Elasticidad bidimensional.pdf
Portada
Asignatura
account_balance
Grado en Ingeniería Aeroespacial (UPM)
Fecha de subida
19 nov 2018
Categoría
apuntes
Etiquetas
content_copy
Portada
Asignatura
Grado en Ingeniería Aeroespacial (UPM)
Fecha de subida
19 nov 2018
Categoría
apuntes
Etiquetas
Información
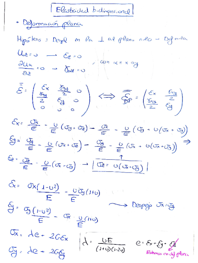
Otro pequeño resumen de deformación plana y tensión plana.