chevron_left
chevron_right
Todo
Apuntes
Ejercicios
Exámenes
Prácticas
chevron_left
chevron_right

Examen Final Mecánica y Termodinámica, enero 2026.

Miniatura no disponible
2 páginas

Examen final de práctica de laboratorio de enero 2026 .

Miniatura no disponible
1 página

A summary of every formula needed for the part of Thermodynamics. Good luck with the exam!

2 páginas

Primera sesión de prácticas péndulo.

excel

Tercera práctica constante elástica

16 páginas

Practica de laboratorio, ejercicio de caída libre

5 páginas

He publicado nuevos apuntes de 1º Mecánica y Termodinámica: Tratamiento-de-errores.pdf

18 páginas

He publicado nuevos apuntes de 1º Mecánica y Termodinámica: Guia-para-la-realizacion-de-un-informe-1.pdf

2 páginas

He publicado nuevos apuntes de 1º Mecánica y Termodinámica: Constante-elastica-de-un-muelle.pdf

3 páginas

He publicado nuevos apuntes de 1º Mecánica y Termodinámica: Calor-especifico-de-un-solido.pdf

5 páginas

He publicado nuevos apuntes de 1º Mecánica y Termodinámica: Caida-libre.pdf

4 páginas

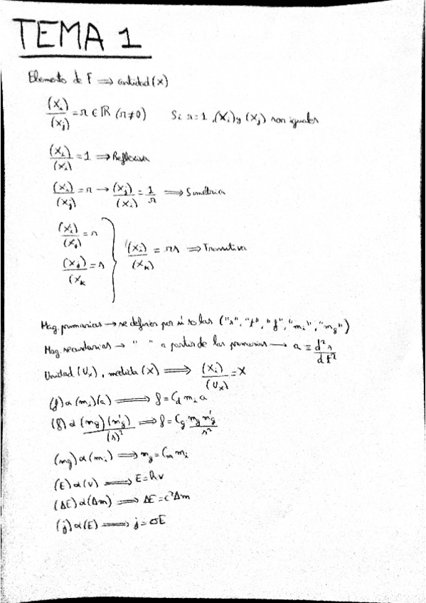
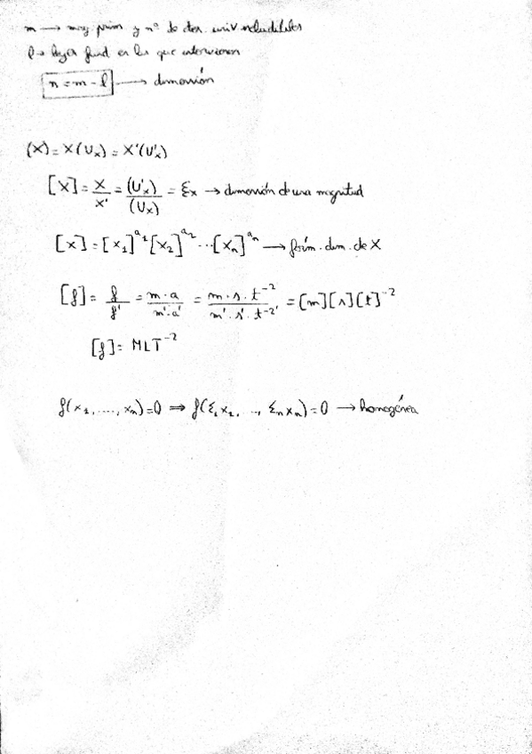
He publicado nuevos apuntes de 1º Mecánica y Termodinámica: Formulario-Mecanica.pdf

2 páginas

Examen final resuelto.

6 páginas

Examen final resuelto.

6 páginas

He publicado nuevos apuntes de 1º Mecánica y Termodinámica: 0101MECTHE_Unit3_Dynamics.pdf

8 páginas

Solución examen mecánica 2025

5 páginas

He publicado nuevos apuntes de 1º Mecánica y Termodinámica: resumencinematica.pdf

4 páginas

Termodinámica completa resumen

7 páginas

He publicado nuevos apuntes de 1º Mecánica y Termodinámica

Miniatura no disponible
https://bancodeapuntesepigijon.blogspot.com/

He publicado nuevos ejercicios de 1º Mecánica y Termodinámica: Exercises-U3.pdf

6 páginas

He publicado nuevos examenes de 1º Mecánica y Termodinámica: EXAMEN-ENERO-2024.pdf

2 páginas

He publicado nuevos examenes de 1º Mecánica y Termodinámica: EXAMEN-MAYO-2024.pdf

2 páginas
Anónimo

@Anónimo

examenes finales de enero, mayo y junio

72 páginas

He publicado nuevos practicas de 1º Mecánica y Termodinámica: 1-Control-Mecanica-2024.pdf

1 página

practicas

-

practicas resueltas

si se necesitan excel con datos calculados pedirlos.

PRACTICA1.pdf
PRACTICA2.pdf
PRACTICA3.pdf

practicas

-

Practicas de laboratorio

He publicado nuevos practicas de 1º Mecánica y Termodinámica: Practicas de laboratorio

caida-libre.xlsx
Muelle.xlsx
Pendulo.xlsx

examenes

-

apuntes y examenes

He publicado nuevos examenes de 1º Mecánica y Termodinámica: apuntes y examenes

Dinamica-de-la-particula-puntual.pdf

examenes

-

CONTROLES 2023 solucion

He publicado nuevos examenes de 1º Mecánica y Termodinámica: CONTROLES 2023 solucion

Control3-2023.pdf
Control2-2023.pdf
CONTROL1-2023.pdf

apuntes

-

EJERCICIOS DE TODOS LOS TEMAS

He publicado nuevos apuntes de 1º Mecánica y Termodinámica: EJERCICIOS DE TODOS LOS TEMAS

Ejercicios-Tema-1.pdf
Ejercicios-Tema-2.pdf
Ejercicios-Tema-3.pdf
Ejercicios-Tema-4.pdf
Ejercicios-Tema-5.pdf
Ejercicios-Tema-6.pdf

He publicado nuevos examenes de 1º Mecánica y Termodinámica: SOLUCIONmayo22.pdf

4 páginas

He publicado nuevos examenes de 1º Mecánica y Termodinámica: SOLUCIONjunio2019.pdf

4 páginas

He publicado nuevos examenes de 1º Mecánica y Termodinámica: SOLUCIONjunio2021.pdf

4 páginas

He publicado nuevos examenes de 1º Mecánica y Termodinámica: SOLUCIONjulio2020.pdf

4 páginas

He publicado nuevos examenes de 1º Mecánica y Termodinámica: SOLUCIONenero2022.pdf

4 páginas

He publicado nuevos examenes de 1º Mecánica y Termodinámica: SOLUCIONenero2021.pdf

5 páginas

He publicado nuevos examenes de 1º Mecánica y Termodinámica: SOLUCIONenero2019.pdf

4 páginas

He publicado nuevos examenes de 1º Mecánica y Termodinámica: SOLUCIONenero2018.pdf

4 páginas

He publicado nuevos examenes de 1º Mecánica y Termodinámica: SOLUCIONenero2017.pdf

4 páginas

He publicado nuevos examenes de 1º Mecánica y Termodinámica: SOLUCIONenero2015.pdf

4 páginas

He publicado nuevos apuntes de 1º Mecánica y Termodinámica: ResumenFormulas-IMPORTANTE.pdf

1 página

apuntes

-

Mecánica y Termo, Exámenes.

Descarga todos y borras lo que no te interese. Hay de todo.

Ejercicios-14.pdf
Ejercicios-15.pdf
Ejercicios-1.pdf
Ejercicios-2.pdf
Ejercicios-3.pdf
Ejercicios-4.pdf

apuntes

-

Mecánica y Termo, PL

He publicado nuevos apuntes de 1º Mecánica y Termodinámica: Mecánica y Termo, PL

CaidaLibre.pdf
Poster-mecanica-50x65cm.pdf
ExcelCaidaLibre.pdf
Datos.pdf

apuntes

-

Mecánica y Termo, Exámenes Resueltos

He publicado nuevos apuntes de 1º Mecánica y Termodinámica: Mecánica y Termo, Exámenes Resueltos

Examenes.pdf

examenes

-

Exámenes mecánica

He publicado nuevos examenes de 1º Mecánica y Termodinámica: Exámenes mecánica

TercerControlSolucion.pdf
SegundoControl.pdf
Solucion1er-control.pdf
ExamenesMT.pdf
MTmayo2016.pdf
MTmayo2018.pdf
Anónimo

@Anónimo

Formulario resumen de la asignatura de mecánica y termodinámica

26 páginas
Anónimo

@Anónimo

He publicado nuevos apuntes de 1º Mecánica y Termodinámica: Tiro-oblicuo-.jpg

Imagen
Anónimo

@Anónimo

examenes

-

MECANICA Y TERMODINAMICA

He publicado nuevos examenes de 1º Mecánica y Termodinámica: MECANICA Y TERMODINAMICA

MTjunio2019.pdf
MTEnero2019.pdf
MTmayo2019.pdf
MTjunio2018.pdf
Anónimo

@Anónimo

He publicado nuevos examenes de 1º Mecánica y Termodinámica: SolMTenero2020.pdf

4 páginas

He publicado nuevos apuntes de 1º Mecánica y Termodinámica: Apuntes-y-ejercicios-mecanica-y-termodinamica.pdf

47 páginas

He publicado nuevos ejercicios de 1º Mecánica y Termodinámica: mechanics-exercises.pdf

30 páginas

He publicado nuevos apuntes de 1º Mecánica y Termodinámica: formulariomecanica.pdf

2 páginas

examenes

-

Colección de 10 Exámenes

He publicado nuevos examenes de 1º Mecánica y Termodinámica: Colección de 10 Exámenes

2011 Enero .pdf
2011 Junio.pdf
2012 Enero.pdf
2012 Junio.pdf
2013 Enero.pdf
2013 Junio.pdf

He publicado nuevos practicas de 1º Mecánica y Termodinámica: Vuelco.xlsx

excel

He publicado nuevos practicas de 1º Mecánica y Termodinámica: Calor específico.xlsx

excel

He publicado nuevos practicas de 1º Mecánica y Termodinámica: Péndulo.xlsx

excel

He publicado nuevos practicas de 1º Mecánica y Termodinámica: Caída libre.xls

excel

He publicado nuevos practicas de 1º Mecánica y Termodinámica: Pérdida de energía.xlsx

excel
¡Estás al día!

¡Estás al día!

Has visto todos los archivos