chevron_left
chevron_right
Todo
Apuntes
chevron_left
chevron_right
Anónimo

@Anónimo

apuntes

-

Prácticas

He publicado nuevos apuntes de 5º MÉTODOS DE SIMULACIÓN POR ORDENADOR: Prácticas

Tema-31-Logaritmos-y-pH.pdf
Tema-35-Propiedades-de-los-logaritmos-y-pH.pdf
Tema-33-Propiedades-de-los-logaritmos.pdf
Tema-38-Propiedades-del-hierro.pdf
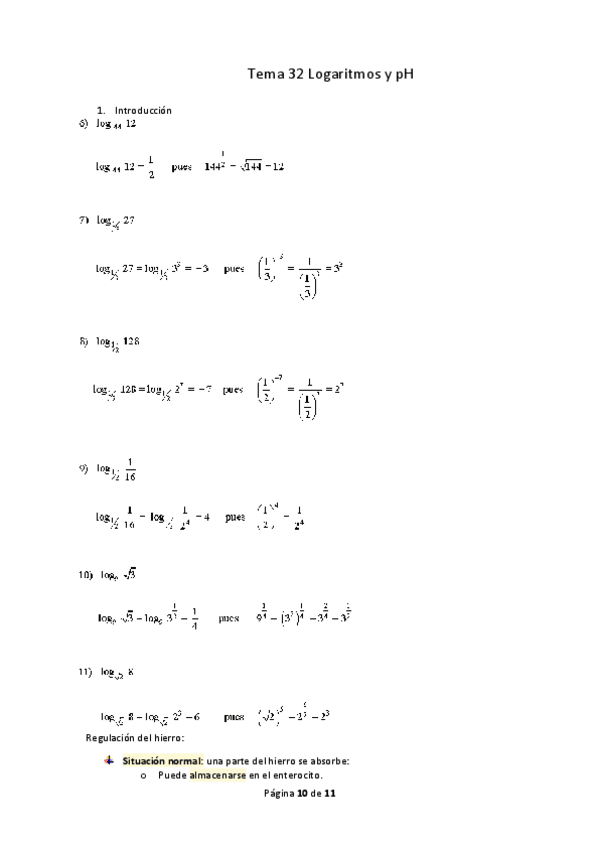
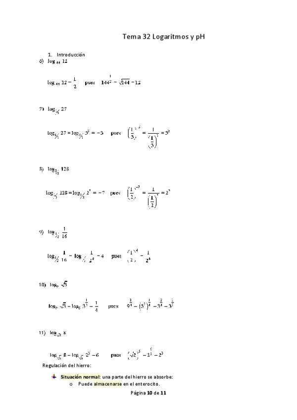
Tema-32-Logaritmos-y-pH.pdf
Tema-34-Propiedades-de-los-logaritmos.pdf
¡Estás al día!

¡Estás al día!

Has visto todos los archivos