámenes
Otros
Prácticas
chevron_left
chevron_right

apuntes

-

todo lo necesario primer parcial fluidos

Son un esquema breve con fórmulas y pasos a seguir y todos los problemas hechos en clase de los temas que entraron en el primer parcial, del 1 al 4. Estan todos explicados y hechos paso a paso.

esquema-fluidos-primer-parcial.pdf
Ejercicicios-tema-1-3-primer-parcial-fluidos.pdf
ejercicios-tema-4-primer-parcial-fluidos.pdf

He publicado nuevos apuntes de 2º Mecánica de Fluidos: Ejercicios-de-clase-1er-parcial.pdf

8 páginas

He publicado nuevos apuntes de 2º Mecánica de Fluidos: Resumen-1-parcial.pdf

1 página

ejercicios

-

Ejercicios resueltos y explicados

He publicado nuevos ejercicios de 2º Mecánica de Fluidos: Ejercicios resueltos y explicados

Conservacion-de-la-masa.pdf
Fluidoestatica.pdf
Cantidad-de-movimiento.pdf

He publicado nuevos apuntes de 2º Mecánica de Fluidos: Apuntes-clase-hasta-el-dia-27022026.pdf

18 páginas

Apuntes de clase

11 páginas

He publicado nuevos apuntes de 2º Mecánica de Fluidos: PreguntasTeoriaMF.pdf

13 páginas

He publicado nuevos apuntes de 2º Mecánica de Fluidos: Apuntes-MF-1.pdf

63 páginas

He publicado nuevos apuntes de 2º Mecánica de Fluidos: Practicas-Fluidos.pdf

3 páginas

He publicado nuevos apuntes de 2º Mecánica de Fluidos: Gases.pdf

2 páginas

He publicado nuevos apuntes de 2º Mecánica de Fluidos: Ejercicios-Viscosidad-Dominante.pdf

5 páginas

He publicado nuevos apuntes de 2º Mecánica de Fluidos: Ejercicios-Turbulento.pdf

6 páginas

He publicado nuevos apuntes de 2º Mecánica de Fluidos: Ejercicios-Gases.pdf

3 páginas

He publicado nuevos apuntes de 2º Mecánica de Fluidos: Ejercicios-Fluidostatica.pdf

5 páginas

He publicado nuevos apuntes de 2º Mecánica de Fluidos: Ejercicios-de-Examen.pdf

10 páginas

He publicado nuevos apuntes de 2º Mecánica de Fluidos: Teorias-Fluidos.pdf

13 páginas

He publicado nuevos apuntes de 2º Mecánica de Fluidos: RESUMEN.pdf

6 páginas

He publicado nuevos apuntes de 2º Mecánica de Fluidos: Problemas-de-Examen.pdf

22 páginas

He publicado nuevos apuntes de 2º Mecánica de Fluidos: 2017-Junio-Teoria-WLA.pdf

2 páginas

He publicado nuevos apuntes de 2º Mecánica de Fluidos: 2017-Junio-Teoria-S-WLA.pdf

4 páginas

He publicado nuevos apuntes de 2º Mecánica de Fluidos: 2017-Junio-Problemas-WLA.pdf

2 páginas

He publicado nuevos apuntes de 2º Mecánica de Fluidos: 2016-Septiembre-WLA.pdf

3 páginas

He publicado nuevos apuntes de 2º Mecánica de Fluidos: 2016-Noviembre-Problemas-WLA.pdf

2 páginas

He publicado nuevos apuntes de 2º Mecánica de Fluidos: 2016-Noviembre-Teoria-WLA.pdf

2 páginas

He publicado nuevos apuntes de 2º Mecánica de Fluidos: 2015-Junio-Teoria-S-WLA.pdf

4 páginas

He publicado nuevos apuntes de 2º Mecánica de Fluidos: 10.-Movimientos-Compresibles-de-Gases-en-Toberas-Convergentes-y-en-Depositos.pdf

2 páginas

He publicado nuevos apuntes de 2º Mecánica de Fluidos: 2014-Septiembre-Teoria-S-WLA.pdf

3 páginas

He publicado nuevos apuntes de 2º Mecánica de Fluidos: 09.-Movimiento-Turbulento-de-Liquidos-en-Conductos.pdf

3 páginas

He publicado nuevos apuntes de 2º Mecánica de Fluidos: 07.-Movimientos-Unidireccionales-de-Liquidos.pdf

3 páginas

He publicado nuevos apuntes de 2º Mecánica de Fluidos: 08.-Movimientos-Casi-Unidireccionales-de-Liquidos-Dominados-por-Viscosidad.pdf

4 páginas

He publicado nuevos apuntes de 2º Mecánica de Fluidos: 06.-Analisis-Dimensional.pdf

2 páginas

He publicado nuevos apuntes de 2º Mecánica de Fluidos: 05.-Ecuacion-de-Cantidad-de-Movimiento-Incluyendo-los-Esfuerzos-Viscosos.pdf

3 páginas

He publicado nuevos apuntes de 2º Mecánica de Fluidos: 03.-Ecuacion-de-Continuidad.pdf

1 página

He publicado nuevos apuntes de 2º Mecánica de Fluidos: 04.-Ecuacion-de-Cantidad-de-Movimiento-Despreciando-los-Esfuerzos-Viscosos.pdf

1 página

He publicado nuevos apuntes de 2º Mecánica de Fluidos: 02.-Fluidoestatica.pdf

1 página

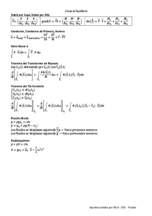
He publicado nuevos apuntes de 2º Mecánica de Fluidos: 0.-Cosas-Al-Equilibrio.pdf

2 páginas

He publicado nuevos apuntes de 2º Mecánica de Fluidos: 01.-Nociones-Basicas.-Hipotesis-del-Medio-Continuo-y-Magnitudes-Intensivas.pdf

2 páginas

He publicado nuevos apuntes de 2º Mecánica de Fluidos: Ejercicios-Conservacion-de-Cantidad-de-Movimiento.pdf

5 páginas

apuntes

-

APUNTES DE CLASE

He publicado nuevos apuntes de 2º Mecánica de Fluidos: APUNTES DE CLASE

APUNTES-DE-MECANICA-DE-FLUIDOS-4.pdf
APUNTES-DE-MECANICA-DE-FLUIDOS-5.pdf
APUNTES-DE-MECANICA-DE-FLUIDOS-6.pdf
APUNTES-DE-MECANICA-DE-FLUIDOS-1.pdf
APUNTES-DE-MECANICA-DE-FLUIDOS-2.pdf
APUNTES-DE-MECANICA-DE-FLUIDOS-3.pdf

Pregunta 20 de la parte 1

2 páginas

Parte 1

3 páginas

Parte 1

11 páginas

He publicado nuevos apuntes de 2º Mecánica de Fluidos: Teoria-examen.pdf

8 páginas

He publicado nuevos apuntes de 2º Mecánica de Fluidos: Formulario-examen.pdf

3 páginas

He publicado nuevos apuntes de 2º Mecánica de Fluidos: resumen.pdf

4 páginas

He publicado nuevos apuntes de 2º Mecánica de Fluidos: Formulario-asignatura-completa.pdf

7 páginas

He publicado nuevos apuntes de 2º Mecánica de Fluidos: Formulario-MF.pdf

2 páginas

He publicado nuevos apuntes de 2º Mecánica de Fluidos: tema-2-mecanica-de-fluidos.pdf

5 páginas

He publicado nuevos apuntes de 2º Mecánica de Fluidos: tema-3-mecanica-de-fluidos.pdf

10 páginas

He publicado nuevos apuntes de 2º Mecánica de Fluidos: tema-6-mecanica-de-fluidos.pdf

7 páginas

He publicado nuevos apuntes de 2º Mecánica de Fluidos: tema-4-mecanica-de-fluidos.pdf

5 páginas

He publicado nuevos apuntes de 2º Mecánica de Fluidos: tema-5-mecanica-de-fluidos.pdf

5 páginas

He publicado nuevos apuntes de 2º Mecánica de Fluidos: preguntas-teoria-mecanica-de-fluidos.pdf

6 páginas

He publicado nuevos apuntes de 2º Mecánica de Fluidos: tema-1-mecanica-de-fluidos.pdf

6 páginas

He publicado nuevos apuntes de 2º Mecánica de Fluidos: EXAMENES-RESUELTOS.pdf

21 páginas

He publicado nuevos apuntes de 2º Mecánica de Fluidos: Apuntes-y-ejercicios-de-examen.pdf

101 páginas

He publicado nuevos ejercicios de 2º Mecánica de Fluidos: Libro-Ejercicios-de-Profesora-clase.pdf

148 páginas

Literalmente

6 páginas

He publicado nuevos apuntes de 2º Mecánica de Fluidos: Formulario-con-anotaciones.pdf

6 páginas

He publicado nuevos apuntes de 2º Mecánica de Fluidos: Problemas-de-clase.pdf

27 páginas