chevron_left
chevron_right
Todo
Apuntes
Ejercicios
Exámenes
Prácticas
Test
chevron_left
chevron_right

examenes

-

Exámenes Mecánica de Fluidos

Exámenes de años anteriores de Mecánica de Fluidos resueltos en inglés

Exam-Fluid-Mechanics-Midterm-I-24-25.pdf
Exam-Fluid-Mechanics-Midterm-I-23-24.pdf
Exam-Fluid-Mechanics-Midterm-I-22-23.pdf
Exam-Fluid-Mechanics-Midterm-I-21-22.pdf
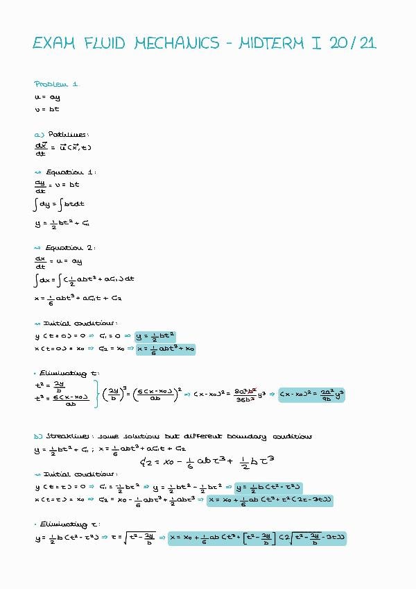
Exam-Fluid-Mechanics-Midterm-I-20-21.pdf

examenes

-

Parcial 1

He publicado nuevos examenes de 2º Mecánica de Fluidos: Parcial 1

2425.pdf
2324.pdf
2223.pdf
2122.pdf
2021.pdf
1920.pdf

apuntes

-

Apuntes Mecánica de Fluidos

Apuntes completos de Mecánica de Fluidos CON DEMOSTRACIONES en inglés

Unit-1-Fluid-properties.pdf
Unit-2-Surface-tension-and-capilarity.pdf
Unit-3-Kinematics-of-fluids.pdf
Unit-4-Conservation-of-mass.pdf
Unit-5-Conservation-of-momentum.pdf
Unit-6-Conservation-of-energy.pdf

Apuntes tema 1.2. en inglés

2 páginas

ejercicios

-

Problemas Mecánica de Fluidos

Problemas de Mecánica de Fluidos de PoliformaT resueltos en inglés

Problems-chapter-2.pdf
Problems-chapter-3.pdf
Problems-chapter-4.pdf
Problems-chapter-5.pdf

apuntes

-

Apuntes fluidos

He publicado nuevos apuntes de 2º Mecánica de Fluidos: Apuntes fluidos

Unit-1-Introduction-To-Fluid-Mechanics.pdf
Unit-2-Equations-of-Motion.pdf

He publicado nuevos apuntes de 2º Mecánica de Fluidos: Nota-mecanica-de-fluidos.xlsx

excel

examenes

-

2º Parcial Mecánica de Fluidos

He publicado nuevos examenes de 2º Mecánica de Fluidos: 2º Parcial Mecánica de Fluidos

Examen-2-2023-24.pdf

ejercicios

-

Lessons - Fluid Mechanics

He publicado nuevos ejercicios de 2º Mecánica de Fluidos: Lessons - Fluid Mechanics

Lesson-01-Viscosity-and-hydrostatics.pdf
Lesson-02-Fluid-Kinematics.pdf
Lesson-03-Reynolds-Transport-Theorem.pdf
Lesson-04-Momentum-Equation.pdf
Lesson-05-Kinetic-Momentum.pdf
Lesson-06-Navier-Stokes.pdf

examenes

-

Exams - Fluid Mechanics

He publicado nuevos examenes de 2º Mecánica de Fluidos: Exams - Fluid Mechanics

Fluid-Mechanics-Exam-2018.1.pdf
Fluid-Mechanics-Exam-2019.1.pdf
Fluid-Mechanics-Exam-2020.1.pdf
Fluid-Mechanics-Exam-2021.1.pdf
Fluid-Mechanics-Exam-2022.1.pdf
Fluid-Mechanics-Exam-2023.1.pdf

apuntes

-

MECANICA DE FLUIDOS

He publicado nuevos apuntes de 2º Mecánica de Fluidos: MECANICA DE FLUIDOS

Ejercicios-Poliformat-1.pdf
Formulario-Primer-Parcial.pdf

He publicado nuevos test de 2º Mecánica de Fluidos: Test-Theory-Exam-summary-of-all-chapters.pdf

6 páginas

ejercicios

-

2nd mid-term chapter exercises recompilation

He publicado nuevos ejercicios de 2º Mecánica de Fluidos: 2nd mid-term chapter exercises recompilation

Exercises-flow-of-perfect-fluids3.1.pdf
Exercises-steady-unidirectional-flows3.3.pdf
Exercises-one-dimensional-isentropic-flow4.2.pdf
Exercises-normal-shoc-waves4.3.pdf
Exercises-oblique-shoc-waves-and-prandtl-meyer-expansion4.4.pdf
Exercises-Fanno-and-Rayleigh-flows4.5.pdf

examenes

-

2nd Mid-term Exams

He publicado nuevos examenes de 2º Mecánica de Fluidos: 2nd Mid-term Exams

20222023-EXAM.pdf
2021-2022-EXAM.pdf
2020-2021-EXAM.pdf
2019-2020-EXAM.pdf
20172018-Exam.pdf
2016-2017-EXAM.pdf

He publicado nuevos apuntes de 2º Mecánica de Fluidos: tema-3.pdf

18 páginas

apuntes

-

Tema 3

He publicado nuevos apuntes de 2º Mecánica de Fluidos: Tema 3

L3.1-Flow-of-Perfect-fluids.pdf
L3.2-Introduction-to-viscous-flows.pdf
L3.3-Steady-unidirectional-flow.pdf
L3.4-Unsteady-Unidirectional-flow.pdf
L3.5-Turbulent-flows.pdf

apuntes

-

Tema 4

He publicado nuevos apuntes de 2º Mecánica de Fluidos: Tema 4

L4.1-Introduction-to-Compressible-flow.pdf
L4.2-1D-Isentropic-flow.pdf
L4.3-Normal-Shockwaves.pdf
L4.4-Oblique-shockwaves.pdf
L4.5-Fanno-and-Rayleigh-Flow.pdf

practicas

-

Prácticas - Mecánica de Fluidos

He publicado nuevos practicas de 2º Mecánica de Fluidos: Prácticas - Mecánica de Fluidos

PL01 - Sustentación y Arrastre de Modelos Aerodinámicos - Ingeniesaurio.pdf
PL02 - Banco de Medidas de Aire - Ingeniesaurio.pdf
PL03 - Introducción al CFD - Ingeniesaurio.pdf

ejercicios

-

Solved Problems 1st Midterm Recompilation (Chapter)

Problems Recompilation (Chapter)

Problems-Chapter-1.3.pdf
Solved-ProblemsChapter-2.1.pdf
Chapter-6-1.pdf

examenes

-

Solved and Explained 1st MidTerm Exams

He publicado nuevos examenes de 2º Mecánica de Fluidos: Solved and Explained 1st MidTerm Exams

Solved2012ExamExplained.pdf
Solved2017ExamExplained-1.pdf
Solved2018ExamExplained-1.pdf
Solved2020ExamExplained.pdf
Solved2021ExamExplained-1.pdf
Solved2023ExamExplained.pdf

He publicado nuevos apuntes de 2º Mecánica de Fluidos: Resumen-1ºParcial.pdf

3 páginas

apuntes

-

Apuntes por tema

He publicado nuevos apuntes de 2º Mecánica de Fluidos: Apuntes por tema

Tema-1-Parte-1.pdf
Tema-1-Parte-2.pdf
Tema-2.pdf

He publicado nuevos apuntes de 2º Mecánica de Fluidos: APUNTES-PRACTICAS-FLUIDOS.pdf

7 páginas

He publicado nuevos apuntes de 2º Mecánica de Fluidos: Apuntes-2-Parcial.pdf

4 páginas

He publicado nuevos apuntes de 2º Mecánica de Fluidos: Apuntes-1-Parcial.pdf

6 páginas

He publicado nuevos apuntes de 2º Mecánica de Fluidos: Apuntes-Ex-Practicas.pdf

5 páginas

He publicado nuevos apuntes de 2º Mecánica de Fluidos: practica-3-final.pdf

7 páginas

He publicado nuevos apuntes de 2º Mecánica de Fluidos: Parcial-1.pdf

19 páginas

He publicado nuevos apuntes de 2º Mecánica de Fluidos: Parcial-2.pdf

7 páginas

He publicado nuevos examenes de 2º Mecánica de Fluidos: Examen-fluidos-1p-1.pdf

1 página

He publicado nuevos examenes de 2º Mecánica de Fluidos: Examen-fluidos-2p.pdf

2 páginas

He publicado nuevos examenes de 2º Mecánica de Fluidos: Examen-fluidos-1p.pdf

2 páginas

He publicado nuevos apuntes de 2º Mecánica de Fluidos: Fluidos-Tipos-de-flujo.pdf

1 página

He publicado nuevos apuntes de 2º Mecánica de Fluidos: Formulario-fluidos.pdf

4 páginas
Anónimo

@Anónimo

apuntes

-

2º parcial

He publicado nuevos apuntes de 2º Mecánica de Fluidos: 2º parcial

Teoria-2o-Parcial.pdf
Examenes-2o-Parcial.pdf
Ejercicios-Segundo-Parcial.pdf
Anónimo

@Anónimo

apuntes

-

1º parcial

He publicado nuevos apuntes de 2º Mecánica de Fluidos: 1º parcial

Examenes-1.pdf
Ejercicios-1-Parcial.pdf

He publicado nuevos apuntes de 2º Mecánica de Fluidos: resumen-parcial.pdf

29 páginas
Anónimo

@Anónimo

He publicado nuevos ejercicios de 2º Mecánica de Fluidos: problemas-final.pdf

17 páginas

apuntes

-

Apuntes de Manu García (2do parcial.2)

He publicado nuevos apuntes de 2º Mecánica de Fluidos: Apuntes de Manu García (2do parcial.2)

Chapter-4.6.pdf

apuntes

-

Apuntes de Manu García (2do parcial)

He publicado nuevos apuntes de 2º Mecánica de Fluidos: Apuntes de Manu García (2do parcial)

Chapter-3.1.pdf
Chapter-3.2.pdf
Chapter-3.3.pdf
Chapter-3.4.pdf
Chapter-3.5.pdf
Chapter-4.1.pdf

apuntes

-

Apuntes de Fluidos de Juanjo

He publicado nuevos apuntes de 2º Mecánica de Fluidos: Apuntes de Fluidos de Juanjo

JJGJ3.pdf
JJGJ3.pdf
JJGJ3.pdf
JJGJ3.pdf
JJGJ3.pdf
JJGJ2.pdf

apuntes

-

Class notes

He publicado nuevos apuntes de 2º Mecánica de Fluidos: Class notes

Unit-1-Introduccion-Yo-Fluid-Mechanicsrotated.pdf
Unit-2-Equations-Of-Motionrotated.pdf

apuntes

-

Apuntes de Manu García (1er parcial)

He publicado nuevos apuntes de 2º Mecánica de Fluidos: Apuntes de Manu García (1er parcial)

Chapter-1.1.pdf
Chapter-1.2.pdf
Chapter-1.3.pdf
Chapter-2.1.pdf
Chapter-2.2.pdf
Chapter-2.3.pdf

apuntes

-

Resúmenes

He publicado nuevos apuntes de 2º Mecánica de Fluidos: Resúmenes

Unit-3.pdf
Unit-1.pdf
Unit-2.pdf
Unit-4.pdf

ejercicios

-

Ejercicios y problemas

He publicado nuevos ejercicios de 2º Mecánica de Fluidos: Ejercicios y problemas

Second-exam.pdf
First-exam.pdf
Problems-of-fluid-mechanics.pdf

apuntes

-

Apuntes de clase

He publicado nuevos apuntes de 2º Mecánica de Fluidos: Apuntes de clase

Unit-3.pdf
Unit-2.pdf
Unit-1.pdf
Unit-4.pdf

apuntes

-

Apuntes de Teoría de Mecánica de Fluidos

He publicado nuevos apuntes de 2º Mecánica de Fluidos: Apuntes de Teoría de Mecánica de Fluidos

1. Ecuaciones del movimiento.zip
Miniatura no disponible
2. Flujo viscoso de fluidos incompresibles.zip
3. Flujo compresible.zip

examenes

-

Exámenes Resueltos de Mecánica de Fluidos

He publicado nuevos examenes de 2º Mecánica de Fluidos: Exámenes Resueltos de Mecánica de Fluidos

Colección de exámenes (I).pdf
Colección de exámenes (II).pdf

ejercicios

-

Problemas Resueltos de Mecánica de Fluidos

He publicado nuevos ejercicios de 2º Mecánica de Fluidos: Problemas Resueltos de Mecánica de Fluidos

1. Introducción a la mecánica de fluidos.pdf
2. Fluidostática.pdf
3. Cinemática y dinámica de fluidos perfectos.pdf
4. Ecuaciones del movimiento.pdf
5. Análisis dimensional y semejanza.pdf
7. Movimientos unidireccionales estacionarios.pdf