Metodología de la Programación

Todo
Apuntes
Ejercicios
Exámenes
Otros
Prácticas
publication
Test
chevron_left
chevron_right

He publicado nuevos examenes de 1º Metodología de la Programación: Ejercicio-Examen-Analisis.pdf

3 páginas
Anónimo

@Anónimo

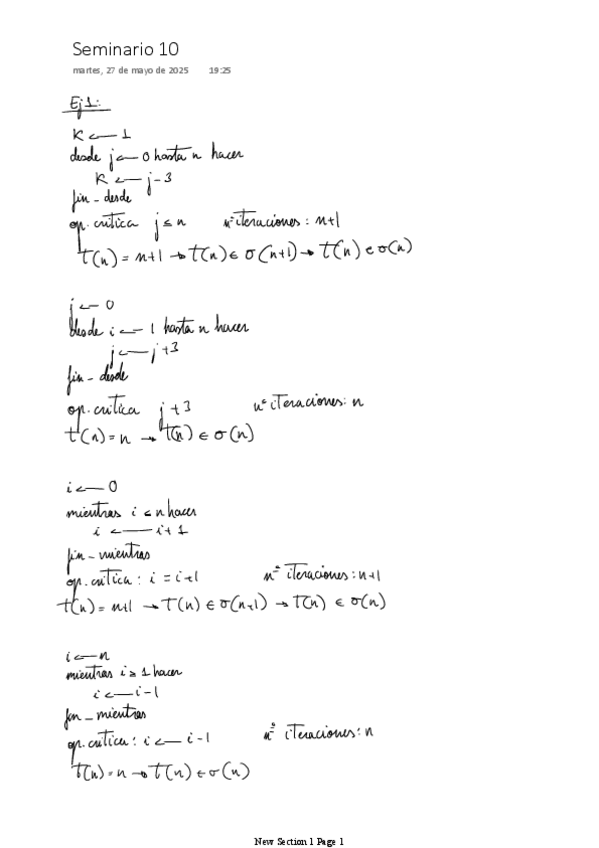
He publicado nuevos ejercicios de 1º Metodología de la Programación: Seminario-10.pdf

4 páginas

Ejercicio de diseño de función recursiva del examen de junio 24/25

1 página
Anónimo

@Anónimo

Ejercicio de modularidad del examen de junio 24/25

1 página
Anónimo

@Anónimo

Ejercicio resuelto número complementario

1 página
Anónimo

@Anónimo

Ejercicios resueltos de recursividad modelo examen

8 páginas
Anónimo

@Anónimo

He publicado nuevos apuntes de 1º Metodología de la Programación: Plantilla-RESUMIDA-transformaciones.pdf

8 páginas
Anónimo

@Anónimo

He publicado nuevos apuntes de 1º Metodología de la Programación: Plantilla-verificacion-bloque-1.pdf

2 páginas
Anónimo

@Anónimo

He publicado nuevos apuntes de 1º Metodología de la Programación: Plantilla-para-ejercicios-de-Analisis.pdf

2 páginas

He publicado nuevos apuntes de 1º Metodología de la Programación: Toda-la-Teoria-de-MP.pdf

49 páginas

Esquema de lo que suele preguntar en el examen.

4 páginas

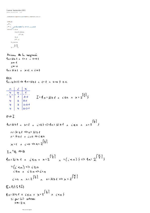
He publicado nuevos examenes de 1º Metodología de la Programación: Examen-Septiembre-2023-Solo-verificacion-Resuelto.pdf

3 páginas

apuntes

-

RESÚMENES TEORÍA MP

Resúmenes de los temas de Metodología de la Programación

MP 1. Modularidad_Re.pdf
MP 2. Verificación Formal de Algoritmos_Re.pdf
MP 3. Prueba del Software_Re.pdf
MP 4. Recursividad_Re.pdf
MP 5. Análisis de Algoritmos_Re.pdf

APRUEBA MP siguiendo ➡️ESTOS⬅️ criterios

5 páginas

He publicado nuevos examenes de 1º Metodología de la Programación: Parte-del-Examen-Enero-2023-Resuelto.pdf

7 páginas

He publicado nuevos examenes de 1º Metodología de la Programación: Parte-del-Examen-Junio-2023-Resuelto.pdf

6 páginas

He publicado nuevos practicas de 1º Metodología de la Programación: TransformacionRecursividad12.pdf

4 páginas

He publicado nuevos practicas de 1º Metodología de la Programación: TransformacionRecursividad13.pdf

3 páginas

He publicado nuevos practicas de 1º Metodología de la Programación: Transformacion-Recursividad11.pdf

4 páginas

He publicado nuevos practicas de 1º Metodología de la Programación: Transformacion-Recursividad10.pdf

4 páginas

He publicado nuevos practicas de 1º Metodología de la Programación: Recursividad-practica11.pdf

3 páginas

He publicado nuevos practicas de 1º Metodología de la Programación: Recursividad-practica10.pdf

4 páginas

He publicado nuevos practicas de 1º Metodología de la Programación: Recursividad-practica11.pdf

4 páginas

He publicado nuevos practicas de 1º Metodología de la Programación: Recursividad-practica10.pdf

4 páginas

He publicado nuevos practicas de 1º Metodología de la Programación: Recursividad-practica11.pdf

4 páginas

He publicado nuevos practicas de 1º Metodología de la Programación: Recursividad-practica10.pdf

4 páginas
Anónimo

@Anónimo

practicas

-

Transformaciones Recursivas

He publicado nuevos practicas de 1º Metodología de la Programación: Transformaciones Recursivas

TransfRec10.pdf
TransfRec11.pdf
TransfRec12.pdf
TransfRec13.pdf
Anónimo

@Anónimo

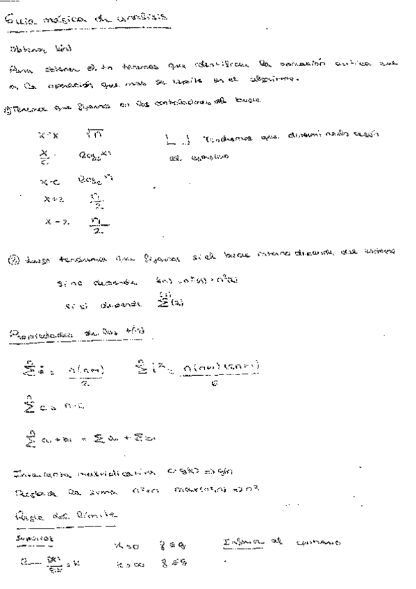
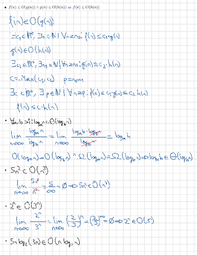
He publicado nuevos ejercicios de 1º Metodología de la Programación: Seminario-10-Analisis.pdf

6 páginas
Anónimo

@Anónimo

He publicado nuevos ejercicios de 1º Metodología de la Programación: Seminario-9-Analisis.pdf

2 páginas

apuntes

-

TODOS LOS TEMAS TEORIA

He publicado nuevos apuntes de 1º Metodología de la Programación: TODOS LOS TEMAS TEORIA

Tema-1-Diseno-modular.pdf
Tema-3-MP.pdf

apuntes

-

Teoria temas MP

He publicado nuevos apuntes de 1º Metodología de la Programación: Teoria temas MP

Tema-1-Diseno-Modular.pdf
Tema-2-Verificacion.pdf
Tema-3-Prueba-del-Software.pdf

apuntes

-

TODOS LOS TEMAS DE MP CON EJEMPLOS RESUELTOS DE CLASE

He publicado nuevos apuntes de 1º Metodología de la Programación: TODOS LOS TEMAS DE MP CON EJEMPLOS RESUELTOS DE CLASE

Tema-1-Diseno-Modular.pdf
Tema-2-Verificacion-Formal-de-Algoritmos.pdf

Resumen de la Práctica 1 de Metodología de la Programación

4 páginas

Resumen presentación práctica 1

12 páginas

METODOLOGÍA DE LA PROGRAMACIÓN - pookietech

7 páginas

Apuntes Tema 1

4 páginas

He publicado nuevos apuntes de 1º Metodología de la Programación: Tema-1-Modularidad.pdf

13 páginas

He publicado nuevos apuntes de 1º Metodología de la Programación: SoraMetodologiaP1.pdf

5 páginas

He publicado nuevos ejercicios de 1º Metodología de la Programación: Seminario7-Recursividad.pdf

9 páginas

He publicado nuevos ejercicios de 1º Metodología de la Programación: Seminario6-VerificacionRecursivas.pdf

8 páginas

He publicado nuevos ejercicios de 1º Metodología de la Programación: Seminario5-Verificación.pdf

11 páginas

He publicado nuevos ejercicios de 1º Metodología de la Programación: Seminario4-Verificación.pdf

10 páginas

He publicado nuevos ejercicios de 1º Metodología de la Programación: Seminario3-Verificación.pdf

6 páginas

He publicado nuevos ejercicios de 1º Metodología de la Programación: Seminario2-Verificación.pdf

5 páginas

He publicado nuevos ejercicios de 1º Metodología de la Programación: Seminario1-Verificación.pdf

5 páginas

He publicado nuevos ejercicios de 1º Metodología de la Programación: k-esimo-menor-ejercicio-recursividad-junio-2024.pdf

1 página

He publicado nuevos apuntes de 1º Metodología de la Programación: ejercicio-recursividad-numero-complementario.pdf

1 página

He publicado nuevos ejercicios de 1º Metodología de la Programación: ejercicio-recursividad-resuelto.pdf

1 página

He publicado nuevos ejercicios de 1º Metodología de la Programación: numero-mayoritario-recursividad.pdf

1 página

He publicado nuevos apuntes de 1º Metodología de la Programación: Ejercicios-Tema-3.pdf

5 páginas

He publicado nuevos apuntes de 1º Metodología de la Programación: Preguntas-examen.pdf

3 páginas

He publicado nuevos apuntes de 1º Metodología de la Programación: Ejercicios-Examen-Tema-5-MP.pdf

6 páginas

He publicado nuevos apuntes de 1º Metodología de la Programación: Resumen-Basico-MP.pdf

5 páginas
Anónimo

@Anónimo

He publicado nuevos examenes de 1º Metodología de la Programación: Ejercicio-recursividad-sudoku.pdf

3 páginas

ejercicios

-

EjsRec ResueltosComentados

Ánimo!

Ej1Rec.pdf
Ej3Rec.pdf
Ej4Rec.pdf
productoEscalarRec.pdf
EscaleraMasLargaRec.pdf
Anónimo

@Anónimo

He publicado nuevos ejercicios de 1º Metodología de la Programación: transformacion-ejercicio.pdf

4 páginas
Anónimo

@Anónimo

He publicado nuevos ejercicios de 1º Metodología de la Programación: verificacion-ejercicio.pdf

3 páginas
Anónimo

@Anónimo

He publicado nuevos ejercicios de 1º Metodología de la Programación: analisis-resueltos.pdf

5 páginas
Anónimo

@Anónimo

He publicado nuevos apuntes de 1º Metodología de la Programación: EjerciciosAnalisis.pdf

2 páginas
Anónimo

@Anónimo

He publicado nuevos apuntes de 1º Metodología de la Programación: GUIA-ANALISIS.pdf

1 página