chevron_left
chevron_right
Todo
Apuntes
Ejercicios
Exámenes
Prácticas
chevron_left
chevron_right

He publicado nuevos ejercicios de 2º Mecánica de Fluidos: Problemas-Tema-3-Flujo-Laminar.pdf

26 páginas

Es posible que haya errores en algunos ejercicios.

30 páginas

Hay ejercicios que están hechos varias veces. Normalmente la ultima versión es la que está bien hecha.

22 páginas

He publicado nuevos practicas de 2º Mecánica de Fluidos: Trabajo-mecacina-de-fluidos.pdf

34 páginas
Anónimo

@Anónimo

He publicado nuevos apuntes de 2º Mecánica de Fluidos: Examen-Parcial-Hidrostatica.pdf

1 página

He publicado nuevos ejercicios de 2º Mecánica de Fluidos: ejercicios-Hidrostatica.pdf

16 páginas
Anónimo

@Anónimo

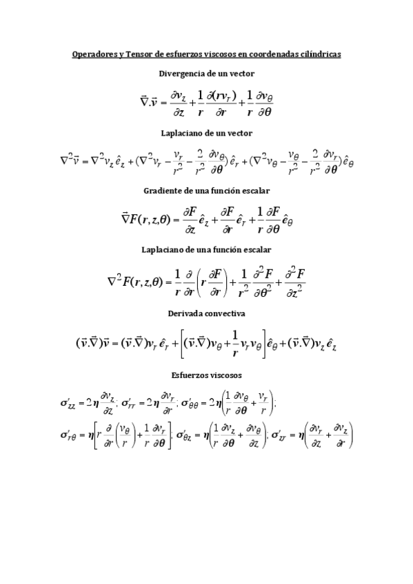
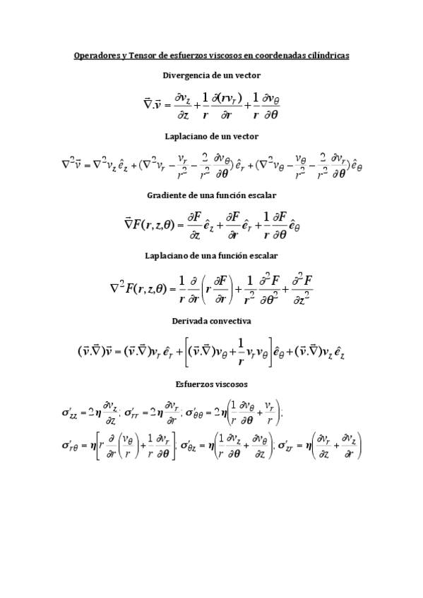
He publicado nuevos apuntes de 2º Mecánica de Fluidos: Formulario-de-Operadores-y-Tensor-de-esfuerzos-viscosos-en-coordenadas-cilindricas.pdf

1 página

He publicado nuevos ejercicios de 2º Mecánica de Fluidos: problemas-Ecuaciones-diferenciales.pdf

13 páginas

He publicado nuevos ejercicios de 2º Mecánica de Fluidos: problemas-Relaciones-integrales.pdf

16 páginas

He publicado nuevos apuntes de 2º Mecánica de Fluidos: Resumen-Notacion-Indicial.pdf

8 páginas

ejercicios

-

Tema 1. Notación Indicial

He publicado nuevos ejercicios de 2º Mecánica de Fluidos: Tema 1. Notación Indicial

Ejercicios-complementarios-de-tensores.pdf
ejercicios-GuiasProblMF-TENSORES.pdf

He publicado nuevos practicas de 2º Mecánica de Fluidos: Practica-fluidos.pdf

39 páginas

He publicado nuevos practicas de 2º Mecánica de Fluidos: Practica-Mecanica-de-Fluidos-Computacional.pdf

pdf

He publicado nuevos apuntes de 2º Mecánica de Fluidos: FLUIDOS.pdf

23 páginas
Anónimo

@Anónimo

He publicado nuevos examenes de 2º Mecánica de Fluidos: Examen-Enero-2021.pdf

4 páginas

apuntes

-

Resumenes

He publicado nuevos apuntes de 2º Mecánica de Fluidos: Resumenes

Resumen-Tema-1.pdf
Resumen-Tema-2.pdf
Resumen-Tema-3.pdf
Resumen-Tema-4.pdf
Resumen-Tema-5-y-6.pdf
Resumen-Tema-7.pdf

ejercicios

-

Ejercicios

He publicado nuevos ejercicios de 2º Mecánica de Fluidos: Ejercicios

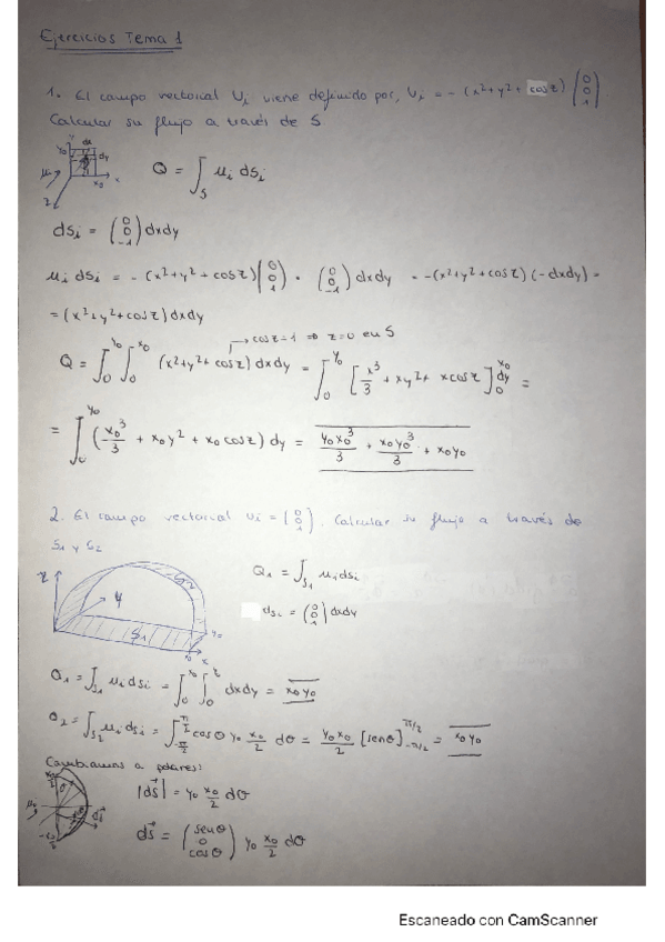
Ejercicios-Tema-1.pdf
Ejercicios-Tema-2.pdf
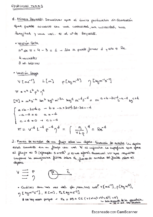
Ejercicios-Tema-3.pdf
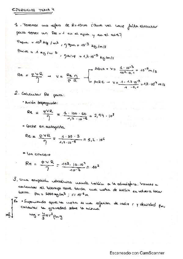
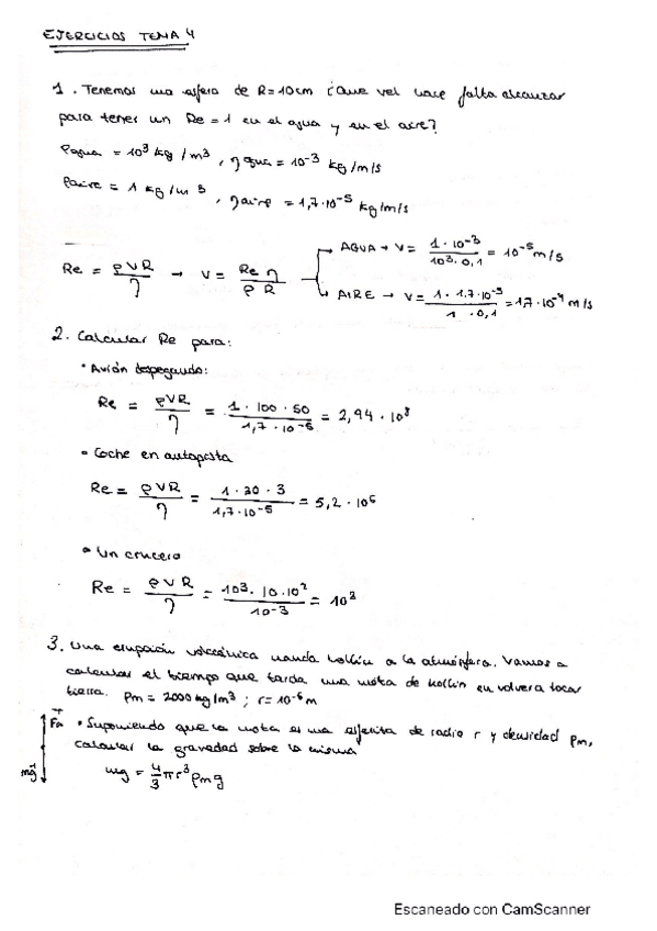
Ejercicios-Tema-4.pdf
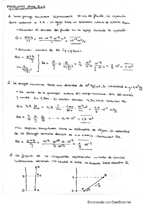
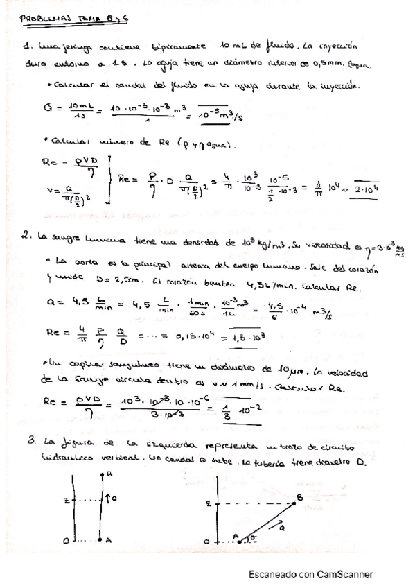
Ejercicios-Tema-5-y-6.pdf
Ejercicios-Tema-7.pdf
Anónimo

@Anónimo

He publicado nuevos examenes de 2º Mecánica de Fluidos: Parcial-1.pdf

2 páginas

He publicado nuevos apuntes de 2º Mecánica de Fluidos: TEMA-2.pdf

12 páginas

He publicado nuevos apuntes de 2º Mecánica de Fluidos: APUNTES.pdf

4 páginas

He publicado nuevos practicas de 2º Mecánica de Fluidos: MEMORIA-DE-PRACTICAS-ESTEFANIA-GARCIA-MARTIN.pdf

35 páginas

He publicado nuevos apuntes de 2º Mecánica de Fluidos: TEMA-5.pdf

3 páginas

He publicado nuevos apuntes de 2º Mecánica de Fluidos: TEMA-4.pdf

10 páginas

He publicado nuevos apuntes de 2º Mecánica de Fluidos: TEMA-3.pdf

7 páginas

He publicado nuevos apuntes de 2º Mecánica de Fluidos: TEMA-2.pdf

11 páginas

apuntes

-

Me_Llamo_Earl- Fluidos

He publicado nuevos apuntes de 2º Mecánica de Fluidos: Me_Llamo_Earl- Fluidos

Fluidos-Problemas-4-a-7.pdf
Fluidos-Examen-2.pdf
Apuntes-de-Ingenieria-Fluidomecanica.pdf
Fluidos-Examen-2010-2011.pdf
Fluidos-Examen-1.pdf
Fluidos-Examen-2011-2012-E.pdf

He publicado nuevos apuntes de 2º Mecánica de Fluidos: CRISTINA PÉREZ MARTIN. EPANET.pdf

7 páginas
¡Estás al día!

¡Estás al día!

Has visto todos los archivos