Métodos de Predicción Lineal

chevron_left
chevron_right
Todo
Apuntes
Ejercicios
Exámenes
Prácticas
chevron_left
chevron_right

He publicado nuevos examenes de 3º Métodos de Predicción Lineal: Examen-final-25-26.pdf

4 páginas

examenes

-

Exámenes finales enero 2025

He publicado nuevos examenes de 3º Métodos de Predicción Lineal: Exámenes finales enero 2025

Miniatura no disponible
Final-prediccion-grupo-A-enero25.pdf
Miniatura no disponible
Final-prediccion-grupo-B-enero25.pdf

apuntes

-

Esquemas prediccion lineal

He publicado nuevos apuntes de 3º Métodos de Predicción Lineal: Esquemas prediccion lineal

Tema-2-esquema.pdf
Tema-3-esquema.pdf
Tema-4-esquema.pdf
Tema-5-esquema.pdf
Tema-6-esquema.pdf

He publicado nuevos apuntes de 3º Métodos de Predicción Lineal: Tema-6-en-busca-del-mejor-modelo.pdf

2 páginas

apuntes

-

Apuntes prediccion lineal

He publicado nuevos apuntes de 3º Métodos de Predicción Lineal: Apuntes prediccion lineal

Tema-2-Modelo-SLR-resumen.pdf
Tema-3-resumen.pdf
Tema-4-Transformando-y-mejorando-el-modelo.pdf
Tema-5-Regresion-Lineal-Multiple.pdf
Tema-6-En-busca-del-mejor-modelo-MLR.pdf

He publicado nuevos examenes de 3º Métodos de Predicción Lineal: 2o-parcial-corregido-25-26.pdf

5 páginas

He publicado nuevos examenes de 3º Métodos de Predicción Lineal: II-Examen-parcial-Solucion.pdf

5 páginas

ejercicios

-

Ejemplos tema 4

He publicado nuevos ejercicios de 3º Métodos de Predicción Lineal: Ejemplos tema 4

EJEMPLO-CON-PYTHON-MINIMOS-CUADRADOS-PONDERADOS.pdf
Ejercicios-transformaciones-del-modelo.pdf

He publicado nuevos apuntes de 3º Métodos de Predicción Lineal: Tema-5-regresion-lineal-multiple.pdf

3 páginas

He publicado nuevos apuntes de 3º Métodos de Predicción Lineal: Tema-4-transformando-y-mejorarando-el-modelo.pdf

1 página

He publicado nuevos examenes de 3º Métodos de Predicción Lineal: 1o-parcial.pdf

4 páginas

He publicado nuevos apuntes de 3º Métodos de Predicción Lineal: Tema-3-diagnostico-de-un-modelo-de-regresion-simple.pdf

4 páginas

He publicado nuevos apuntes de 3º Métodos de Predicción Lineal: Tema-2-modelo-de-regresion-lineal.pdf

3 páginas

He publicado nuevos apuntes de 3º Métodos de Predicción Lineal: Tema-1-introduccion-a-los-modelos-lineales.pdf

1 página

He publicado nuevos ejercicios de 3º Métodos de Predicción Lineal: Ejercicios-Examen-con-soluciones.pdf

9 páginas

He publicado nuevos apuntes de 3º Métodos de Predicción Lineal: Residuos-multicolinealidad-y-seleccion-variables.pdf

3 páginas

He publicado nuevos apuntes de 3º Métodos de Predicción Lineal: Regresion-lineal-multipla.pdf

7 páginas

He publicado nuevos apuntes de 3º Métodos de Predicción Lineal: Diagnostico-modelo-regresion-simple.pdf

6 páginas

He publicado nuevos apuntes de 3º Métodos de Predicción Lineal: Introduccion-a-la-prediccion-lineal.pdf

5 páginas

apuntes

-

Exámenes y ejercicios resueltos

He publicado nuevos apuntes de 3º Métodos de Predicción Lineal: Exámenes y ejercicios resueltos

Resolucion-examen-final-enero-2023.pdf
Resueltos-Galton.pdf
Resueltos-Trees.pdf
T2-Maersk.pdf
T3-Ejemplos-presentacion.pdf
T4-Ejemplos-Presentacion.pdf

He publicado nuevos examenes de 3º Métodos de Predicción Lineal: Examen23Junio2022-Corregido.pdf

10 páginas

He publicado nuevos apuntes de 3º Métodos de Predicción Lineal: Formulario.pdf

2 páginas

He publicado nuevos apuntes de 3º Métodos de Predicción Lineal: Formulario-completo-prediccion-lineal.pdf

2 páginas

He publicado nuevos examenes de 3º Métodos de Predicción Lineal: Examen-Junio-2022-resuelto.pdf

10 páginas
Anónimo

@Anónimo

apuntes

-

apuntes y ejercicios

He publicado nuevos apuntes de 3º Métodos de Predicción Lineal: apuntes y ejercicios

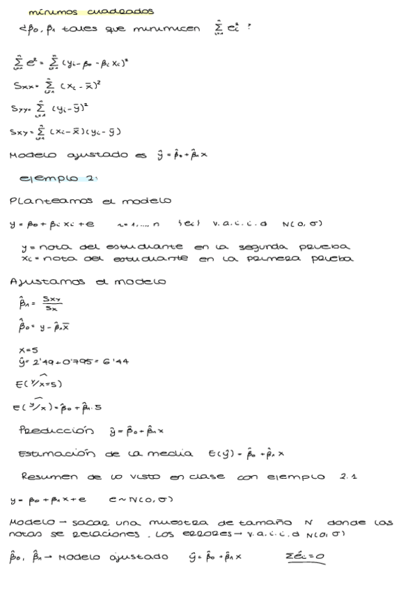
Ejemplo-2.1-Notas-Pruebas.pdf
Ejemplo-Particulas.pdf
Ejemplo-Repartidor.pdf
EJEMPLOS-TEMA-1.pdf
Ejemplos-Tema-2.pdf
Hoja-1.pdf

He publicado nuevos examenes de 3º Métodos de Predicción Lineal: Examen-final-enero-2024.pdf

5 páginas

He publicado nuevos examenes de 3º Métodos de Predicción Lineal: ExamenEnero2022-resuelto.pdf

10 páginas

Hay algunos apartados que no están hechos o terminados. Cuando los haga lo vuelvo a subir.

10 páginas

ejercicios

-

Hojas de ejercicios

He publicado nuevos ejercicios de 3º Métodos de Predicción Lineal: Hojas de ejercicios

Hoja2.pdf
Hoja32023.pdf
Hoja1.pdf

apuntes

-

Esquema - resumen

He publicado nuevos apuntes de 3º Métodos de Predicción Lineal: Esquema - resumen

Apuntes.pdf
Anónimo

@Anónimo

examenes

-

EXAMEN 2023 ENERO

He publicado nuevos examenes de 3º Métodos de Predicción Lineal: EXAMEN 2023 ENERO

ExameN-Enero-2023.pdf
solucion-examen-enero-2023.pdf
Anónimo

@Anónimo

practicas

-

Práctica Final

He publicado nuevos practicas de 3º Métodos de Predicción Lineal: Práctica Final

Practica-Final-parte-I.pdf
Practica-Final-parte-II.pdf
Anónimo

@Anónimo

He publicado nuevos apuntes de 3º Métodos de Predicción Lineal: RMarkdown-Trees-Solucion-comentada.html

Miniatura no disponible
Anónimo

@Anónimo

ejercicios

-

EJERCICIO TREES EXTENDIDO

He publicado nuevos ejercicios de 3º Métodos de Predicción Lineal: EJERCICIO TREES EXTENDIDO

RMarkdown-Trees-m-a-p.pdf
Tema-2-Trees-extended.pdf
Anónimo

@Anónimo

He publicado nuevos apuntes de 3º Métodos de Predicción Lineal: Tema-5-En-busca-del-mejor-modelo.pdf

60 páginas
Anónimo

@Anónimo

apuntes T4

50 páginas
Anónimo

@Anónimo

He publicado nuevos apuntes de 3º Métodos de Predicción Lineal: Tema-3-Diagnostico-del-modelo.pdf

62 páginas
Anónimo

@Anónimo

He publicado nuevos ejercicios de 3º Métodos de Predicción Lineal: Tema-2-Ejercicio.pdf

1 página
Anónimo

@Anónimo

He publicado nuevos apuntes de 3º Métodos de Predicción Lineal: Tema-2-Modelo-SLR.pdf

41 páginas
Anónimo

@Anónimo

He publicado nuevos apuntes de 3º Métodos de Predicción Lineal: Tema-1.pdf

27 páginas

He publicado nuevos examenes de 3º Métodos de Predicción Lineal: Base-de-Datos.-Extraordinaria-2023.-IMDB.RData

Miniatura no disponible

He publicado nuevos examenes de 3º Métodos de Predicción Lineal: Examen.ExtraordinariaPrediccion2023.pdf

2 páginas

He publicado nuevos examenes de 3º Métodos de Predicción Lineal: ExamenEnero2020PredLineal.pdf

4 páginas

apuntes

-

trabajos_prediccion_lineal

He publicado nuevos apuntes de 3º Métodos de Predicción Lineal: trabajos_prediccion_lineal

TRABAJO-PREDICCION-LINEALparte1.pdf
practicaparte2finalparte2.pdf
diabetes2.xlsx
diabetes.xlsx

He publicado nuevos practicas de 3º Métodos de Predicción Lineal: Practica1-MPL-3A.pdf

1 página

He publicado nuevos practicas de 3º Métodos de Predicción Lineal: Practica2-MPL-3A.pdf

1 página

examenes

-

examenes

He publicado nuevos examenes de 3º Métodos de Predicción Lineal: examenes

Prediccion-exams.pdf
examen-1.jpg
examen-4.jpg
examen-2.jpg
prueba22021.jpg
prediccion-enero-2019.pdf
¡Estás al día!

¡Estás al día!

Has visto todos los archivos