chevron_left
chevron_right
Todo
Apuntes
Ejercicios
Exámenes
Prácticas
chevron_left
chevron_right

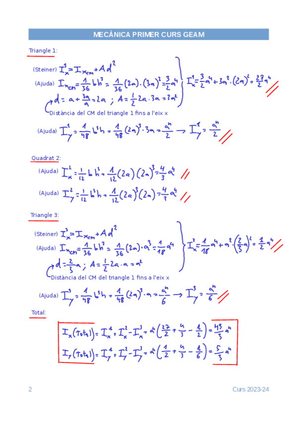
puntuado con 7.625

word

Nota: 10

1 página

He publicado nuevos examenes de 1º Mecánica: Prova1resolucio-Mecanica-23-24.pdf

4 páginas

He publicado nuevos examenes de 1º Mecánica: Prova2resolucio-Mecanica-23-24.pdf

6 páginas

He publicado nuevos apuntes de 1º Mecánica: Formulari-Temes-1-7.pdf

2 páginas

examenes

-

Exámenes 2011-2016

He publicado nuevos examenes de 1º Mecánica: Exámenes 2011-2016

2014-Segon-parcial-05-09recuperacio.pdf
2014-02-Primer-parcial-amb-solucions.pdf
2014-02-Segon-parcial-amb-solucions.pdf
2014-2015-PrimerParcial.pdf
2014-2015-PrimerParcial2.pdf
2014-2015-SegonParcial.pdf

He publicado nuevos apuntes de 1º Mecánica: Estatica.pdf

1 página

He publicado nuevos apuntes de 1º Mecánica: Trigonometria.pdf

1 página

He publicado nuevos apuntes de 1º Mecánica: Vectors.pdf

1 página
¡Estás al día!

¡Estás al día!

Has visto todos los archivos