Todo
Apuntes
Ejercicios
Exámenes
Otros
Prácticas
chevron_left
chevron_right

Algunos ejercicios recopilados de antiguas pruebas

43 páginas

Ejercicios del boletín de la asignatura

29 páginas

examenes

-

EXAMENES RESUELTOS

He publicado nuevos examenes de 4º Mecánica del Vuelo: EXAMENES RESUELTOS

CONVOCATORIA-ENERO-2023.pdf
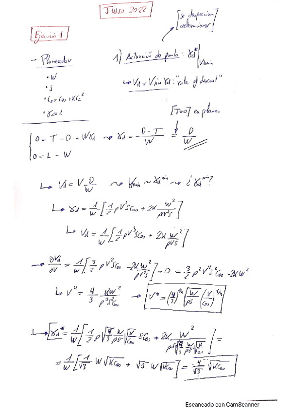
CONVOCATORIA-JULIO-2022.pdf
CONVOCATORIA-ENERO-2022.pdf
CONVOCATORIA-DICIEMBRE-2021.pdf
CONVOCATORIA-FEBRERO-2019.pdf
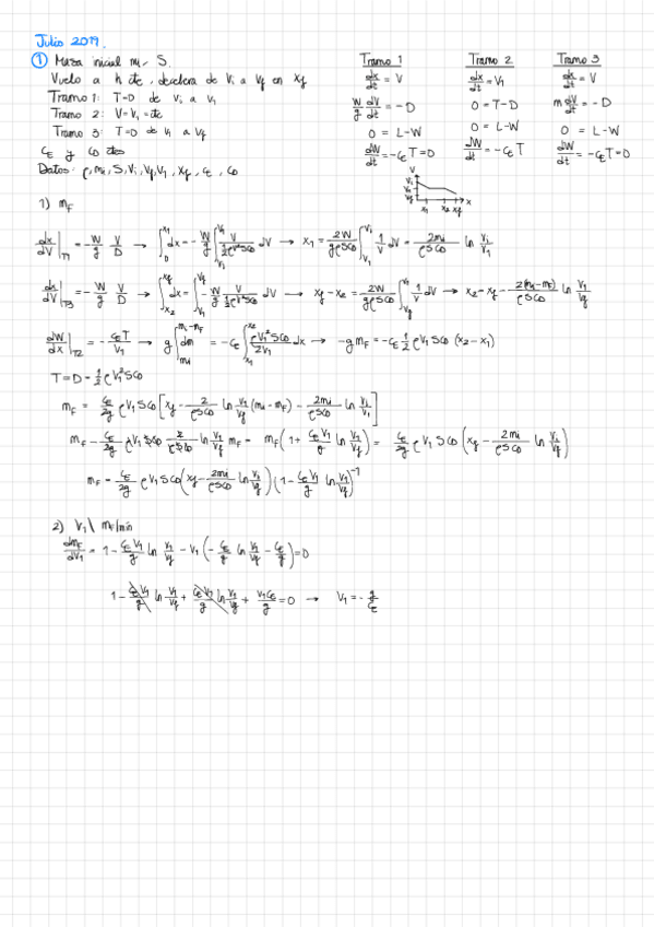
CONVOCATORIA-JULIO-2019.pdf

He publicado nuevos ejercicios de 4º Mecánica del Vuelo: BOLETIN-DE-PROBLEMAS-RESUELTOS.pdf

49 páginas

apuntes

-

APUNTES POR TEMAS

He publicado nuevos apuntes de 4º Mecánica del Vuelo: APUNTES POR TEMAS

TEMA-2.pdf
TEMA-7.pdf
TEMA-8.pdf
TEMA-6.pdf
TEMA-5.pdf
TEMA-4.pdf

He publicado nuevos examenes de 4º Mecánica del Vuelo: Examenes-Mecanica-del-Vuelo.pdf

18 páginas

He publicado nuevos ejercicios de 4º Mecánica del Vuelo: EJERCICIOS-DEL-BOLETIN.pdf

14 páginas

He publicado nuevos apuntes de 4º Mecánica del Vuelo: Mecanica-del-vuelo-Resumen.pdf

10 páginas
Anónimo

@Anónimo

He publicado nuevos apuntes de 4º Mecánica del Vuelo: Resumen-para-problemas.pdf

6 páginas

He publicado nuevos apuntes de 4º Mecánica del Vuelo: Boletin-de-problemas.pdf

24 páginas

He publicado nuevos apuntes de 4º Mecánica del Vuelo: Problemas-de-examen.pdf

13 páginas

He publicado nuevos apuntes de 4º Mecánica del Vuelo: teoria-con-desarrollos-MV1-6.pdf

77 páginas

He publicado nuevos examenes de 4º Mecánica del Vuelo: Convocatoria-Enero-2023.pdf

2 páginas

He publicado nuevos ejercicios de 4º Mecánica del Vuelo: Boletin-Resuelto.pdf

38 páginas

examenes

-

Exámenes Resueltos

He publicado nuevos examenes de 4º Mecánica del Vuelo: Exámenes Resueltos

Julio-21.pdf
Julio-22.pdf
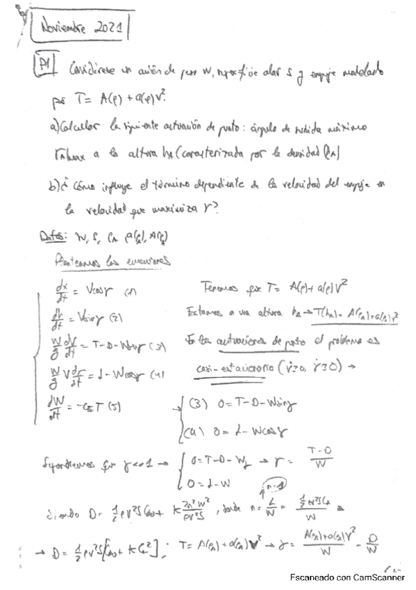
Noviembre-21.pdf
Febrero-21.pdf
Enero-22.pdf
Febrero-19.pdf

La signatura no se cosiste en Mecánica de Vuelo, consiste en entender el cerebro de Damian Rivas. Da igual lo que opnga en sus enunciados, el siempre quiere otra cosa.

18 páginas

apuntes

-

BOLETIN COMPLETO RESUELTO + EXTRA ANTIGUOS

He publicado nuevos apuntes de 4º Mecánica del Vuelo: BOLETIN COMPLETO RESUELTO + EXTRA ANTIGUOS

ENUNCIADOS.pdf
SOLUCION-BOLETIN.pdf
EXTRA-BOLETIN-ANTIGUO.pdf

He publicado nuevos examenes de 4º Mecánica del Vuelo: EXÁMENES RESUELTOS - COMPLETO.pdf

52 páginas

Cosas más importantes de mecánica de vuelo

22 páginas

He publicado nuevos apuntes de 4º Mecánica del Vuelo: RESUMEN-IMPRESCINDIBLE.pdf

17 páginas

He publicado nuevos examenes de 4º Mecánica del Vuelo: JULIO-2022-RESUELTO.pdf

6 páginas

He publicado nuevos ejercicios de 4º Mecánica del Vuelo: Boletin-Resuelto.pdf

48 páginas

examenes

-

EXÁMENES RESUELTOS

He publicado nuevos examenes de 4º Mecánica del Vuelo: EXÁMENES RESUELTOS

2022-ENERO-MV.pdf
2015-DICIEMBRE.pdf
2019-FEBRERO.pdf
2016-FEBRERO.pdf
2018-DICIEMBRE.pdf
2019-JULIO.pdf

He publicado nuevos examenes de 4º Mecánica del Vuelo: CamScanner-07-25-2022-17.pdf

1 página

He publicado nuevos examenes de 4º Mecánica del Vuelo: p2.pdf

2 páginas

He publicado nuevos examenes de 4º Mecánica del Vuelo: p1.pdf

2 páginas

He publicado nuevos examenes de 4º Mecánica del Vuelo: MECVUELOenero2022.pdf

pdf

He publicado nuevos examenes de 4º Mecánica del Vuelo: NOVIEMBRE-2021-RESUELTO.pdf

3 páginas

He publicado nuevos otros de 4º Mecánica del Vuelo: Lorena-Calvente-Roldan-Mecanica-del-vuelo.pdf

4 páginas

otros

-

Todo

He publicado nuevos otros de 4º Mecánica del Vuelo: Todo

Tema-4-Resumen-MV.pdf
Coleccion-resuelta-36-problemas-y-3-MV.pdf
Tema-5-Resumen-MV.pdf
Tema-1-MV.pdf
Examen-29-01-2019-MV.pdf
Tema-7.pdf

He publicado nuevos apuntes de 4º Mecánica del Vuelo: PROBLEMAS-MECANICA-VUELO20181116192427.pdf

78 páginas

He publicado nuevos examenes de 4º Mecánica del Vuelo: Enunciado-Examen-Julio-2021-RESUELTO.pdf

4 páginas

apuntes

-

Apuntes y problemas

He publicado nuevos apuntes de 4º Mecánica del Vuelo: Apuntes y problemas

Problemas-vuelo.pdf
Apuntes-vuelo.pdf
Teoria-resumida-vuelo.pdf

examenes

-

febrero 2021 examen resuelto

He publicado nuevos examenes de 4º Mecánica del Vuelo: febrero 2021 examen resuelto

examen-febrero-2021-COMPLETO.pdf

He publicado nuevos examenes de 4º Mecánica del Vuelo: Examenes-.pdf

15 páginas

ejercicios

-

Boletín + P26

He publicado nuevos ejercicios de 4º Mecánica del Vuelo: Boletín + P26

Boletin-14-26.pdf
Boletin-1-13.pdf

apuntes

-

Teoría

He publicado nuevos apuntes de 4º Mecánica del Vuelo: Teoría

ApuntesTema-2.pdf
Apuntes-Tema-3.pdf
Apuntes-Tema-1.pdf
Apuntes-Tema-4.pdf
Apuntes-Tema-5.pdf
Apuntes-Tema-6.pdf

apuntes

-

Temario COMPLETO

He publicado nuevos apuntes de 4º Mecánica del Vuelo: Temario COMPLETO

MVTema5.pdf
MVTema1.pdf
MVTema2.pdf
MVTema3.pdf
MVTema6.pdf
MVTema8.pdf

He publicado nuevos examenes de 4º Mecánica del Vuelo: 2018-dic.pdf

6 páginas

He publicado nuevos apuntes de 4º Mecánica del Vuelo: Apuntes-Tema-1.pdf

5 páginas
Anónimo

@Anónimo

He publicado nuevos examenes de 4º Mecánica del Vuelo: Problema3Enero2020MecnicadelVueloGIA-1.pdf

1 página

apuntes

-

Resúmenes por temas

He publicado nuevos apuntes de 4º Mecánica del Vuelo: Resúmenes por temas

Resumen-tema-4.pdf
Resumen-tema-1.pdf
Resumen-tema-2.pdf
Resumen-actuaciones-de-punto-3.pdf
Resumen-actuaciones-viraje-5.pdf
Resumen-despegue-aterrizaje-6.pdf

examenes

-

Problemas de exámenes y clase

He publicado nuevos examenes de 4º Mecánica del Vuelo: Problemas de exámenes y clase

Problemas-de-examenes-.pdf
Problemas-Mecanica-.pdf

He publicado nuevos apuntes de 4º Mecánica del Vuelo: Formulario.pdf

18 páginas

He publicado nuevos apuntes de 4º Mecánica del Vuelo: alcance.pdf

3 páginas

He publicado nuevos ejercicios de 4º Mecánica del Vuelo: Coleccion-de-problemas-resuelta.pdf

84 páginas

He publicado nuevos examenes de 4º Mecánica del Vuelo: Examenes-resueltos.pdf

32 páginas

He publicado nuevos examenes de 4º Mecánica del Vuelo: Formulario-Examen.pdf

1 página

He publicado nuevos examenes de 4º Mecánica del Vuelo: SEGUNDA-CONVOCATORIA-MECANICA-DEL-VUELO.pdf

2 páginas

He publicado nuevos examenes de 4º Mecánica del Vuelo: Examen 29-01-2019 MV.pdf

4 páginas

2015 y 2016- 3 problemas por examen

16 páginas

He publicado nuevos examenes de 4º Mecánica del Vuelo: Problemas Extra.pdf

21 páginas

36 problemas + 3 extras

80 páginas

Muy útil

14 páginas

Muy útiles

14 páginas

apuntes

-

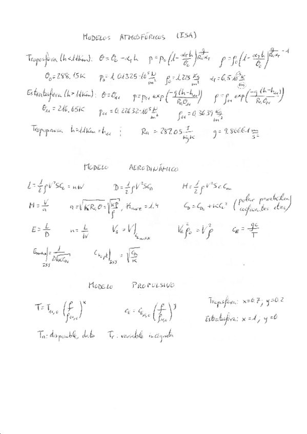
Resumen Tema 7: Estabilidad Longitudinal

Resumen del Tema 7 en dos caras, con lo que creo que es más importante.

IMG_20190126_125524.jpg
IMG_20190126_125530.jpg

ejercicios

-

Problemas todos resueltos

Incluido uno que no viene en el boletín

Resueltos todos (1-26) Problemas MV.pdf
Resueltos Problemas de examen MV.pdf

apuntes

-

Resúmenes de la asignatura con ejercicios resueltos por temas

He publicado nuevos apuntes de 4º Mecánica del Vuelo: Resúmenes de la asignatura con ejercicios resueltos por temas

Tema 1 MV.pdf
Tema 2 MV.pdf
Tema 3 Actuaciones de punto Resumen MV.pdf
Ejercicios y desarrollos Tema 3 MV.pdf
Tema 4 Resumen MV.pdf
Tema 5 Resumen MV.pdf

He publicado nuevos apuntes de 4º Mecánica del Vuelo: Resueltos todos (1-26) Problemas MV.pdf

57 páginas

apuntes

-

Apuntes con anotaciones de clase - Parte 1

Con correcciones de erratas

Tema 0 MV.pdf
Tema 1 MV.pdf
Tema 2 MV.pdf
Tema 4 MV.pdf
Tema 3 MV.pdf
Tema 5 MV.pdf