MÉTODOS ANALÍTICOS PARA EDO

chevron_left
chevron_right
Todo
Apuntes
Ejercicios
Exámenes
chevron_left
chevron_right

Resúmen del temario de MAEDO.

11 páginas
Anónimo

@Anónimo

He publicado nuevos ejercicios de 2º MÉTODOS ANALÍTICOS PARA EDO: TD-3-Ecuaciones-diferenciales-lineales-de-orden-superior-o-igual-a-2.pdf

15 páginas
Anónimo

@Anónimo

He publicado nuevos apuntes de 2º MÉTODOS ANALÍTICOS PARA EDO: TD-1-Ecuaciones-diferenciales-exactas-homogeneas.pdf

7 páginas
Anónimo

@Anónimo

He publicado nuevos apuntes de 2º MÉTODOS ANALÍTICOS PARA EDO: TD-2-Ecuaciones-diferenciales-lineales-de-primer-orden.pdf

8 páginas
Anónimo

@Anónimo

He publicado nuevos ejercicios de 2º MÉTODOS ANALÍTICOS PARA EDO: TD-4-Ecuaciones-historicas-sistemas-series.pdf

15 páginas
Anónimo

@Anónimo

He publicado nuevos apuntes de 2º MÉTODOS ANALÍTICOS PARA EDO: Examen-parcial1.pdf

9 páginas
Anónimo

@Anónimo

He publicado nuevos examenes de 2º MÉTODOS ANALÍTICOS PARA EDO: Convocatoria-ordinaria-enero-2025.pdf

15 páginas
Anónimo

@Anónimo

He publicado nuevos examenes de 2º MÉTODOS ANALÍTICOS PARA EDO: Examen-parcial2.pdf

6 páginas

He publicado nuevos ejercicios de 2º MÉTODOS ANALÍTICOS PARA EDO: TD.4.Maedo.pdf

17 páginas

He publicado nuevos examenes de 2º MÉTODOS ANALÍTICOS PARA EDO: Parcial2Maedo2425.pdf

4 páginas

He publicado nuevos apuntes de 2º MÉTODOS ANALÍTICOS PARA EDO: 4.-Transformada-de-Laplace.pdf

21 páginas

He publicado nuevos apuntes de 2º MÉTODOS ANALÍTICOS PARA EDO: 3.-Series-de-potencias.pdf

32 páginas

apuntes

-

Apuntes Maedo

He publicado nuevos apuntes de 2º MÉTODOS ANALÍTICOS PARA EDO: Apuntes Maedo

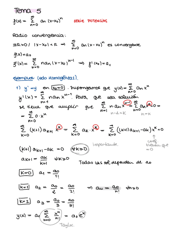
tema5.pdf
tema4.pdf
tema3.pdf
mini-resumen-tema-2.pdf

He publicado nuevos examenes de 2º MÉTODOS ANALÍTICOS PARA EDO: parcialMAEDO.pdf

1 página

ejercicios

-

Ejercicios resueltos (hojas, examenes...))

Hojas de MAEDO resueltas y examenes resueltos

EXAMENES-MAEDO.pdf
HOJA-2-MAEDO.pdf
HOJA-3-MAEDO.pdf
HOJA-4-MAEDO.pdf
HOJA-5-MAEDO.pdf
HOJA-7-MAEDO.pdf

apuntes

-

Teoría MAEDO

He publicado nuevos apuntes de 2º MÉTODOS ANALÍTICOS PARA EDO: Teoría MAEDO

Tema-1-MAEDO.pdf
Tema-2-MAEDO.pdf
Tema-3-MAEDO.pdf
Tema-4-MAEDO.pdf
Tema-5-MAEDO.pdf
Anónimo

@Anónimo

examenes

-

Exámenes MAEDO

He publicado nuevos examenes de 2º MÉTODOS ANALÍTICOS PARA EDO: Exámenes MAEDO

examenc2maedofis.pdf
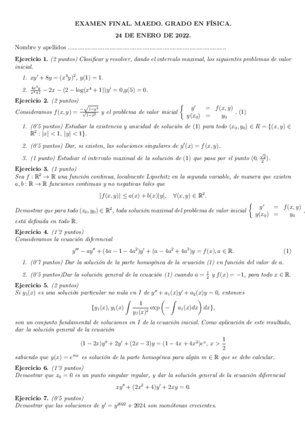
Examenfinal1920.pdf
examen-final-evaluacion-continua-3.pdf

He publicado nuevos apuntes de 2º MÉTODOS ANALÍTICOS PARA EDO: MAEDOapuntes.pdf

62 páginas

He publicado nuevos examenes de 2º MÉTODOS ANALÍTICOS PARA EDO: Final-maedo-2017-mates.pdf

21 páginas
Anónimo

@Anónimo

apuntes

-

Ejercicios y exámenes

He publicado nuevos apuntes de 2º MÉTODOS ANALÍTICOS PARA EDO: Ejercicios y exámenes

Ej-5-parcial-corregido.pdf
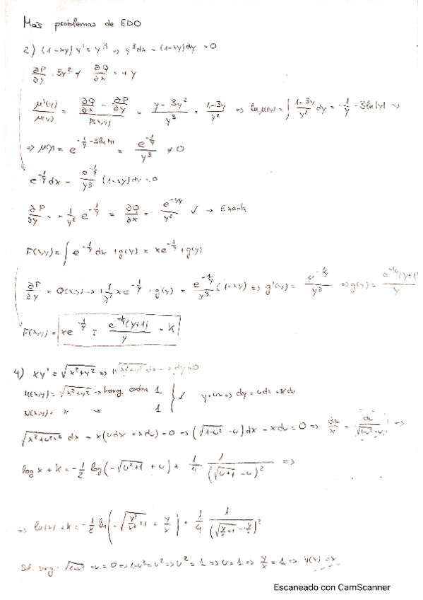
Mas-problemas-de-EDO.pdf
Examen-final-2018-hecho.pdf
Hoja-2-hecha.pdf
Hoja-5-hecha.pdf
Hoja-3-hecha.pdf
Anónimo

@Anónimo

apuntes

-

Teoría

He publicado nuevos apuntes de 2º MÉTODOS ANALÍTICOS PARA EDO: Teoría

Resumen-Tema-1.pdf
Resumen-Tema-2.pdf
Tema-4-Soluciones-en-forma-de-serie-de-porencias.pdf
Tema-1-Intro-a-las-EDO-Parte-1.pdf
Tema-2-ED-Lineales-de-orden-superior-Parte-2.pdf
Tema-3-Sistemas-de-EDL.pdf

He publicado nuevos apuntes de 2º MÉTODOS ANALÍTICOS PARA EDO: TFG-Version-2-2.pdf

41 páginas

He publicado nuevos apuntes de 2º MÉTODOS ANALÍTICOS PARA EDO: Problemas-Sturm-Liouuville-2.pdf

6 páginas
¡Estás al día!

¡Estás al día!

Has visto todos los archivos