MÉTODOS ANALÍTICOS PARA EDO

chevron_left
chevron_right
Todo
Apuntes
Ejercicios
Exámenes
chevron_left
chevron_right

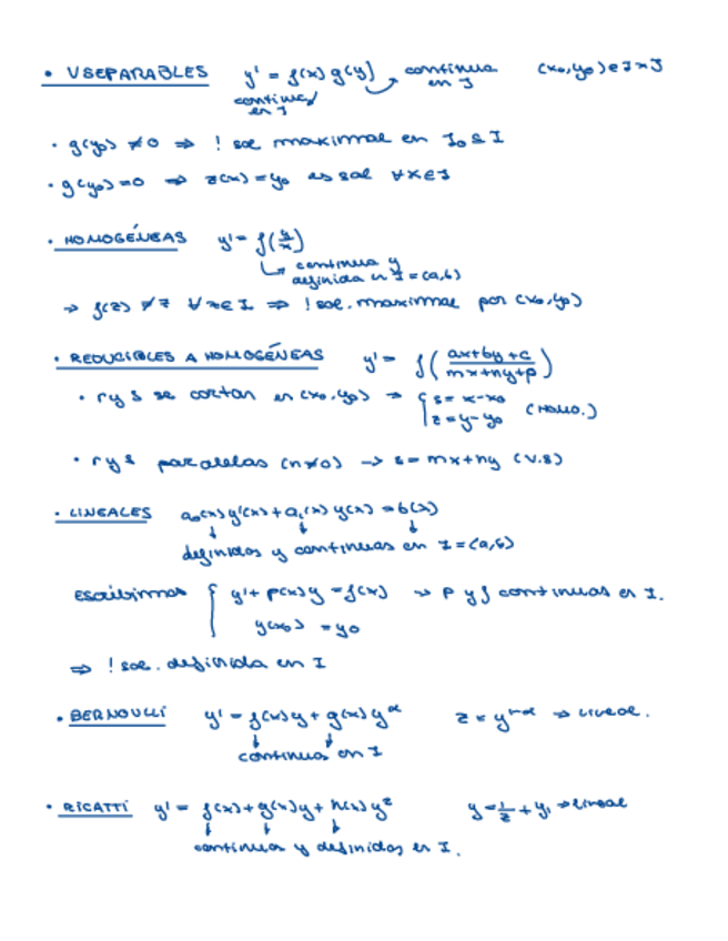
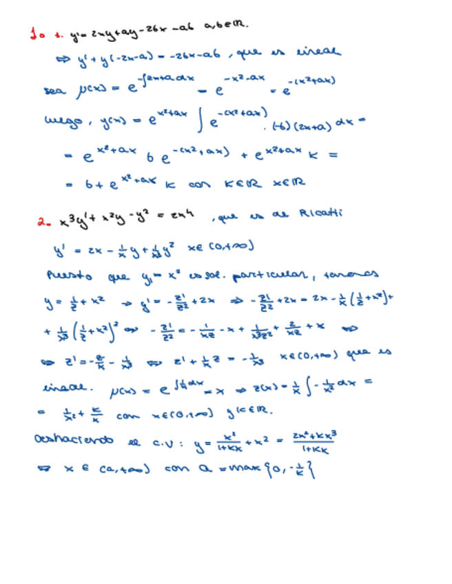
Resúmen del temario de MAEDO.

11 páginas

apuntes

-

Apuntes profesor

He publicado nuevos apuntes de 2º MÉTODOS ANALÍTICOS PARA EDO: Apuntes profesor

Tema-2.-Metodos-elementales-de-integracion.pdf
Tema-3.-Teoremas-fundamentales-de-EDO.pdf
Tema-4.-Ecuaciones-y-sistemas-lineales.pdf
Tema-5.-Sistemas-de-EDO-con-coef-ctes.pdf

apuntes

-

Resumen

He publicado nuevos apuntes de 2º MÉTODOS ANALÍTICOS PARA EDO: Resumen

Resumen-MAEDO.pdf
Resumen-MAEDO.pdf
Anónimo

@Anónimo

He publicado nuevos ejercicios de 2º MÉTODOS ANALÍTICOS PARA EDO: TD-3-Ecuaciones-diferenciales-lineales-de-orden-superior-o-igual-a-2.pdf

15 páginas
Anónimo

@Anónimo

He publicado nuevos apuntes de 2º MÉTODOS ANALÍTICOS PARA EDO: TD-1-Ecuaciones-diferenciales-exactas-homogeneas.pdf

7 páginas
Anónimo

@Anónimo

He publicado nuevos apuntes de 2º MÉTODOS ANALÍTICOS PARA EDO: TD-2-Ecuaciones-diferenciales-lineales-de-primer-orden.pdf

8 páginas
Anónimo

@Anónimo

He publicado nuevos ejercicios de 2º MÉTODOS ANALÍTICOS PARA EDO: TD-4-Ecuaciones-historicas-sistemas-series.pdf

15 páginas
Anónimo

@Anónimo

He publicado nuevos apuntes de 2º MÉTODOS ANALÍTICOS PARA EDO: Examen-parcial1.pdf

9 páginas
Anónimo

@Anónimo

He publicado nuevos examenes de 2º MÉTODOS ANALÍTICOS PARA EDO: Convocatoria-ordinaria-enero-2025.pdf

15 páginas
Anónimo

@Anónimo

He publicado nuevos examenes de 2º MÉTODOS ANALÍTICOS PARA EDO: Examen-parcial2.pdf

6 páginas

ejercicios

-

Ejercicios de examen Tema 4

He publicado nuevos ejercicios de 2º MÉTODOS ANALÍTICOS PARA EDO: Ejercicios de examen Tema 4

Enunciados.pdf
Solucionario.pdf

ejercicios

-

Ejercicios de examen Tema 3

He publicado nuevos ejercicios de 2º MÉTODOS ANALÍTICOS PARA EDO: Ejercicios de examen Tema 3

Enunciados.pdf
Solucionario.pdf

ejercicios

-

Ejercicios de examen Tema 2

He publicado nuevos ejercicios de 2º MÉTODOS ANALÍTICOS PARA EDO: Ejercicios de examen Tema 2

Enunciados.pdf
Solucionario.pdf

apuntes

-

Apuntes MAEDO

He publicado nuevos apuntes de 2º MÉTODOS ANALÍTICOS PARA EDO: Apuntes MAEDO

RESUMENES-MUY-RESUMIDOS-MAEDO.pdf
MAEDO-APUNTES-TEMA-1.pdf
MAEDO-APUNTES-TEMA-2.pdf
MAEDO-APUNTES-TEMA-3.pdf
MAEDO-APUNTES-TEMA-4.pdf
MAEDO-APUNTES-TEMA-5.pdf

He publicado nuevos ejercicios de 2º MÉTODOS ANALÍTICOS PARA EDO: TD.4.Maedo.pdf

17 páginas

He publicado nuevos examenes de 2º MÉTODOS ANALÍTICOS PARA EDO: Parcial2Maedo2425.pdf

4 páginas

apuntes

-

resúmenes maedo

He publicado nuevos apuntes de 2º MÉTODOS ANALÍTICOS PARA EDO: resúmenes maedo

aplic.fisicas-maedo.pdf
ejemplos-t3-maedo.pdf
superresumen-edos.pdf
tipos-edos.pdf

examenes

-

exámenes maedo

He publicado nuevos examenes de 2º MÉTODOS ANALÍTICOS PARA EDO: exámenes maedo

final-maedo-07-2016.pdf
maedo-final-01-2017.pdf
maedo-final-01-2021.pdf
maedo-final-01-2022.pdf
maedo-final-01-2023.pdf
maedo-final-06-2023.pdf

apuntes

-

ejemplos edos

He publicado nuevos apuntes de 2º MÉTODOS ANALÍTICOS PARA EDO: ejemplos edos

ej-maedo-bernoulli.pdf
ej-maedo-clairaut.pdf
ej-maedo-diferenciales-lineales.pdf
ej-maedo-exactas.pdf
ej-maedo-homogeneas.pdf
ej-maedo-lagrange.pdf

ejercicios

-

ejercicios maedo

He publicado nuevos ejercicios de 2º MÉTODOS ANALÍTICOS PARA EDO: ejercicios maedo

hoja2-maedo.pdf
hoja4-maedo.pdf
hoja5-maedo.pdf

ejercicios

-

Ejercicios de examen Tema 1

He publicado nuevos ejercicios de 2º MÉTODOS ANALÍTICOS PARA EDO: Ejercicios de examen Tema 1

Enunciados.pdf
Solucionario.pdf

ejercicios

-

Tema 5: Soluciones en forma de serie de potencias

He publicado nuevos ejercicios de 2º MÉTODOS ANALÍTICOS PARA EDO: Tema 5: Soluciones en forma de serie de potencias

Enunciados-Teoria-y-ejemplos-T5.pdf
Solucionario-Teoria-y-ejemplos-T5.pdf

ejercicios

-

Tema 4: Sistemas de edo's con coeficientes constantes

He publicado nuevos ejercicios de 2º MÉTODOS ANALÍTICOS PARA EDO: Tema 4: Sistemas de edo's con coeficientes constantes

Enunciados-Teoria-y-ejemplos-T4.pdf
Solucionario-Teoria-y-ejemplos-T4.pdf

ejercicios

-

Tema 3: Ecuaciones y sistemas lineales

He publicado nuevos ejercicios de 2º MÉTODOS ANALÍTICOS PARA EDO: Tema 3: Ecuaciones y sistemas lineales

Enunciados Teoría y ejemplos T3.pdf
Solucionario Teoría y ejemplos T3.pdf

ejercicios

-

Tema 2: Teoremas Fundamentales

He publicado nuevos ejercicios de 2º MÉTODOS ANALÍTICOS PARA EDO: Tema 2: Teoremas Fundamentales

Enunciados Teoría y ejemplos T2.pdf
Solucionario Teoría y ejemplos T2.pdf

ejercicios

-

Tema 1: Métodos de resolución de edo's

He publicado nuevos ejercicios de 2º MÉTODOS ANALÍTICOS PARA EDO: Tema 1: Métodos de resolución de edo's

Enunciados-Teoria-ejemplos-T1.pdf
Solucionario-Teoria-ejemplos-T1.pdf

He publicado nuevos apuntes de 2º MÉTODOS ANALÍTICOS PARA EDO: 4.-Transformada-de-Laplace.pdf

21 páginas

He publicado nuevos apuntes de 2º MÉTODOS ANALÍTICOS PARA EDO: 3.-Series-de-potencias.pdf

32 páginas

apuntes

-

Apuntes Maedo

He publicado nuevos apuntes de 2º MÉTODOS ANALÍTICOS PARA EDO: Apuntes Maedo

tema5.pdf
tema4.pdf
tema3.pdf
mini-resumen-tema-2.pdf

He publicado nuevos examenes de 2º MÉTODOS ANALÍTICOS PARA EDO: parcialMAEDO.pdf

1 página

ejercicios

-

Ejercicios resueltos (hojas, examenes...))

Hojas de MAEDO resueltas y examenes resueltos

EXAMENES-MAEDO.pdf
HOJA-2-MAEDO.pdf
HOJA-3-MAEDO.pdf
HOJA-4-MAEDO.pdf
HOJA-5-MAEDO.pdf
HOJA-7-MAEDO.pdf

apuntes

-

Teoría MAEDO

He publicado nuevos apuntes de 2º MÉTODOS ANALÍTICOS PARA EDO: Teoría MAEDO

Tema-1-MAEDO.pdf
Tema-2-MAEDO.pdf
Tema-3-MAEDO.pdf
Tema-4-MAEDO.pdf
Tema-5-MAEDO.pdf
Anónimo

@Anónimo

examenes

-

Exámenes MAEDO

He publicado nuevos examenes de 2º MÉTODOS ANALÍTICOS PARA EDO: Exámenes MAEDO

examenc2maedofis.pdf
Examenfinal1920.pdf
examen-final-evaluacion-continua-3.pdf

He publicado nuevos apuntes de 2º MÉTODOS ANALÍTICOS PARA EDO: MAEDOapuntes.pdf

62 páginas

He publicado nuevos examenes de 2º MÉTODOS ANALÍTICOS PARA EDO: Final-maedo-2017-mates.pdf

21 páginas
Anónimo

@Anónimo

apuntes

-

Ejercicios y exámenes

He publicado nuevos apuntes de 2º MÉTODOS ANALÍTICOS PARA EDO: Ejercicios y exámenes

Ej-5-parcial-corregido.pdf
Mas-problemas-de-EDO.pdf
Examen-final-2018-hecho.pdf
Hoja-2-hecha.pdf
Hoja-5-hecha.pdf
Hoja-3-hecha.pdf
Anónimo

@Anónimo

apuntes

-

Teoría

He publicado nuevos apuntes de 2º MÉTODOS ANALÍTICOS PARA EDO: Teoría

Resumen-Tema-1.pdf
Resumen-Tema-2.pdf
Tema-4-Soluciones-en-forma-de-serie-de-porencias.pdf
Tema-1-Intro-a-las-EDO-Parte-1.pdf
Tema-2-ED-Lineales-de-orden-superior-Parte-2.pdf
Tema-3-Sistemas-de-EDL.pdf

He publicado nuevos apuntes de 2º MÉTODOS ANALÍTICOS PARA EDO: TFG-Version-2-2.pdf

41 páginas

He publicado nuevos apuntes de 2º MÉTODOS ANALÍTICOS PARA EDO: Problemas-Sturm-Liouuville-2.pdf

6 páginas
¡Estás al día!

¡Estás al día!

Has visto todos los archivos