Mètodes Matemàtics I
He publicado nuevos examenes de 1º Mètodes Matemàtics I: Dossier-Mates-Completo.pdf
Este dossier tiene teoria, ejercicios, examanes para el Parcial Final
He publicado nuevos apuntes de 1º Mètodes Matemàtics I: SolucionarioMetodos1Seminario4.pdf
He publicado nuevos examenes de 1º Mètodes Matemàtics I: PARCIAL-2025-M1.pdf
Innove https://innoveai.netlify.app/matematicas?tab=teoria

Apunts mètodes matemàtics parcial 1 Tema 1 i 2 (nombres complexos + derivació)
apuntes
-
formulario primer parcial mates 1
Formulario del primer bimestre de metodos matematicos 1
He publicado nuevos apuntes de 1º Mètodes Matemàtics I: MM1-Seminari-2B-Resolucion-paso-a-paso-1010.pdf
He publicado nuevos examenes de 1º Mètodes Matemàtics I: Metodes-Matematics-I-1r-Parcial-Opcion-C-04102022.pdf
He publicado nuevos examenes de 1º Mètodes Matemàtics I: PARCIAL-1-2020.pdf
apuntes
-
MATES TEMA 1,2,3
He publicado nuevos apuntes de 1º Mètodes Matemàtics I: MATES TEMA 1,2,3
He publicado nuevos examenes de 1º Mètodes Matemàtics I: SEMINARIO-EXAMEN.pdf
He publicado nuevos examenes de 1º Mètodes Matemàtics I: MetodesMatematicsI-GREFI-P1-2021-resolt-2-7.pdf
He publicado nuevos apuntes de 1º Mètodes Matemàtics I: MetodesMatematicsI-GREFI-P1041122-2-5.pdf
He publicado nuevos apuntes de 1º Mètodes Matemàtics I: Tema3diagonalitzacio.pdf
He publicado nuevos apuntes de 1º Mètodes Matemàtics I: nombres-complexos.pdf
ejercicios
-
Problemas Tema 4 - Diagonalización de matrices
He publicado nuevos ejercicios de 1º Mètodes Matemàtics I: Problemas Tema 4 - Diagonalización de matrices
apuntes
-
Teoría Tema 4 - Diagonalización de matrices
He publicado nuevos apuntes de 1º Mètodes Matemàtics I: Teoría Tema 4 - Diagonalización de matrices
ejercicios
-
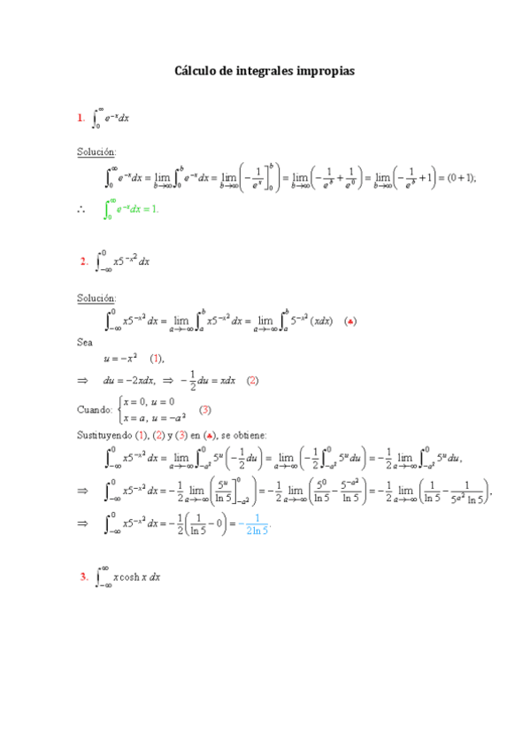
Problemas Tema 3 - Integración
He publicado nuevos ejercicios de 1º Mètodes Matemàtics I: Problemas Tema 3 - Integración
apuntes
-
Teoría Tema 3 - Integración
He publicado nuevos apuntes de 1º Mètodes Matemàtics I: Teoría Tema 3 - Integración
apuntes
-
Tema 2 - Derivación de funciones de una variable
He publicado nuevos apuntes de 1º Mètodes Matemàtics I: Tema 2 - Derivación de funciones de una variable
apuntes
-
Tema 1 - Números complejos
He publicado nuevos apuntes de 1º Mètodes Matemàtics I: Tema 1 - Números complejos
examenes
-
Examenes otros años
He publicado nuevos examenes de 1º Mètodes Matemàtics I: Examenes otros años
He publicado nuevos apuntes de 1º Mètodes Matemàtics I: ApuntesMetodesMatematicsI.pdf
apuntes
-
Cálculo
He publicado nuevos apuntes de 1º Mètodes Matemàtics I: Cálculo
¡Estás al día!
Has visto todos los archivos
