chevron_left
chevron_right
Todo
Apuntes
Ejercicios
chevron_left
chevron_right

He publicado nuevos ejercicios de 2º Mètodes Numèrics: Seminario-4.pdf

7 páginas

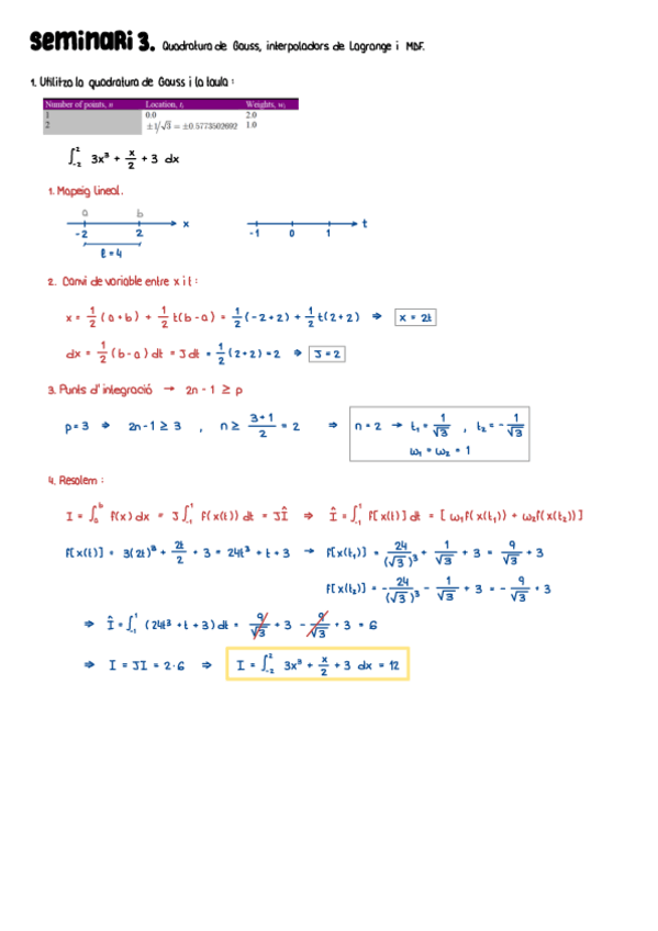
He publicado nuevos ejercicios de 2º Mètodes Numèrics: Seminario-3.pdf

4 páginas

He publicado nuevos ejercicios de 2º Mètodes Numèrics: Seminario-3-Casa.pdf

6 páginas

He publicado nuevos ejercicios de 2º Mètodes Numèrics: Seminario-2.pdf

6 páginas

He publicado nuevos ejercicios de 2º Mètodes Numèrics: Seminario-2-Casa.pdf

3 páginas

He publicado nuevos ejercicios de 2º Mètodes Numèrics: Seminario-1.pdf

7 páginas

He publicado nuevos ejercicios de 2º Mètodes Numèrics: Seminario-1-Casa.pdf

4 páginas

He publicado nuevos apuntes de 2º Mètodes Numèrics: Resumen-Metodos-Numericos.pdf

15 páginas

ejercicios

-

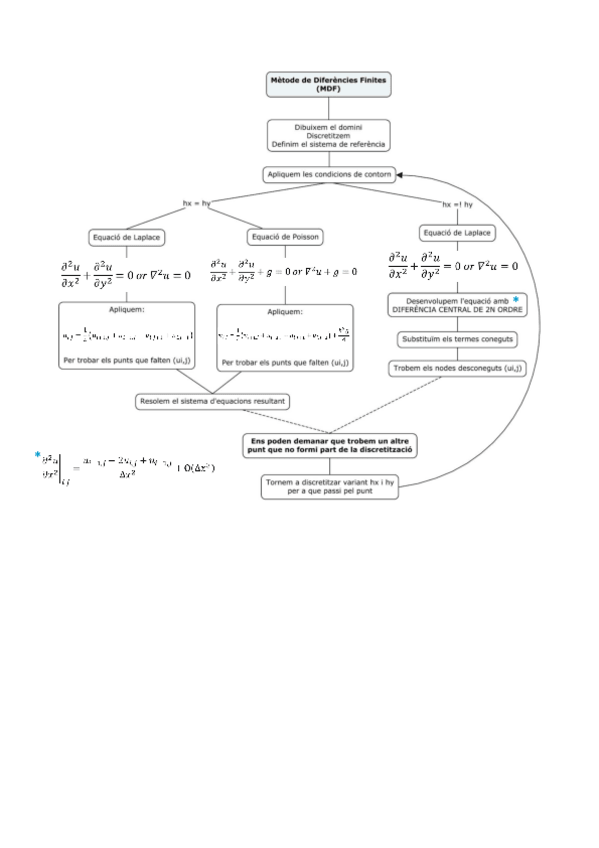
SEMINARIS - MÈTODES NUMÈRICS

Seminarios para entregar y para hacer en casa resueltos

SEMI-1-Casa.pdf
SEMI-1-Entrega.pdf
SEMI-2-CASA.pdf
SEMI-2-ENTREGA.pdf
SEMI-3-CASA.pdf
SEMI-3-ENTREGA.pdf

He publicado nuevos apuntes de 2º Mètodes Numèrics: Guion-practicas-Abaqus-Metodos-numericos.pdf

13 páginas
Anónimo

@Anónimo

apuntes

-

Apunts

He publicado nuevos apuntes de 2º Mètodes Numèrics: Apunts

Resum.pdf
Resum-teoria.pdf
¡Estás al día!

¡Estás al día!

Has visto todos los archivos