Mecánica de Máquinas

chevron_left
chevron_right
Todo
Apuntes
Ejercicios
Exámenes
Otros
Prácticas
publication
chevron_left
chevron_right

examenes

-

Examenes Mecánica de Maquinas (Actualizado hasta 2026)

He publicado nuevos examenes de 2º Mecánica de Máquinas: Examenes Mecánica de Maquinas (Actualizado hasta 2026)

Examen-Mecanica-de-Maquicas-Ordinaria-Enero-2024.pdf
Examen-Mecanica-de-Maquicas-Ordinaria-Enero-2019.pdf
Examen-Mecanica-de-Maquicas-Ordinaria-2026.pdf
Examen-Mecanica-de-Maquicas-Extraordinaria-2025.pdf
Examen-Mecanica-de-Maquicas-Ordinaria-2025.pdf
Examen-Mecanica-de-Maquicas-Extraordinaria-2024.pdf

Ejercicios de clase tipo examen resueltos

14 páginas

practicas

-

Prácticas Resueltas - Mecánica de Maquinas

He publicado nuevos practicas de 2º Mecánica de Máquinas: Prácticas Resueltas - Mecánica de Maquinas

Practica-1.pdf
Practica-2.pdf
Practica-3.pdf
Practica-4-Parte-1.pdf
Practica-4-Parte-2.pdf
Practica-4-Ejercicio-Propuesto.pdf

Ejercicios de clase tipo examen explicados

8 páginas

Ejercicios de clase tipo examen explicados

8 páginas

Ejercicios de clase tipo examen explicados

7 páginas

practicas

-

Práctica 4

He publicado nuevos practicas de 2º Mecánica de Máquinas: Práctica 4

P4-Problema.pdf
Memoria-Practica-4.pdf
Anónimo

@Anónimo

Uno de los libros recomendados.

628 páginas
Anónimo

@Anónimo

Uno de los libros recomendados.

631 páginas

He publicado nuevos practicas de 2º Mecánica de Máquinas: Practica-3.pdf

2 páginas

He publicado nuevos apuntes de 2º Mecánica de Máquinas: Practica-1.pdf

1 página

He publicado nuevos examenes de 2º Mecánica de Máquinas: Ej-examen-Mec-Maquinas.-Bloque-III.pdf

13 páginas

Ejercicios de exámenes y prácticas resueltos.

19 páginas

Ejercicios de exámenes y prácticas resueltos.

15 páginas

He publicado nuevos practicas de 2º Mecánica de Máquinas: Problema-Practica-2.pdf

1 página
Anónimo

@Anónimo

He publicado nuevos ejercicios de 2º Mecánica de Máquinas: problema-tema-1-maquinas.pdf

1 página

Ejercicios de exámenes pasados de cálculo de momentos de inercia y productos de inercia

6 páginas

Ejercicios de ensambles en 2D tipo exámenes pasados

4 páginas

Ejercicios de sistemas de cargas en 3D de exámenes pasados

8 páginas

Resumen de teoría

7 páginas

He publicado nuevos apuntes de 2º Mecánica de Máquinas: Mecanicaparalaingenieriaestatica.pdf

215 páginas

He publicado nuevos apuntes de 2º Mecánica de Máquinas: MECANICAPARAINGENIERIADINAMICA.pdf

Miniatura no disponible
795 páginas
Anónimo

@Anónimo

Libro de mecanica pearson

655 páginas
Anónimo

@Anónimo

He publicado nuevos apuntes de 2º Mecánica de Máquinas: SOLUCIONARIO-TMA8.pdf

149 páginas
Anónimo

@Anónimo

He publicado nuevos apuntes de 2º Mecánica de Máquinas: SOLUCIONARIO-TMA3.pdf

180 páginas
Anónimo

@Anónimo

He publicado nuevos apuntes de 2º Mecánica de Máquinas: SOLUCIONARIO-TMA9.pdf

290 páginas
Anónimo

@Anónimo

He publicado nuevos apuntes de 2º Mecánica de Máquinas: SOLUCIONARIO-TMA10.pdf

139 páginas
Anónimo

@Anónimo

He publicado nuevos apuntes de 2º Mecánica de Máquinas: SOLUCIONARIO-TMA5.pdf

181 páginas
Anónimo

@Anónimo

He publicado nuevos apuntes de 2º Mecánica de Máquinas: SOLUCIONARIO-TMA6.pdf

203 páginas
Anónimo

@Anónimo

He publicado nuevos apuntes de 2º Mecánica de Máquinas: SOLUCIONARIO-TMA4.pdf

227 páginas
Anónimo

@Anónimo

He publicado nuevos apuntes de 2º Mecánica de Máquinas: SOLUCIONARIO-TMA7.pdf

177 páginas
Anónimo

@Anónimo

He publicado nuevos apuntes de 2º Mecánica de Máquinas: REPASO-Y-RESUMEN.pdf

33 páginas

He publicado nuevos practicas de 2º Mecánica de Máquinas: SEGUNDA-PARTE-ENSAYO-PERFILES.pdf

4 páginas

He publicado nuevos practicas de 2º Mecánica de Máquinas: PRIMERA-PARTE-ENSAYO-PERFILES.pdf

4 páginas

He publicado nuevos practicas de 2º Mecánica de Máquinas: Problema-propuesto-3.pdf

2 páginas

He publicado nuevos practicas de 2º Mecánica de Máquinas: Problema-propuesto-4.pdf

3 páginas

He publicado nuevos practicas de 2º Mecánica de Máquinas: Problema-propuesto-1.pdf

3 páginas

He publicado nuevos practicas de 2º Mecánica de Máquinas: Problema-propuesto-2.pdf

3 páginas
Anónimo

@Anónimo

He publicado nuevos apuntes de 2º Mecánica de Máquinas: SOLUCIONARIO-TEMA-2.pdf

149 páginas

He publicado nuevos examenes de 2º Mecánica de Máquinas: PARTE-3ExamenMecanica-de-MaquinasJULIO-2020.pdf

3 páginas

He publicado nuevos examenes de 2º Mecánica de Máquinas: PARTE-2ExamenMecanica-de-MaquinasJULIO-2020.pdf

2 páginas

He publicado nuevos examenes de 2º Mecánica de Máquinas: PARTE-1ExamenMecanica-de-MaquinasJULIO-2020.pdf

2 páginas

He publicado nuevos examenes de 2º Mecánica de Máquinas: Mecmaqextr2grCp5.pdf

1 página

He publicado nuevos examenes de 2º Mecánica de Máquinas: Mecmaqextr2grCp4.pdf

1 página

He publicado nuevos examenes de 2º Mecánica de Máquinas: Mecmaqextr2grCp3.pdf

1 página

He publicado nuevos examenes de 2º Mecánica de Máquinas: Mecmaqextr2grCp1.pdf

1 página

He publicado nuevos examenes de 2º Mecánica de Máquinas: Mecmaqextr2grCp2.pdf

1 página

He publicado nuevos ejercicios de 2º Mecánica de Máquinas: EJERCICIOS-ENTREGABLES7.pdf

8 páginas

He publicado nuevos ejercicios de 2º Mecánica de Máquinas: EJERCICIOS-ENTREGABLES6.pdf

4 páginas

He publicado nuevos ejercicios de 2º Mecánica de Máquinas: EJERCICIOS-ENTREGABLES5.pdf

3 páginas

He publicado nuevos ejercicios de 2º Mecánica de Máquinas: EJERCICIOS-ENTREGABLES4.pdf

8 páginas

He publicado nuevos ejercicios de 2º Mecánica de Máquinas: EJERCICIOS-ENTREGABLES3.pdf

3 páginas

He publicado nuevos ejercicios de 2º Mecánica de Máquinas: EJERCICIOS-ENTREGABLES2.pdf

3 páginas

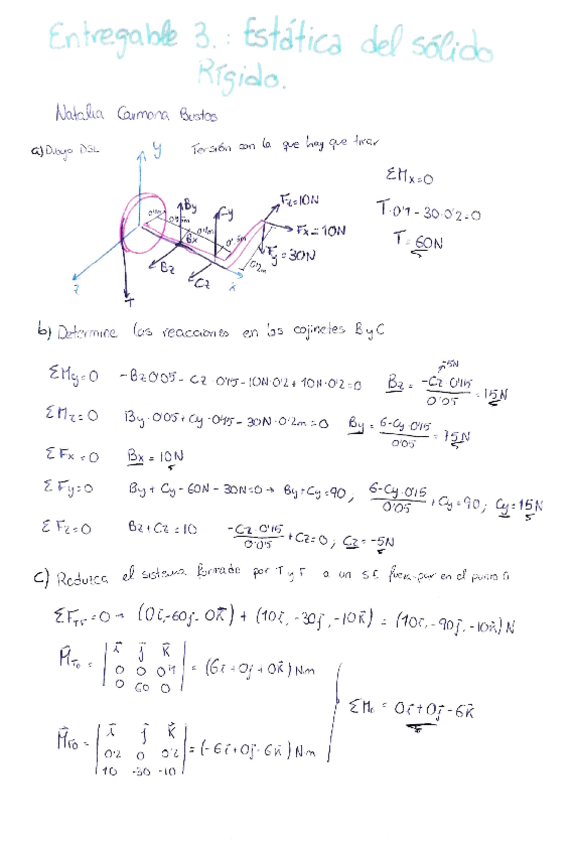
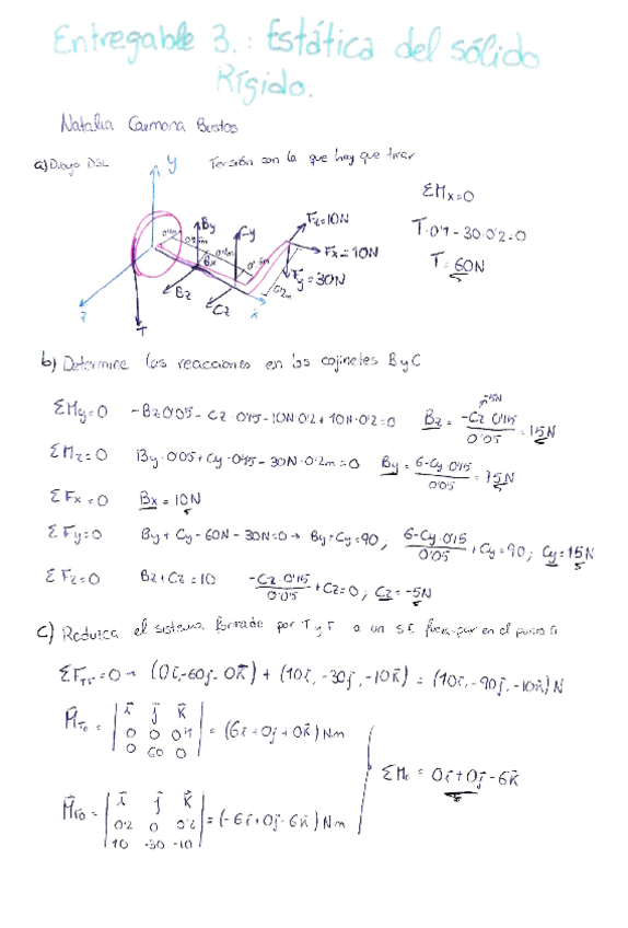
He publicado nuevos ejercicios de 2º Mecánica de Máquinas: CarmonaBustosNatalia1.pdf

3 páginas

He publicado nuevos ejercicios de 2º Mecánica de Máquinas: EJERCICIOS-ENTREGABLES1.pdf

3 páginas

He publicado nuevos apuntes de 2º Mecánica de Máquinas: ejercicios-mecanica.pdf

36 páginas

He publicado nuevos apuntes de 2º Mecánica de Máquinas: resumen-para-hacer-ejercicios.pdf

7 páginas

apuntes

-

Temas máquinas

He publicado nuevos apuntes de 2º Mecánica de Máquinas: Temas máquinas

tema-3-mm.pdf
tema-2-mm.pdf
tema-4-mm.pdf
tema-5-mm.pdf
tema-6-mm.pdf
tema-7-mm.pdf

He publicado nuevos examenes de 2º Mecánica de Máquinas: 22-23-EXAMEN-MAQUINAS.pdf

2 páginas

practicas

-

Prácticas/Problemas propuestos

He publicado nuevos practicas de 2º Mecánica de Máquinas: Prácticas/Problemas propuestos

Problema-propuesto-5.pdf
Problema-propuesto-2.pdf
Problema-propuesto-4.pdf
Problema-propuesto-3.pdf
Problema-propuesto-1.pdf