Mecánica de Fluidos
+99
Creadoresejercicios
-
Ejercicios Fluidos
fluyendo
ejercicios
-
Ejercicios resueltos
He publicado nuevos ejercicios de 2º Mecánica de Fluidos: Ejercicios resueltos
He publicado nuevos ejercicios de 2º Mecánica de Fluidos: 4-gaia-Mintegia.pdf
He publicado nuevos apuntes de 2º Mecánica de Fluidos: Resumen-Fluidos.pdf
apuntes
-
fluidos temas 1,2,3
Resumenes de los temas 1, 2 y 3
He publicado nuevos practicas de 2º Mecánica de Fluidos: Resumen-Practicas-Mecflu.pdf
He publicado nuevos apuntes de 2º Mecánica de Fluidos: laburpena-ariketak-egiteko.pdf
He publicado nuevos examenes de 2º Mecánica de Fluidos: 2.-partzialeko-azterketak-eginda.pdf
He publicado nuevos ejercicios de 2º Mecánica de Fluidos: 10-11-gaiak-ariketak.pdf
He publicado nuevos ejercicios de 2º Mecánica de Fluidos: 1-6 gaiak-ariketak.pdf.pdf
He publicado nuevos apuntes de 2º Mecánica de Fluidos: Teoria-Temas-6-7-8.pdf
Algunas demostraciones y explicaciones teóricas importantes de los temas #unidir, #claero y #lubric
He publicado nuevos apuntes de 2º Mecánica de Fluidos: Resumen-capitulo-17-T7.pdf
He publicado nuevos apuntes de 2º Mecánica de Fluidos: Resumen-capitulo-14-T6.pdf
He publicado nuevos apuntes de 2º Mecánica de Fluidos: Resumen-capitulo-15-T6.pdf
examenes
-
IMG-20251211-WA0031
He publicado nuevos examenes de 2º Mecánica de Fluidos: IMG-20251211-WA0031
He publicado nuevos apuntes de 2º Mecánica de Fluidos: ariketak-7-9-gaiak.pdf
examenes
-
EXÁMENES RESUELTOS
He publicado nuevos examenes de 2º Mecánica de Fluidos: EXÁMENES RESUELTOS
He publicado nuevos apuntes de 1º Mecánica de Fluidos: TEMA-4-FLUIDOS-IDEALES-1.pdf
He publicado nuevos apuntes de 1º Mecánica de Fluidos: TEMA-6-mecanica.pdf
He publicado nuevos apuntes de 1º Mecánica de Fluidos: Unidad-I-ESTATICA-DE-FLUIDOS-1.pdf
He publicado nuevos apuntes de 1º Mecánica de Fluidos: Tema-2.-Estatica-de-fluidos-1.pdf
examenes
-
Parcial 1 2025
He publicado nuevos examenes de 2º Mecánica de Fluidos: Parcial 1 2025
Resumen de la asignatura Pt2




Resumen de la asignatura Pt1




He publicado nuevos apuntes de 2º Mecánica de Fluidos: Apuntes-Mecanica-de-Fluidos.pdf
apuntes
-
RESUMEN POR TEMAS
He publicado nuevos apuntes de 2º Mecánica de Fluidos: RESUMEN POR TEMAS
ejercicios
-
EJERCICIOS 2025 POR TEMAS
He publicado nuevos ejercicios de 2º Mecánica de Fluidos: EJERCICIOS 2025 POR TEMAS
ejercicios
-
TODOS LOS EJERCICIOS 2023-2024
He publicado nuevos ejercicios de 2º Mecánica de Fluidos: TODOS LOS EJERCICIOS 2023-2024
ejercicios
-
TODOS LOS EJERCICIOS 2023-2024
He publicado nuevos ejercicios de 2º Mecánica de Fluidos: TODOS LOS EJERCICIOS 2023-2024
ejercicios
-
Problemas Segundo Parcial
He publicado nuevos ejercicios de 2º Mecánica de Fluidos: Problemas Segundo Parcial
ejercicios
-
Problemas Primer Parcial
He publicado nuevos ejercicios de 2º Mecánica de Fluidos: Problemas Primer Parcial
examenes
-
Exámenes Segundo Parcial
He publicado nuevos examenes de 2º Mecánica de Fluidos: Exámenes Segundo Parcial
examenes
-
Exámenes Primer Parcial
He publicado nuevos examenes de 2º Mecánica de Fluidos: Exámenes Primer Parcial
He publicado nuevos apuntes de 2º Mecánica de Fluidos: MECANICA-DE-FLUIDOS-2.pdf
apuntes
-
EJERCICIOS 2025 POR TEMAS
He publicado nuevos apuntes de 2º Mecánica de Fluidos: EJERCICIOS 2025 POR TEMAS
He publicado nuevos ejercicios de 2º Mecánica de Fluidos: Posibles-ejercicios-de-examen-2025.pdf
He publicado nuevos ejercicios de 2º Mecánica de Fluidos: TODOS-LOS-TEMAS-RESUELTOS-2025.pdf.pdf
examenes
-
EXÁMENES 2023-2025
He publicado nuevos examenes de 2º Mecánica de Fluidos: EXÁMENES 2023-2025
apuntes
-
RESUMEN POR TEMAS
He publicado nuevos apuntes de 2º Mecánica de Fluidos: RESUMEN POR TEMAS
examenes
-
2º Parcial Mecánica de Fluidos
He publicado nuevos examenes de 2º Mecánica de Fluidos: 2º Parcial Mecánica de Fluidos
He publicado nuevos apuntes de 2º Mecánica de Fluidos: Teoria-T4-Turbulencia.pdf
He publicado nuevos apuntes de 2º Mecánica de Fluidos: Teoria-Tema-4-Ecuaciones-Fundamentales.pdf
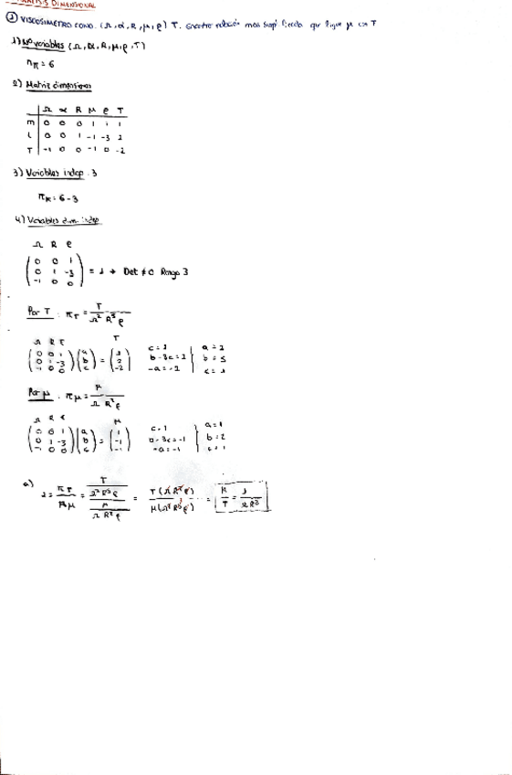
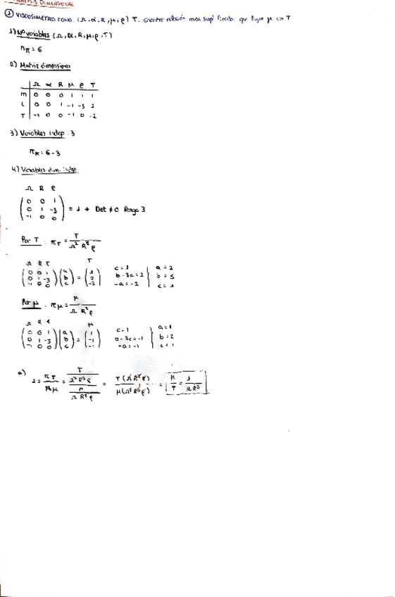
He publicado nuevos apuntes de 2º Mecánica de Fluidos: Teoria-Tema-5-Analisis-Dimensional.pdf
He publicado nuevos ejercicios de 2º Mecánica de Fluidos: VxPCinematica.pdf
