Métodos Cuantitativos para la toma de decisiones empresariales

Todo
Apuntes
Ejercicios
Exámenes
Prácticas
Test
Trabajos
chevron_left
chevron_right

examenes

-

EXAMENES

He publicado nuevos examenes de 2º Métodos Cuantitativos para la toma de decisiones empresariales: EXAMENES

EXAMEN-LINGO-MAYO-2023.pdf
EXAMEN-LINGO-3.pdf
examen-lingo-2.pdf
EXAMEN-LINGO-2021.pdf
examen-de-lingo-2019.pdf
examen-lingo-2018.pdf

He publicado nuevos apuntes de 2º Métodos Cuantitativos para la toma de decisiones empresariales: ejercicio-teoria-de-juegos.pdf

2 páginas

apuntes

-

Ejercicios examen Metas

He publicado nuevos apuntes de 2º Métodos Cuantitativos para la toma de decisiones empresariales: Ejercicios examen Metas

ejercicio-1-metas.pdf
ejercicio-2-metas.pdf
ejercicio-3-metas.pdf
ejercicio-5-metas.pdf

apuntes

-

Ejercicios examen PNL

He publicado nuevos apuntes de 2º Métodos Cuantitativos para la toma de decisiones empresariales: Ejercicios examen PNL

ejercicio-1-pnl.pdf
ejercicio-2-PNL.pdf
ejercicio-3-pnl.pdf
ejercicio-4-pnl.pdf
ejercicio-examen-pnl.pdf

apuntes

-

Ejercicios examen PL

He publicado nuevos apuntes de 2º Métodos Cuantitativos para la toma de decisiones empresariales: Ejercicios examen PL

ejercicio-examen-2-PL.pdf
PL-ejercicio-de-examen.pdf

apuntes

-

Relación 4 teoría de juegos

He publicado nuevos apuntes de 2º Métodos Cuantitativos para la toma de decisiones empresariales: Relación 4 teoría de juegos

4.3.pdf
4.2.pdf
4.1.pdf

apuntes

-

Relación 3 multiobjetivo

He publicado nuevos apuntes de 2º Métodos Cuantitativos para la toma de decisiones empresariales: Relación 3 multiobjetivo

3.1.pdf
3.3.pdf
3.2.pdf

apuntes

-

Relacion 2 programación no lineal

He publicado nuevos apuntes de 2º Métodos Cuantitativos para la toma de decisiones empresariales: Relacion 2 programación no lineal

1.2.pdf
1.1.pdf
1.3.pdf

apuntes

-

RELACIÓN 1 programación lineal

Hay un ejercicio de examen

1.pdf

apuntes

-

Teoría de juegos paso a paso

He publicado nuevos apuntes de 2º Métodos Cuantitativos para la toma de decisiones empresariales: Teoría de juegos paso a paso

1.pdf
2.pdf

apuntes

-

Programación lineal multiobjetivo paso a paso

He publicado nuevos apuntes de 2º Métodos Cuantitativos para la toma de decisiones empresariales: Programación lineal multiobjetivo paso a paso

1.pdf.pdf
2.pdf.pdf

apuntes

-

Programación no lineal paso a paso

He publicado nuevos apuntes de 2º Métodos Cuantitativos para la toma de decisiones empresariales: Programación no lineal paso a paso

1.pdf
3.pdf
2.pdf

apuntes

-

Programación lineal paso a paso

He publicado nuevos apuntes de 2º Métodos Cuantitativos para la toma de decisiones empresariales: Programación lineal paso a paso

6.pdf.pdf
3.pdf.pdf
5.pdf.pdf
2.pdf.pdf
1.pdf.pdf
4.pdf.pdf
Anónimo

@Anónimo

examenes

-

Examen Métodos Junio 2025

He publicado nuevos examenes de 2º Métodos Cuantitativos para la toma de decisiones empresariales: Examen Métodos Junio 2025

Imagen-de-WhatsApp-2025-08-28-a-las-19.44.0552a494de.jpg
Imagen-de-WhatsApp-2025-08-28-a-las-19.44.064e7df4b7.jpg

apuntes

-

Programación no lineal

He publicado nuevos apuntes de 2º Métodos Cuantitativos para la toma de decisiones empresariales: Programación no lineal

Miniatura no disponible
Enero-2020-PNL.tex
Examen-2022.pdf
Miniatura no disponible
Examen-2022.tex
Miniatura no disponible
PNL-Ejercicio-1.tex
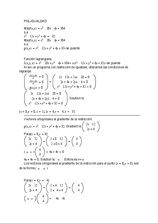
PNL-Igualdad-y-Desigualdad.pdf
Miniatura no disponible
PNL-Igualdad-y-Desigualdad.tex

ejercicios

-

Programación lineal

He publicado nuevos ejercicios de 2º Métodos Cuantitativos para la toma de decisiones empresariales: Programación lineal

Dual-del-dual.pdf
Miniatura no disponible
Dual-del-dual.tex
Examen-ADE-2022.pdf
Examen-Junio-2025.pdf
Miniatura no disponible
Examen-Junio-2025.tex
Metodo-de-las-dos-fases.pdf

ejercicios

-

Por Metas

He publicado nuevos ejercicios de 2º Métodos Cuantitativos para la toma de decisiones empresariales: Por Metas

Examen-2022.pdf
Miniatura no disponible
Plantilla-metas.bak
Miniatura no disponible
Plantilla-metas.tex
Video-1-Por-metas.pdf
Video-2-Por-metas.pdf
Video-3-Por-metas.pdf

enunciado del examen

1 página

respuestas del examen

4 páginas

respuesta del examen

1 página

temario completo, con los ejercicios paso a paso

17 páginas

He publicado nuevos apuntes de 2º Métodos Cuantitativos para la toma de decisiones empresariales: Actividad-repaso-SIMPLEX.pdf

6 páginas

He publicado nuevos apuntes de 2º Métodos Cuantitativos para la toma de decisiones empresariales: Metodo-de-las-dos-fases-2.pdf

5 páginas

He publicado nuevos apuntes de 2º Métodos Cuantitativos para la toma de decisiones empresariales: Metodo-de-las-dos-fases-1.pdf

4 páginas

He publicado nuevos apuntes de 2º Métodos Cuantitativos para la toma de decisiones empresariales: Programa-Dual-y-Primal.pdf

5 páginas

He publicado nuevos apuntes de 2º Métodos Cuantitativos para la toma de decisiones empresariales: Programacion-lineal-2.pdf

5 páginas

He publicado nuevos apuntes de 2º Métodos Cuantitativos para la toma de decisiones empresariales: Programacion-lineal.pdf

1 página

He publicado nuevos apuntes de 2º Métodos Cuantitativos para la toma de decisiones empresariales: Clase-2.pdf

3 páginas

He publicado nuevos apuntes de 2º Métodos Cuantitativos para la toma de decisiones empresariales: Clase-1.docx

word

TODO LO QUE TIENES QUE SABER DE MÉTODO

4 páginas

He publicado nuevos examenes de 2º Métodos Cuantitativos para la toma de decisiones empresariales: TESTPL22-mod-A.pdf

7 páginas

He publicado nuevos examenes de 2º Métodos Cuantitativos para la toma de decisiones empresariales: Cuestionario-PNL.pdf

8 páginas

He publicado nuevos apuntes de 2º Métodos Cuantitativos para la toma de decisiones empresariales: Ejercicio-Zinc-Dos-Fases.pdf

3 páginas

He publicado nuevos apuntes de 2º Métodos Cuantitativos para la toma de decisiones empresariales: PNL-preguntas-tipo-test240319173907.pdf

3 páginas

Documento que contiene las prácticas para el examen.

47 páginas

He publicado nuevos practicas de 2º Métodos Cuantitativos para la toma de decisiones empresariales: PO9.pdf

8 páginas

He publicado nuevos practicas de 2º Métodos Cuantitativos para la toma de decisiones empresariales: Practica-8.pdf

3 páginas

He publicado nuevos practicas de 2º Métodos Cuantitativos para la toma de decisiones empresariales: Practica-7.pdf

7 páginas

He publicado nuevos practicas de 2º Métodos Cuantitativos para la toma de decisiones empresariales: PO6MET.pdf

9 páginas

He publicado nuevos apuntes de 2º Métodos Cuantitativos para la toma de decisiones empresariales: Esquema-Progr.-Metas-Y-Juegos.pdf

9 páginas

ejercicios

-

RELACIONES RESUELTAS

He publicado nuevos ejercicios de 2º Métodos Cuantitativos para la toma de decisiones empresariales: RELACIONES RESUELTAS

relacion1.pdf

He publicado nuevos apuntes de 2º Métodos Cuantitativos para la toma de decisiones empresariales: Teoria-de-juegos-Practica.pdf

5 páginas

He publicado nuevos apuntes de 2º Métodos Cuantitativos para la toma de decisiones empresariales: Programacion-multiobjetivos-por-metas.pdf

3 páginas

apuntes

-

Programacion no lineal

He publicado nuevos apuntes de 2º Métodos Cuantitativos para la toma de decisiones empresariales: Programacion no lineal

Programacion-no-lineal.pdf
PNL-Practica-1.pdf
PNL-practica-2.pdf
PNL-practica-3.pdf

He publicado nuevos apuntes de 2º Métodos Cuantitativos para la toma de decisiones empresariales: Examen-resuelto.pdf

6 páginas

He publicado nuevos apuntes de 2º Métodos Cuantitativos para la toma de decisiones empresariales: Trabajo-resuelto.pdf

9 páginas

He publicado nuevos apuntes de 2º Métodos Cuantitativos para la toma de decisiones empresariales: Programacion-lineal.pdf

15 páginas

Progr. Lineal

10 páginas

Progr. No lineal

7 páginas
Anónimo

@Anónimo

Programación no lineal

1 página

He publicado nuevos apuntes de 2º Métodos Cuantitativos para la toma de decisiones empresariales: PRIMER-PARCIAL-PROGRAMACION-LINEAL.pdf

10 páginas

examenes

-

Examen de Metodos

He publicado nuevos examenes de 2º Métodos Cuantitativos para la toma de decisiones empresariales: Examen de Metodos

2-Examen-de-Metodos.pdf
1-Examen-Metodos.pdf

apuntes

-

Explicación Programación No Lineal

He publicado nuevos apuntes de 2º Métodos Cuantitativos para la toma de decisiones empresariales: Explicación Programación No Lineal

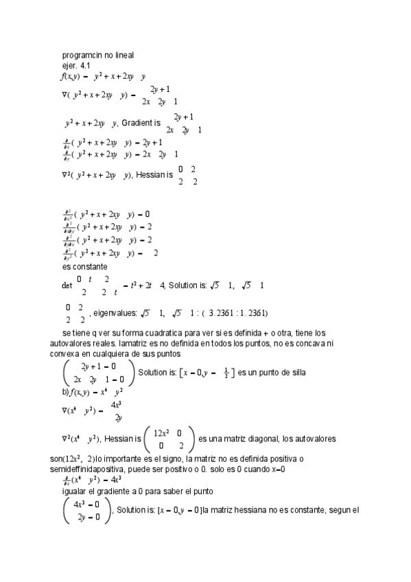
ProgramcNoLineal.pdf

ejercicios

-

Relacion de ejercicios

He publicado nuevos ejercicios de 2º Métodos Cuantitativos para la toma de decisiones empresariales: Relacion de ejercicios

Met-Relaciones19-20.pdf

ejercicios

-

Ejercicios de Pert

He publicado nuevos ejercicios de 2º Métodos Cuantitativos para la toma de decisiones empresariales: Ejercicios de Pert

Met-PERT-49.pdf
Met-PERT-47.pdf
Met-PERT-46.pdf
Met-PERT-43.pdf

ejercicios

-

Ejercicios Programación No Lineal

He publicado nuevos ejercicios de 2º Métodos Cuantitativos para la toma de decisiones empresariales: Ejercicios Programación No Lineal

Met-PPNL3.docx.pdf
Met-PPNL2.docx.pdf
Met-PPNL1.docx.pdf

He publicado nuevos apuntes de 2º Métodos Cuantitativos para la toma de decisiones empresariales: TEORIA-TEORIA-DE-JUEGOS.-2.pdf

3 páginas

He publicado nuevos apuntes de 2º Métodos Cuantitativos para la toma de decisiones empresariales: TEORIA-TEORIA-DE-JUEGOS.pdf

4 páginas

He publicado nuevos apuntes de 2º Métodos Cuantitativos para la toma de decisiones empresariales: Relacion-TEORIA-DE-JUEGOS.pdf

2 páginas

He publicado nuevos apuntes de 2º Métodos Cuantitativos para la toma de decisiones empresariales: TEORIA-MULTIOBJETIVO.pdf

2 páginas