chevron_left
chevron_right
Todo
Apuntes
Ejercicios
chevron_left
chevron_right

ejercicios

-

Ejercicios resueltos

He publicado nuevos ejercicios de 2º Mecanica y Ondas I: Ejercicios resueltos

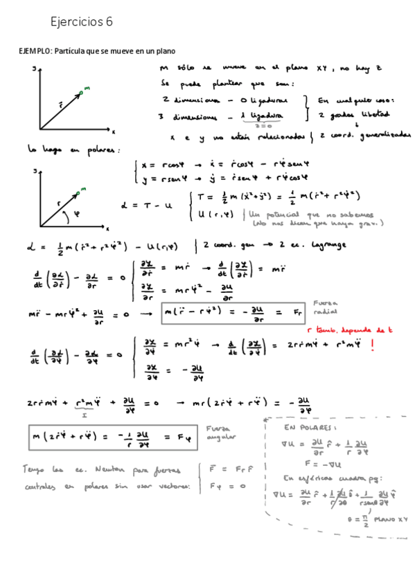
Ejercicios-Tema-3-Mecanica-Lagrangiana.pdf
Ejercicios-Tema-1-Cinematica-Dinamica-Energias.pdf
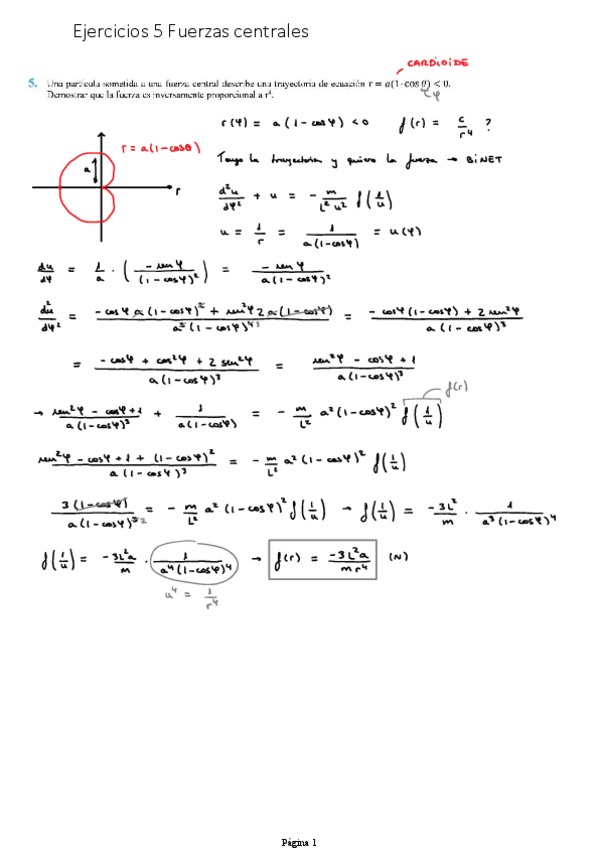
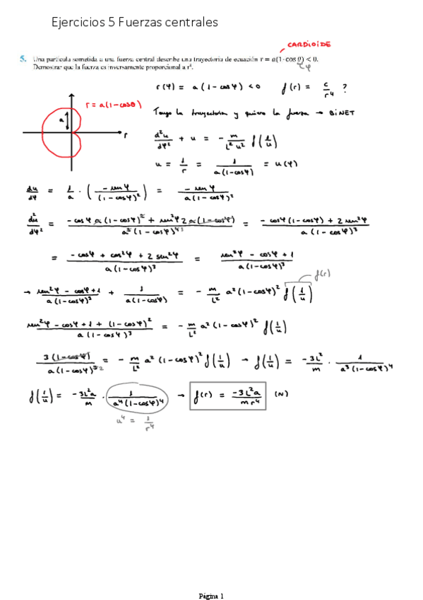
Ejercicios-Tema-2-Fuerzas-Centrales.pdf

apuntes

-

Teoría

He publicado nuevos apuntes de 2º Mecanica y Ondas I: Teoría

Tema-1-Cinematica-Dinamica-Energias.pdf
Tema-3-Mecanica-Lagrangiana.pdf
Tema-2-Fuerzas-Centrales.pdf
¡Estás al día!

¡Estás al día!

Has visto todos los archivos