Mecánica y Ondas
practicas
-
Informes de Prácticas Resueltos Mecánica y Ondas
He publicado nuevos practicas de 2º Mecánica y Ondas: Informes de Prácticas Resueltos Mecánica y Ondas
Son los enunciados del examen de enero reescrito a Latex y con imágenes en tablet
INICIO DE CURSO MECÁNICA Y ONDAS Resumen de cada tema. Resolución de ejercicios y exámenes de convocatorias anteriores. Clases grabadas hasta el día del examen. Profesor a tu disposición en cualquier momento para dudas. INFÓRMATE SIN COMPROMISO Y DA UNA CLASE DE PRUEBA EN GRUPO.

ejercicios
-
Ejercicios Segundo Cuatri
Relaciones de ejercicios resueltas y bien explicadas
Resumen de las expresiones esenciales de cada bloque para preparar el Parcial 1
He publicado nuevos examenes de 2º Mecánica y Ondas: Examenes-resueltos-mecanica.pdf
He publicado nuevos apuntes de 2º Mecánica y Ondas: Tema6-FormulacionHamiltoniana.pdf
He publicado nuevos apuntes de 2º Mecánica y Ondas: Tema5-FormulacionLagrangiana.pdf
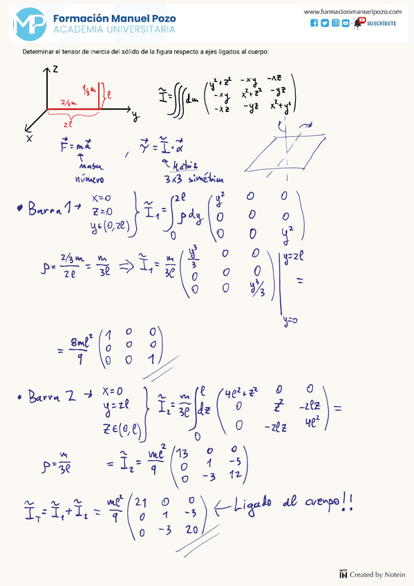
He publicado nuevos apuntes de 2º Mecánica y Ondas: Chuletario-Solido-Rigido.pdf
He publicado nuevos apuntes de 2º Mecánica y Ondas: Tema4-SolidoRigido.pdf
Los títulos vienen en inglés, pero la explicación, en español.
Viene explicado paso por paso cómo resolver ejercicios de marcos inerciales y no inerciales
practicas
-
Informes de prácticas
He publicado nuevos practicas de 2º Mecánica y Ondas: Informes de prácticas
He publicado nuevos ejercicios de 2º Mecánica y Ondas: Relacion-4-Sistemas-de-referencia-no-inerciales.pdf
He publicado nuevos ejercicios de 2º Mecánica y Ondas: Relacion-2-Coordenadas-curvilineas.pdf
He publicado nuevos ejercicios de 2º Mecánica y Ondas: Relacion-1-resuelta-con-esquema-teorico.pdf
ejercicios
-
Ejercicios Primer Cuatri
Relaciones ejercicios del primer cuatrimestre resueltos y explicados
Práctica correspondiente al primer cuatrimestre de Mecánica y Ondas
Práctica correspondiente al primer cuatrimestre de Mecánica y Ondas
He publicado nuevos ejercicios de 2º Mecánica y Ondas: Ejercicios-Rigid-Body.pdf
He publicado nuevos ejercicios de 2º Mecánica y Ondas: Ejercicios-Oscilaciones.pdf
He publicado nuevos ejercicios de 2º Mecánica y Ondas: Ejercicios-Relatividad-Explicados.pdf
He publicado nuevos ejercicios de 2º Mecánica y Ondas: ejercicios-Non-Inertial.pdf
He publicado nuevos ejercicios de 2º Mecánica y Ondas: Ejercicios-Lagrangian-Mechanics.pdf
He publicado nuevos ejercicios de 2º Mecánica y Ondas: Ejercicios-Mechanical-Waves.pdf
He publicado nuevos ejercicios de 2º Mecánica y Ondas: Ejercicios-Hamiltonian-Mechanics.pdf
He publicado nuevos ejercicios de 2º Mecánica y Ondas: Ejercicios-Coupled-Oscillations.pdf
He publicado nuevos ejercicios de 2º Mecánica y Ondas: Ejercicios-Central-Forces.pdf
He publicado nuevos apuntes de 2º Mecánica y Ondas: Chapter-10.-Mechanical-Waves.pdf
He publicado nuevos apuntes de 2º Mecánica y Ondas: Chapter-9.-Oscillations.pdf
He publicado nuevos apuntes de 2º Mecánica y Ondas: Chapter-8.-Coupled-oscillations.pdf
He publicado nuevos apuntes de 2º Mecánica y Ondas: Chapter-6.-Hamiltonian-Mechanics.pdf
He publicado nuevos apuntes de 2º Mecánica y Ondas: Chapter-7.-Central-forces.pdf
He publicado nuevos apuntes de 2º Mecánica y Ondas: Chapter-5.-Lagrangian-Mechanics.pdf
He publicado nuevos apuntes de 2º Mecánica y Ondas: Chapter-3.-Motion-in-a-Non-Inertial-Reference-System.pdf
He publicado nuevos apuntes de 2º Mecánica y Ondas: Chapter-4.-Rigid-Body.pdf
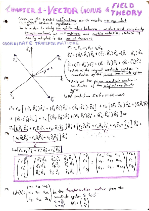
He publicado nuevos apuntes de 2º Mecánica y Ondas: Chapter-1.-Vector-calculus.pdf
He publicado nuevos apuntes de 2º Mecánica y Ondas: Chapter-2.-Dynamic-of-systems.pdf
apuntes
-
EJERCICIOS RESUELTOS EXAMEN
Ejercicios Resueltos Academia Universitaria Formación Manuel Pozo
INICIO DE CURSO MECÁNICA Y ONDAS ACADEMIA UNIVERSITARIA FORMACIÓN MANUEL POZO Clases modalidad online y presencial. Todas tus CLASES GRABADAS PARA QUE PUEDAS VISUALIZARLAS HASTA EL DÍA DEL EXAMEN Resolución de todos tus ejercicios y exámenes de convocatorias anteriores. Profesores especialidados y temario propio. Acceso a PLATAFORMA VIRTUAL CON CONTENIDO EXCLUSIVO ¡Solicita tu clase de prueba en grupo sin compromiso!

Examen convocatoria extraordinaria de Mecánica y Ondas de Julio 2025
practicas
-
Prácticas bien hechas (M28, M10, M25, M33-Bis, M9-Bis, M6-Bis,M12-Bis)
iré actualizando confirme las hagamos
He publicado nuevos examenes de 2º Mecánica y Ondas: Ordinario Mecánica 2025.pdf
He publicado nuevos examenes de 2º Mecánica y Ondas: Examen-Ordinario-2025.pdf
He publicado nuevos apuntes de 2º Mecánica y Ondas: Formulario-Chapters-7-8-9-10.pdf
He publicado nuevos apuntes de 2º Mecánica y Ondas: RECAP-ejercicios-de-tensores-incerciales-explicados.pdf
practicas
-
Prácticas Informes
He publicado nuevos practicas de 2º Mecánica y Ondas: Prácticas Informes
He publicado nuevos practicas de 2º Mecánica y Ondas: M6bisStudyofoscillatorymotionWuolah.pdf
EJERCICIO RESUELTO ACADEMIA UNIVERSITARIA FORMACIÓN MANUEL POZO
EJERCICIO RESUELTO ACADEMIA UNIVERSITARIA FORMACIÓN MANUEL POZO
He publicado nuevos practicas de 2º Mecánica y Ondas: M20bisMotioninrotatingreferenceframesWuolah.pdf
He publicado nuevos apuntes de 2º Mecánica y Ondas: Resumen-1er-Cuatri.pdf
He publicado nuevos apuntes de 2º Mecánica y Ondas: Teoria-1er-Cuatri-COMPLETO.pdf
He publicado nuevos apuntes de 2º Mecánica y Ondas: Resumen-todo-el-temario-para-la-ordinaria-MyO.pdf
He publicado nuevos apuntes de 2º Mecánica y Ondas: Chapters-5-and-6-Lagragian-and-Hamiltonian-Mechanics.pdf