chevron_left
chevron_right
Todo
Apuntes
Ejercicios
Exámenes
chevron_left
chevron_right

Boletines resueltos por academia de Mecánica de fluídos. Los boletines son el 6, 7, 8 y 9 y tienen los enunciados al final del documento.

73 páginas

He publicado nuevos apuntes de 2º Mecánica de Fluidos: MECANICA-DE-FLUIDOS-2.pdf

107 páginas

Boletines de fluidos 1, 2, 3, 4 y 5 resueltos por academia y con el enunciado al final.

83 páginas

He publicado nuevos ejercicios de 2º Mecánica de Fluidos: Ejercicios-fluidos.pdf

60 páginas

He publicado nuevos apuntes de 2º Mecánica de Fluidos: Formulario-fluidos.pdf

12 páginas
Anónimo

@Anónimo

Exámenes de otros años resueltos con anotaciones.

129 páginas

He publicado nuevos examenes de 2º Mecánica de Fluidos: Examen-final-20201221.pdf

2 páginas

He publicado nuevos examenes de 2º Mecánica de Fluidos: Examen-final-20211203.pdf

10 páginas

He publicado nuevos examenes de 2º Mecánica de Fluidos: examen-fluidos-enero-2024.pdf

4 páginas
Anónimo

@Anónimo

He publicado nuevos apuntes de 2º Mecánica de Fluidos: Formulario-fluidos3.pdf

4 páginas
Anónimo

@Anónimo

He publicado nuevos apuntes de 2º Mecánica de Fluidos: Cantidad-de-movimiento-3.pdf

9 páginas
Anónimo

@Anónimo

He publicado nuevos apuntes de 2º Mecánica de Fluidos: Momento-Cinetico.pdf

5 páginas
Anónimo

@Anónimo

He publicado nuevos apuntes de 2º Mecánica de Fluidos: Flujo-Laminar.pdf

13 páginas
Anónimo

@Anónimo

He publicado nuevos apuntes de 2º Mecánica de Fluidos: Cons.-Energia-y-Bernouilli.pdf

12 páginas
Anónimo

@Anónimo

He publicado nuevos apuntes de 2º Mecánica de Fluidos: Analisis-Dimensional.pdf

7 páginas
Anónimo

@Anónimo

He publicado nuevos examenes de 2º Mecánica de Fluidos: MF-08-06-20-quimica.pdf

7 páginas
Anónimo

@Anónimo

He publicado nuevos examenes de 2º Mecánica de Fluidos: MF-8-06-20-mecanica.pdf

19 páginas
Anónimo

@Anónimo

He publicado nuevos examenes de 2º Mecánica de Fluidos: Julio-2020-Secundina.pdf

16 páginas
Anónimo

@Anónimo

He publicado nuevos examenes de 2º Mecánica de Fluidos: MF-organizacion-13-01-2017-2.pdf

8 páginas
Anónimo

@Anónimo

He publicado nuevos examenes de 2º Mecánica de Fluidos: MF-automatica-electronica-quimica-16-05-18.pdf

17 páginas
Anónimo

@Anónimo

He publicado nuevos examenes de 2º Mecánica de Fluidos: MF-20-05-19.pdf

17 páginas
Anónimo

@Anónimo

He publicado nuevos examenes de 2º Mecánica de Fluidos: Enero-2019-organizacion.pdf

12 páginas
Anónimo

@Anónimo

He publicado nuevos examenes de 2º Mecánica de Fluidos: MF-14-05-18.pdf

10 páginas
Anónimo

@Anónimo

He publicado nuevos examenes de 2º Mecánica de Fluidos: Mayo-2014.pdf

4 páginas
Anónimo

@Anónimo

He publicado nuevos examenes de 2º Mecánica de Fluidos: Junio-2013.pdf

12 páginas
Anónimo

@Anónimo

He publicado nuevos examenes de 2º Mecánica de Fluidos: Mayo-2013.pdf

24 páginas
Anónimo

@Anónimo

He publicado nuevos examenes de 2º Mecánica de Fluidos: Julio-2015.pdf

4 páginas
Anónimo

@Anónimo

He publicado nuevos examenes de 2º Mecánica de Fluidos: Julio-2014.pdf

5 páginas

He publicado nuevos apuntes de 2º Mecánica de Fluidos: Apuntes-turbulento-carmolas.pdf

35 páginas

He publicado nuevos apuntes de 2º Mecánica de Fluidos: Apuntes-semejanza-carmolas.pdf

19 páginas

He publicado nuevos apuntes de 2º Mecánica de Fluidos: Apuntes-laminar-carmolas.pdf

29 páginas

He publicado nuevos apuntes de 2º Mecánica de Fluidos: Apuntes-fuerzas-carmolas.pdf

26 páginas

He publicado nuevos apuntes de 2º Mecánica de Fluidos: Apuntes-continuidad-carmolas.pdf

20 páginas

He publicado nuevos apuntes de 2º Mecánica de Fluidos: Apuntes-cinematica-carmolas.pdf

22 páginas

He publicado nuevos apuntes de 2º Mecánica de Fluidos: MFBoletin-4.pdf

7 páginas

He publicado nuevos apuntes de 2º Mecánica de Fluidos: MFBoletin-6.pdf

3 páginas

He publicado nuevos apuntes de 2º Mecánica de Fluidos: MFBoletin-9.pdf

5 páginas

He publicado nuevos apuntes de 2º Mecánica de Fluidos: MFBoletin-1.pdf

2 páginas

He publicado nuevos apuntes de 2º Mecánica de Fluidos: MFBoletin-8.pdf

2 páginas

He publicado nuevos apuntes de 2º Mecánica de Fluidos: MFBoletin-7.pdf

2 páginas

He publicado nuevos apuntes de 2º Mecánica de Fluidos: MFBoletin-5.pdf

1 página

He publicado nuevos apuntes de 2º Mecánica de Fluidos: MFBoletin-2.pdf

2 páginas

He publicado nuevos apuntes de 2º Mecánica de Fluidos: MFBoletin-3.pdf

2 páginas

He publicado nuevos examenes de 2º Mecánica de Fluidos: 20221104-final-fluidos-22.pdf

9 páginas

He publicado nuevos ejercicios de 2º Mecánica de Fluidos: recopilacionejerciciosexamen.pdf

17 páginas

apuntes

-

FLUÍDOS

exámenes

chuletario-fluidos-final.pdf
Examen-Minas-Julio-23.pdf
Anónimo

@Anónimo

He publicado nuevos apuntes de 2º Mecánica de Fluidos: Formulario-General-Mecanica-de-Fluidos.pdf

1 página

Temas completos y sintetizados

9 páginas

Feo pero completo

2 páginas

He publicado nuevos apuntes de 2º Mecánica de Fluidos: FORMULARIO-FLUIDOS.pdf

4 páginas
Anónimo

@Anónimo

apuntes

-

Boletines resueltos

He publicado nuevos apuntes de 2º Mecánica de Fluidos: Boletines resueltos

Boletin-7.pdf
Boletin-9.pdf
Boletin-5.pdf
Boletin-1.pdf
Boletin-6.pdf
Boletin-3.pdf

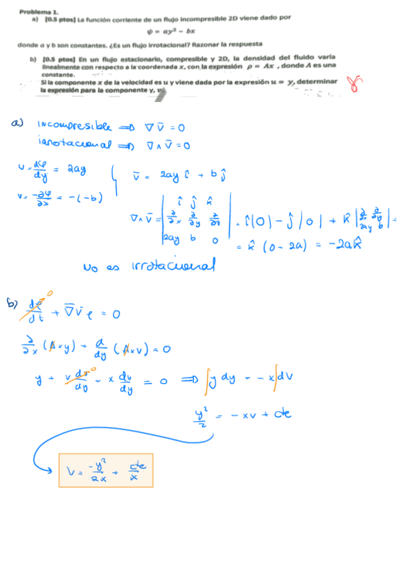
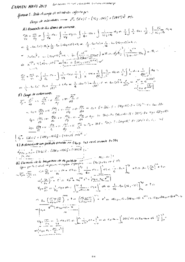
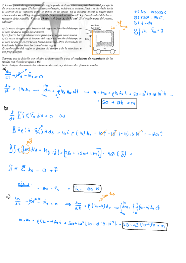
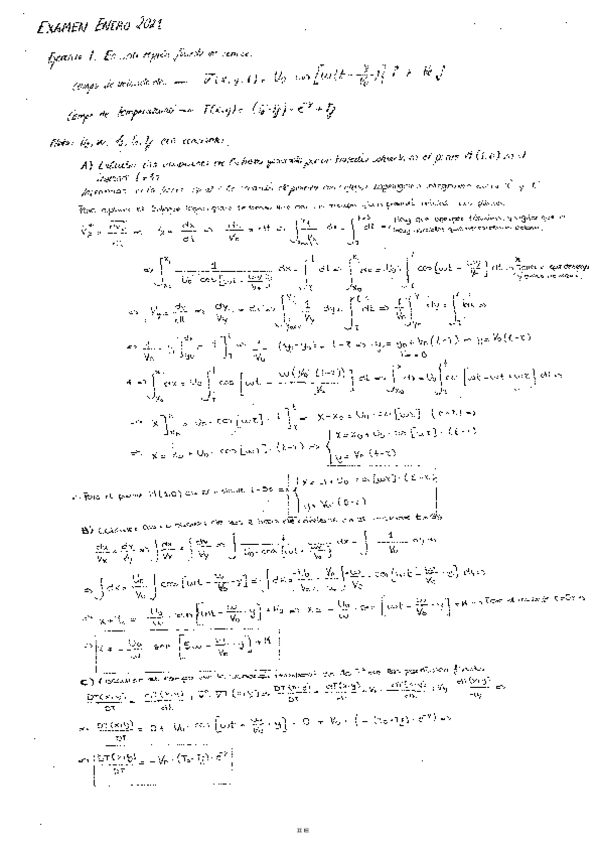
Ejercicio 1 Resuelto Mayo 2021

2 páginas

Examen Resuelto Enero 2021. Profesor: Marcos Conde Fontenla

8 páginas

Segundo Parcial Resuelto (3-12-2021). Profesor: Marcos Conde Fontenla / Jesús Vence Fernández

5 páginas

Primer Parcial Fluidos Resuelto. Profesor: Marcos Conde Fontenla / Jesús Vence Fernández

4 páginas

Matrícula de Honor. Ejercicios Exámenes. Marcos Conde Fontenla

200 páginas

Matrícula de Honor. Formulario Examen Parcial y Final

4 páginas

apuntes

-

Fluidos 21-22

He publicado nuevos apuntes de 2º Mecánica de Fluidos: Fluidos 21-22

Examenes-Fluidos-OI-21-22-.pdf
Boletines-Resueltos.pdf
ENERO-2021-MF.pdf
Primer-Parcial-OI-21-22.pdf
pruebas-tenorio-21-22.pdf
202112032PECresuelto-LAPTOP-3MJTHU93.pdf
¡Estás al día!

¡Estás al día!

Has visto todos los archivos