chevron_left
chevron_right
Todo
Apuntes
Ejercicios
Exámenes
Prácticas
chevron_left
chevron_right

apuntes

-

Apuntes de todo el temario a ordenador

He publicado nuevos apuntes de 4º Medidas de Ruido y Legislación: Apuntes de todo el temario a ordenador

Tema-1.pdf
Tema-2.pdf
Tema-3.pdf
Tema-4.pdf
Tema-5.pdf
Tema-6.pdf

He publicado nuevos examenes de 4º Medidas de Ruido y Legislación: Problema-Examen-2021.pdf

4 páginas

He publicado nuevos apuntes de 4º Medidas de Ruido y Legislación: Ejercicios-de-Todo-el-temario-2021.pdf

23 páginas

He publicado nuevos ejercicios de 4º Medidas de Ruido y Legislación: Boletin-2o-Parcial-2021-Y-Problema-Examen.pdf

12 páginas

He publicado nuevos ejercicios de 4º Medidas de Ruido y Legislación: Boletin-1er-Parcial-2021.pdf

11 páginas

apuntes

-

Formularios Parte 1 y 2

He publicado nuevos apuntes de 4º Medidas de Ruido y Legislación: Formularios Parte 1 y 2

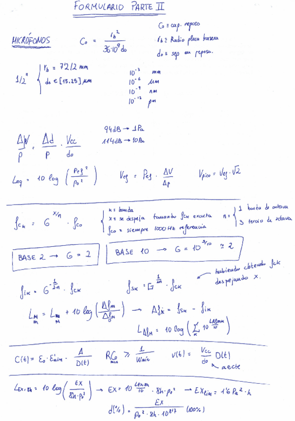
Ruido-Formulario-1.pdf
Ruido-formulario-2.pdf

apuntes

-

Boletines 1 y 2 resueltos

He publicado nuevos apuntes de 4º Medidas de Ruido y Legislación: Boletines 1 y 2 resueltos

Ruido-bol-1.pdf
Ruido-bol-2.pdf
Anónimo

@Anónimo

ejercicios

-

Boletines resueltos

He publicado nuevos ejercicios de 4º Medidas de Ruido y Legislación: Boletines resueltos

Boletin 2 de MRYL.pdf
Boletin 1 de Ruido Completo.pdf
Anónimo

@Anónimo

examenes

-

Parciales 2018-19

He publicado nuevos examenes de 4º Medidas de Ruido y Legislación: Parciales 2018-19

Primer parcial 2018-19 MRYL.pdf
Segundo parcial 2018-19 MRYL.pdf
Anónimo

@Anónimo

practicas

-

Prácticas 2018-19

He publicado nuevos practicas de 4º Medidas de Ruido y Legislación: Prácticas 2018-19

Memoria P1 - Ruido.pdf
Memoria P4 - Ruido.pdf
Memoria P6 - Ruido.pdf
Memoria P5 - Ruido.pdf
Practica 3.zip
Miniatura no disponible
Practica 2.zip

ejercicios

-

Boletín 2

He publicado nuevos ejercicios de 4º Medidas de Ruido y Legislación: Boletín 2

P4.jpg
P5.jpg
P6.jpg
P7.JPG
P8.jpg
P9.jpg

apuntes

-

RESÚMENES TEMAS

He publicado nuevos apuntes de 4º Medidas de Ruido y Legislación: RESÚMENES TEMAS

Resumen Tema 4.pdf
Resumen Tema 5.pdf
Resumen Tema 2.pdf
Resumen Tema 9.pdf
Resumen Tema 1.pdf
Resumen Tema 3.pdf

ejercicios

-

BOLETINES

He publicado nuevos ejercicios de 4º Medidas de Ruido y Legislación: BOLETINES

Boletín 1.pdf
Boletín 2.pdf

apuntes

-

DIAPOSITIVAS TEMAS 1-5 (con anotaciones de clase en comentarios)

He publicado nuevos apuntes de 4º Medidas de Ruido y Legislación: DIAPOSITIVAS TEMAS 1-5 (con anotaciones de clase en comentarios)

3 Magnitudes y niveles.rar
1 Ruido y efectos sobre la salud.rar
4 Sonómetro. Especificaciones.rar
2 Fuentes del ruido.rar
Miniatura no disponible
5 Sonómetro. Captura de la señal.rar

practicas

-

Práctica 1

He publicado nuevos practicas de 4º Medidas de Ruido y Legislación: Práctica 1

drive-download-20161111T113458Z.zip
Práctica 1.pdf

practicas

-

Práctica 5

He publicado nuevos practicas de 4º Medidas de Ruido y Legislación: Práctica 5

Cálculos correcciones.xlsx
Enunciado P5.pdf
P5 SaraDP.pdf

He publicado nuevos practicas de 4º Medidas de Ruido y Legislación: Enunciado P4.pdf

5 páginas

He publicado nuevos practicas de 4º Medidas de Ruido y Legislación: p2_SaraDP.pdf

10 páginas

apuntes

-

DIAPOSITIVAS TEMAS 6-9 (con anotaciones de clase en comentarios)

He publicado nuevos apuntes de 4º Medidas de Ruido y Legislación: DIAPOSITIVAS TEMAS 6-9 (con anotaciones de clase en comentarios)

8 Procedimientos generales de medición.rar
7 Otros instrumentos de medida.rar
9 Legislación.rar
6 Sonómetro. Accesorios y calibración.rar

He publicado nuevos practicas de 4º Medidas de Ruido y Legislación: p3_SaraDP.pdf

9 páginas

apuntes

-

Algunos apuntes de la asignatura

He publicado nuevos apuntes de 4º Medidas de Ruido y Legislación: Algunos apuntes de la asignatura

Tema 1 - Ruido y efectos sobre la salud.pdf
Tema 2 - Fuentes del ruido.pdf
Tema 3 - Magnitudes y niveles.pdf
Tema 4 - Sonómetro - Especificaciones.pdf
Tema 5 - Sonómetro - Captura de la señal(1).pdf
Tema 7 - Otros instrumentos de medida.pdf

practicas

-

Datos obtenidos en práticas

He publicado nuevos practicas de 4º Medidas de Ruido y Legislación: Datos obtenidos en práticas

prac2_ruido.zip
datos_prac3.zip
datos_prac4.zip
datos_prac5.zip
prac1_ruido.zip

practicas

-

Informes de prácticas de la asignatura

He publicado nuevos practicas de 4º Medidas de Ruido y Legislación: Informes de prácticas de la asignatura

Informe de práctica 1.pdf
Informe de práctica 2.pdf
Informe de práctica 3.pdf
Informe de práctica 4.pdf
Informe de práctica 5.pdf

He publicado nuevos apuntes de 4º Medidas de Ruido y Legislación: resumen_tema8.pdf

4 páginas

He publicado nuevos apuntes de 4º Medidas de Ruido y Legislación: resumen_tema1.pdf

2 páginas

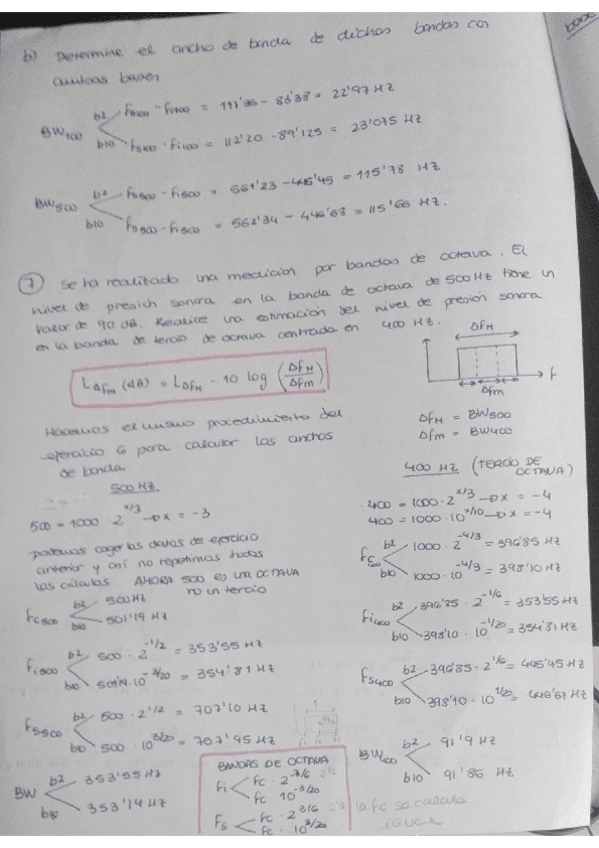
He publicado nuevos ejercicios de 4º Medidas de Ruido y Legislación: algunos_problemas_resueltos.pdf

5 páginas

He publicado nuevos apuntes de 4º Medidas de Ruido y Legislación: resumen_tema7.pdf

8 páginas

He publicado nuevos ejercicios de 4º Medidas de Ruido y Legislación: boletin 2.pdf

4 páginas

He publicado nuevos ejercicios de 4º Medidas de Ruido y Legislación: boletin 1.pdf

8 páginas
¡Estás al día!

¡Estás al día!

Has visto todos los archivos