Todo
Apuntes
Ejercicios
Exámenes
chevron_left
chevron_right

He publicado nuevos apuntes de 1º Mecànica Fonamental: Apuntes Temas 1-2-3 FISICA 1.pdf

2 páginas

He publicado nuevos apuntes de 1º Mecànica Fonamental: MECÀNICA FONAMENTAL - TEMES 4 i 5.pdf

5 páginas

He publicado nuevos ejercicios de 1º Mecànica Fonamental: EXERCICIS-MECFON-POSTPARCIAL.pdf

17 páginas

He publicado nuevos ejercicios de 1º Mecànica Fonamental: EXERCICIS-MECFON-PREPARCIAL.pdf

15 páginas

He publicado nuevos apuntes de 1º Mecànica Fonamental: APUNTS(T1-T5)-MECFON.pdf

19 páginas

He publicado nuevos apuntes de 1º Mecànica Fonamental: Formula-Fisica-I.pdf

1 página

He publicado nuevos ejercicios de 1º Mecànica Fonamental: Problemas-Fisica-I.pdf

1 página

He publicado nuevos apuntes de 1º Mecànica Fonamental: Problema-Fisica-I.pdf

1 página
Anónimo

@Anónimo

He publicado nuevos apuntes de 1º Mecànica Fonamental: Tema1-FFI-2023-2024.pdf

28 páginas
Anónimo

@Anónimo

He publicado nuevos apuntes de 1º Mecànica Fonamental: dosier-de-fisica-i.pdf

87 páginas
Anónimo

@Anónimo

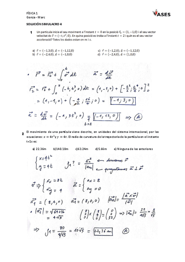
He publicado nuevos apuntes de 1º Mecànica Fonamental: simulacro-4-solucion.pdf

2 páginas
Anónimo

@Anónimo

He publicado nuevos apuntes de 1º Mecànica Fonamental: simulacro-4-enunciado.pdf

1 página
Anónimo

@Anónimo

He publicado nuevos apuntes de 1º Mecànica Fonamental: simulacro-5-solucion.pdf

2 páginas
Anónimo

@Anónimo

He publicado nuevos apuntes de 1º Mecànica Fonamental: simulacro-5-enunciado.pdf

1 página
Anónimo

@Anónimo

He publicado nuevos apuntes de 1º Mecànica Fonamental: simulacro-2-solucion.pdf

2 páginas
Anónimo

@Anónimo

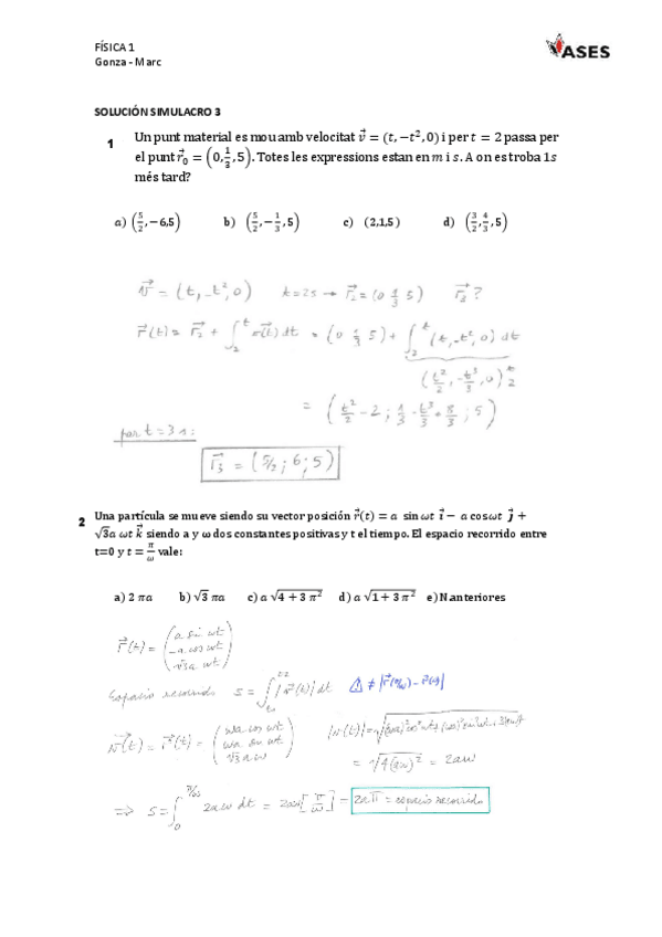
He publicado nuevos apuntes de 1º Mecànica Fonamental: simulacro-3-solucion.pdf

3 páginas
Anónimo

@Anónimo

He publicado nuevos apuntes de 1º Mecànica Fonamental: simulacro-3-enunciado.pdf

1 página
Anónimo

@Anónimo

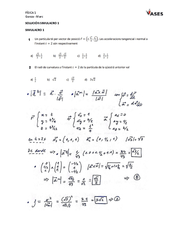
He publicado nuevos apuntes de 1º Mecànica Fonamental: simulacro-1-solucion.pdf

2 páginas
Anónimo

@Anónimo

He publicado nuevos apuntes de 1º Mecànica Fonamental: simulacro-2-enunciado.pdf

1 página
Anónimo

@Anónimo

He publicado nuevos apuntes de 1º Mecànica Fonamental: simulacro-1-enunciado.pdf

1 página

He publicado nuevos apuntes de 1º Mecànica Fonamental: Mecfon.pdf

19 páginas

apuntes

-

MECFON (apuntes)

He publicado nuevos apuntes de 1º Mecànica Fonamental: MECFON (apuntes)

Mecfon.pdf
Mecfon.pdf
importantes-de-mefon.pdf
importantes-de-mefon.pdf
teoria-mecfon.pdf
teoria-mecfon.pdf

He publicado nuevos apuntes de 1º Mecànica Fonamental: Apunts-Pre-Parcial-T-0-1-2.pdf

12 páginas

apuntes

-

Apuntes Parcial

He publicado nuevos apuntes de 1º Mecànica Fonamental: Apuntes Parcial

Notebloc2259CD2D-ED89-4365-9C53-3CF1DFAAFF18-6639-000000A861F092B0.pdf
Notebloc2259CD2D-ED89-4365-9C53-3CF1DFAAFF18-6639-000000A861F092B0.pdf

He publicado nuevos apuntes de 1º Mecànica Fonamental: Tema-3.pdf

10 páginas

He publicado nuevos apuntes de 1º Mecànica Fonamental: Tema-2.pdf

7 páginas

He publicado nuevos apuntes de 1º Mecànica Fonamental: Tema-1.pdf

9 páginas

He publicado nuevos apuntes de 1º Mecànica Fonamental: TeoriaEssencial-PostParcial.pdf

2 páginas

He publicado nuevos examenes de 1º Mecànica Fonamental: T6-ExercicisExamens.pdf

2 páginas

He publicado nuevos apuntes de 1º Mecànica Fonamental: T5-ExercicisExamensClassificats.pdf

14 páginas

He publicado nuevos apuntes de 1º Mecànica Fonamental: T-1-Conceptes-Base.pdf

3 páginas

Més complet i actualitzat que l'anterior

8 páginas

He publicado nuevos examenes de 1º Mecànica Fonamental: EXERCICIS-T.pdf

8 páginas

He publicado nuevos apuntes de 1º Mecànica Fonamental: resum-mecanica.pdf

11 páginas

He publicado nuevos apuntes de 1º Mecànica Fonamental: MECANICA-FONAMENTAL-formules.pdf

6 páginas

He publicado nuevos apuntes de 1º Mecànica Fonamental: Tema-1-y-2.pdf

11 páginas
Anónimo

@Anónimo

He publicado nuevos ejercicios de 1º Mecànica Fonamental: Problemes-Practics-Forces-i-Acceleracio.pdf

1 página
Anónimo

@Anónimo

He publicado nuevos ejercicios de 1º Mecànica Fonamental: Problemes-Practics-Moviment-i-Treball.pdf

1 página
Anónimo

@Anónimo

He publicado nuevos ejercicios de 1º Mecànica Fonamental: Problemes-Quantitat-de-Moviment-i-Dinamica.pdf

1 página
Anónimo

@Anónimo

examenes

-

Exercicis Examens Globals

He publicado nuevos examenes de 1º Mecànica Fonamental: Exercicis Examens Globals

Practiques-Examen-Velocitat-i-Moviment.pdf
Practiques-Examen-Velocitat-i-Moviment.pdf
Practiques-Examen-Acceleracio-en-Dinamica.pdf
Practiques-Examen-Acceleracio-en-Dinamica.pdf
Exercici-Examen-Multiples-Politges.pdf
Exercici-Examen-Multiples-Politges.pdf

He publicado nuevos ejercicios de 1º Mecànica Fonamental: Exercicis Tema 5.pdf

3 páginas

He publicado nuevos apuntes de 1º Mecànica Fonamental: Tema 5.pdf

2 páginas

He publicado nuevos ejercicios de 1º Mecànica Fonamental: Exercicis Tema 6.pdf

4 páginas

He publicado nuevos apuntes de 1º Mecànica Fonamental: Tema 6.pdf

6 páginas
Anónimo

@Anónimo

He publicado nuevos apuntes de 1º Mecànica Fonamental: Tema 1.pdf

6 páginas
Anónimo

@Anónimo

He publicado nuevos apuntes de 1º Mecànica Fonamental: Tema 4.pdf

3 páginas
Anónimo

@Anónimo

He publicado nuevos apuntes de 1º Mecànica Fonamental: Tema 3.pdf

14 páginas
Anónimo

@Anónimo

He publicado nuevos apuntes de 1º Mecànica Fonamental: Tema 2.pdf

15 páginas